各种特征提取和机器学习方法在肺炎链球菌耐药预测中的比较

Frontiers in antibiotics Pub Date : 2023-03-24 eCollection Date: 2023-01-01 DOI:10.3389/frabi.2023.1126468
Deniz Ece Kaya, Ege Ülgen, Ayşe Sesin Kocagöz, Osman Uğur Sezerman
{"title":"各种特征提取和机器学习方法在肺炎链球菌耐药预测中的比较","authors":"Deniz Ece Kaya, Ege Ülgen, Ayşe Sesin Kocagöz, Osman Uğur Sezerman","doi":"10.3389/frabi.2023.1126468","DOIUrl":null,"url":null,"abstract":"<p><p>Streptococcus pneumoniae is one of the major concerns of clinicians and one of the global public health problems. This pathogen is associated with high morbidity and mortality rates and antimicrobial resistance (AMR). In the last few years, reduced genome sequencing costs have made it possible to explore more of the drug resistance of S. pneumoniae, and machine learning (ML) has become a popular tool for understanding, diagnosing, treating, and predicting these phenotypes. Nucleotide k-mers, amino acid k-mers, single nucleotide polymorphisms (SNPs), and combinations of these features have rich genetic information in whole-genome sequencing. This study compares different ML models for predicting AMR phenotype for S. pneumoniae. We compared nucleotide k-mers, amino acid k-mers, SNPs, and their combinations to predict AMR in S. pneumoniae for three antibiotics: Penicillin, Erythromycin, and Tetracycline. 980 pneumococcal strains were downloaded from the European Nucleotide Archive (ENA). Furthermore, we used and compared several machine learning methods to train the models, including random forests, support vector machines, stochastic gradient boosting, and extreme gradient boosting. In this study, we found that key features of the AMR prediction model setup and the choice of machine learning method affected the results. The approach can be applied here to further studies to improve AMR prediction accuracy and efficiency.</p>","PeriodicalId":73065,"journal":{"name":"Frontiers in antibiotics","volume":" ","pages":"1126468"},"PeriodicalIF":0.0000,"publicationDate":"2023-03-24","publicationTypes":"Journal Article","fieldsOfStudy":null,"isOpenAccess":false,"openAccessPdf":"https://www.ncbi.nlm.nih.gov/pmc/articles/PMC11731958/pdf/","citationCount":"0","resultStr":"{\"title\":\"A comparison of various feature extraction and machine learning methods for antimicrobial resistance prediction in <i>streptococcus pneumoniae</i>.\",\"authors\":\"Deniz Ece Kaya, Ege Ülgen, Ayşe Sesin Kocagöz, Osman Uğur Sezerman\",\"doi\":\"10.3389/frabi.2023.1126468\",\"DOIUrl\":null,\"url\":null,\"abstract\":\"<p><p>Streptococcus pneumoniae is one of the major concerns of clinicians and one of the global public health problems. This pathogen is associated with high morbidity and mortality rates and antimicrobial resistance (AMR). In the last few years, reduced genome sequencing costs have made it possible to explore more of the drug resistance of S. pneumoniae, and machine learning (ML) has become a popular tool for understanding, diagnosing, treating, and predicting these phenotypes. Nucleotide k-mers, amino acid k-mers, single nucleotide polymorphisms (SNPs), and combinations of these features have rich genetic information in whole-genome sequencing. This study compares different ML models for predicting AMR phenotype for S. pneumoniae. We compared nucleotide k-mers, amino acid k-mers, SNPs, and their combinations to predict AMR in S. pneumoniae for three antibiotics: Penicillin, Erythromycin, and Tetracycline. 980 pneumococcal strains were downloaded from the European Nucleotide Archive (ENA). Furthermore, we used and compared several machine learning methods to train the models, including random forests, support vector machines, stochastic gradient boosting, and extreme gradient boosting. In this study, we found that key features of the AMR prediction model setup and the choice of machine learning method affected the results. The approach can be applied here to further studies to improve AMR prediction accuracy and efficiency.</p>\",\"PeriodicalId\":73065,\"journal\":{\"name\":\"Frontiers in antibiotics\",\"volume\":\" \",\"pages\":\"1126468\"},\"PeriodicalIF\":0.0000,\"publicationDate\":\"2023-03-24\",\"publicationTypes\":\"Journal Article\",\"fieldsOfStudy\":null,\"isOpenAccess\":false,\"openAccessPdf\":\"https://www.ncbi.nlm.nih.gov/pmc/articles/PMC11731958/pdf/\",\"citationCount\":\"0\",\"resultStr\":null,\"platform\":\"Semanticscholar\",\"paperid\":null,\"PeriodicalName\":\"Frontiers in antibiotics\",\"FirstCategoryId\":\"1085\",\"ListUrlMain\":\"https://doi.org/10.3389/frabi.2023.1126468\",\"RegionNum\":0,\"RegionCategory\":null,\"ArticlePicture\":[],\"TitleCN\":null,\"AbstractTextCN\":null,\"PMCID\":null,\"EPubDate\":\"2023/1/1 0:00:00\",\"PubModel\":\"eCollection\",\"JCR\":\"\",\"JCRName\":\"\",\"Score\":null,\"Total\":0}","platform":"Semanticscholar","paperid":null,"PeriodicalName":"Frontiers in antibiotics","FirstCategoryId":"1085","ListUrlMain":"https://doi.org/10.3389/frabi.2023.1126468","RegionNum":0,"RegionCategory":null,"ArticlePicture":[],"TitleCN":null,"AbstractTextCN":null,"PMCID":null,"EPubDate":"2023/1/1 0:00:00","PubModel":"eCollection","JCR":"","JCRName":"","Score":null,"Total":0}
引用次数: 0

摘要

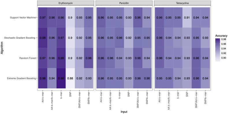
肺炎链球菌是临床医生关注的主要问题之一,也是全球公共卫生问题之一。这种病原体与高发病率和死亡率以及抗菌素耐药性(AMR)有关。在过去的几年中,基因组测序成本的降低使得探索更多肺炎链球菌耐药性成为可能,机器学习(ML)已成为理解、诊断、治疗和预测这些表型的流行工具。核苷酸k-mers、氨基酸k-mers、单核苷酸多态性(snp)及其组合在全基因组测序中具有丰富的遗传信息。本研究比较了预测肺炎链球菌AMR表型的不同ML模型。我们比较了核苷酸k-mers、氨基酸k-mers、snp及其组合,以预测肺炎链球菌对青霉素、红霉素和四环素三种抗生素的AMR。此外,我们使用并比较了几种机器学习方法来训练模型,包括随机森林、支持向量机、随机梯度增强和极端梯度增强。在本研究中,我们发现AMR预测模型的设置和机器学习方法的选择的关键特征会影响结果。该方法可用于进一步的研究,以提高AMR的预测精度和效率。
本文章由计算机程序翻译,如有差异,请以英文原文为准。

A comparison of various feature extraction and machine learning methods for antimicrobial resistance prediction in <i>streptococcus pneumoniae</i>.

A comparison of various feature extraction and machine learning methods for antimicrobial resistance prediction in <i>streptococcus pneumoniae</i>.

A comparison of various feature extraction and machine learning methods for antimicrobial resistance prediction in <i>streptococcus pneumoniae</i>.

A comparison of various feature extraction and machine learning methods for antimicrobial resistance prediction in streptococcus pneumoniae.

Streptococcus pneumoniae is one of the major concerns of clinicians and one of the global public health problems. This pathogen is associated with high morbidity and mortality rates and antimicrobial resistance (AMR). In the last few years, reduced genome sequencing costs have made it possible to explore more of the drug resistance of S. pneumoniae, and machine learning (ML) has become a popular tool for understanding, diagnosing, treating, and predicting these phenotypes. Nucleotide k-mers, amino acid k-mers, single nucleotide polymorphisms (SNPs), and combinations of these features have rich genetic information in whole-genome sequencing. This study compares different ML models for predicting AMR phenotype for S. pneumoniae. We compared nucleotide k-mers, amino acid k-mers, SNPs, and their combinations to predict AMR in S. pneumoniae for three antibiotics: Penicillin, Erythromycin, and Tetracycline. 980 pneumococcal strains were downloaded from the European Nucleotide Archive (ENA). Furthermore, we used and compared several machine learning methods to train the models, including random forests, support vector machines, stochastic gradient boosting, and extreme gradient boosting. In this study, we found that key features of the AMR prediction model setup and the choice of machine learning method affected the results. The approach can be applied here to further studies to improve AMR prediction accuracy and efficiency.

求助全文
通过发布文献求助,成功后即可免费获取论文全文。 去求助
来源期刊
自引率
0.00%
发文量
0
×
引用
GB/T 7714-2015
复制
MLA
复制
APA
复制
导出至
BibTeX EndNote RefMan NoteFirst NoteExpress
×
提示
您的信息不完整,为了账户安全,请先补充。
现在去补充
×
提示
您因"违规操作"
具体请查看互助需知
我知道了
×
提示
确定
请完成安全验证×
copy
已复制链接
快去分享给好友吧!
我知道了
右上角分享
点击右上角分享
0
联系我们:info@booksci.cn Book学术提供免费学术资源搜索服务,方便国内外学者检索中英文文献。致力于提供最便捷和优质的服务体验。 Copyright © 2023 布克学术 All rights reserved.
京ICP备2023020795号-1
ghs 京公网安备 11010802042870号
Book学术文献互助
Book学术文献互助群
群 号:604180095
Book学术官方微信