新闻质量的纵向动态视角:调查一个世纪以来自杀报道对自杀率的长期宏观媒体影响

IF 5.5 3区 材料科学 Q2 CHEMISTRY, PHYSICAL
ACS Applied Energy Materials Pub Date : 2024-12-01 Epub Date: 2023-03-27 DOI:10.1177/00936502221150315
Manina Mestas, Florian Arendt
{"title":"新闻质量的纵向动态视角:调查一个世纪以来自杀报道对自杀率的长期宏观媒体影响","authors":"Manina Mestas, Florian Arendt","doi":"10.1177/00936502221150315","DOIUrl":null,"url":null,"abstract":"<p><p>Quality of journalism is not a stable phenomenon, yet there is limited longitudinal evidence. We provide a content analysis of news reporting over a whole century within a specific thematic context: suicide reporting. Quality is a key dimension in this context as low-quality reporting is associated with imitative suicides (Werther effect). We took a historical perspective: suicide rates increased in many countries during the 19th century, with suicide reporting hypothesized as a contributory factor. Conducting the first longitudinal study of journalism quality that examines an entire century, we manually coded <i>N</i> = 14,638 articles. Our analyses indicated a strong nonlinear increase in low-quality reporting. Importantly, a high quantity of low-quality reporting predicted annual increases in suicide rates, a finding which is consistent with the idea of a long-term macro-level media effect. Despite limitations in causal interpretations, the findings support recommendations for high-quality suicide reporting in current media guidelines.</p>","PeriodicalId":4,"journal":{"name":"ACS Applied Energy Materials","volume":" ","pages":"927-951"},"PeriodicalIF":5.5000,"publicationDate":"2024-12-01","publicationTypes":"Journal Article","fieldsOfStudy":null,"isOpenAccess":false,"openAccessPdf":"https://www.ncbi.nlm.nih.gov/pmc/articles/PMC11537977/pdf/","citationCount":"0","resultStr":"{\"title\":\"A Longitudinal Dynamic Perspective on Quality in Journalism: Investigating the Long-Term Macro-Level Media Effect of Suicide Reporting on Suicide Rates Across a Century.\",\"authors\":\"Manina Mestas, Florian Arendt\",\"doi\":\"10.1177/00936502221150315\",\"DOIUrl\":null,\"url\":null,\"abstract\":\"<p><p>Quality of journalism is not a stable phenomenon, yet there is limited longitudinal evidence. We provide a content analysis of news reporting over a whole century within a specific thematic context: suicide reporting. Quality is a key dimension in this context as low-quality reporting is associated with imitative suicides (Werther effect). We took a historical perspective: suicide rates increased in many countries during the 19th century, with suicide reporting hypothesized as a contributory factor. Conducting the first longitudinal study of journalism quality that examines an entire century, we manually coded <i>N</i> = 14,638 articles. Our analyses indicated a strong nonlinear increase in low-quality reporting. Importantly, a high quantity of low-quality reporting predicted annual increases in suicide rates, a finding which is consistent with the idea of a long-term macro-level media effect. Despite limitations in causal interpretations, the findings support recommendations for high-quality suicide reporting in current media guidelines.</p>\",\"PeriodicalId\":4,\"journal\":{\"name\":\"ACS Applied Energy Materials\",\"volume\":\" \",\"pages\":\"927-951\"},\"PeriodicalIF\":5.5000,\"publicationDate\":\"2024-12-01\",\"publicationTypes\":\"Journal Article\",\"fieldsOfStudy\":null,\"isOpenAccess\":false,\"openAccessPdf\":\"https://www.ncbi.nlm.nih.gov/pmc/articles/PMC11537977/pdf/\",\"citationCount\":\"0\",\"resultStr\":null,\"platform\":\"Semanticscholar\",\"paperid\":null,\"PeriodicalName\":\"ACS Applied Energy Materials\",\"FirstCategoryId\":\"98\",\"ListUrlMain\":\"https://doi.org/10.1177/00936502221150315\",\"RegionNum\":3,\"RegionCategory\":\"材料科学\",\"ArticlePicture\":[],\"TitleCN\":null,\"AbstractTextCN\":null,\"PMCID\":null,\"EPubDate\":\"2023/3/27 0:00:00\",\"PubModel\":\"Epub\",\"JCR\":\"Q2\",\"JCRName\":\"CHEMISTRY, PHYSICAL\",\"Score\":null,\"Total\":0}","platform":"Semanticscholar","paperid":null,"PeriodicalName":"ACS Applied Energy Materials","FirstCategoryId":"98","ListUrlMain":"https://doi.org/10.1177/00936502221150315","RegionNum":3,"RegionCategory":"材料科学","ArticlePicture":[],"TitleCN":null,"AbstractTextCN":null,"PMCID":null,"EPubDate":"2023/3/27 0:00:00","PubModel":"Epub","JCR":"Q2","JCRName":"CHEMISTRY, PHYSICAL","Score":null,"Total":0}
引用次数: 0

摘要

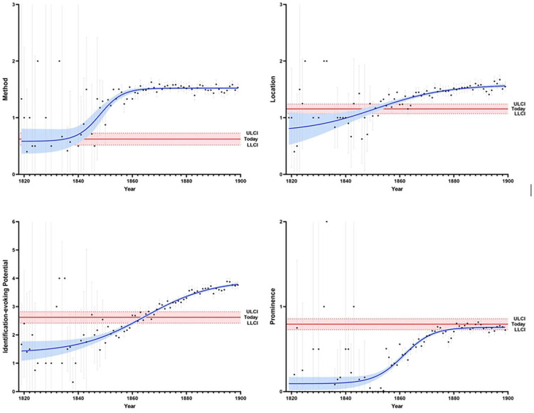
新闻质量不是一个稳定的现象,但纵向证据有限。我们在一个特定的主题背景下对整个世纪的新闻报道进行了内容分析:自杀报道。在这种情况下,质量是一个关键因素,因为低质量的报告与模仿自杀有关(维特效应)。我们从历史的角度来看:19世纪,许多国家的自杀率都有所上升,自杀报告被假设为一个促成因素。在对整个世纪的新闻质量进行第一次纵向研究时,我们手动编码了N = 14638篇文章。我们的分析表明,低质量报告出现了强烈的非线性增长。重要的是,大量低质量的报道预测了自杀率的年度增长,这一发现与长期宏观层面媒体效应的观点一致。尽管因果解释存在局限性,但研究结果支持当前媒体指南中关于高质量自杀报道的建议。
本文章由计算机程序翻译,如有差异,请以英文原文为准。

A Longitudinal Dynamic Perspective on Quality in Journalism: Investigating the Long-Term Macro-Level Media Effect of Suicide Reporting on Suicide Rates Across a Century.

A Longitudinal Dynamic Perspective on Quality in Journalism: Investigating the Long-Term Macro-Level Media Effect of Suicide Reporting on Suicide Rates Across a Century.

A Longitudinal Dynamic Perspective on Quality in Journalism: Investigating the Long-Term Macro-Level Media Effect of Suicide Reporting on Suicide Rates Across a Century.

A Longitudinal Dynamic Perspective on Quality in Journalism: Investigating the Long-Term Macro-Level Media Effect of Suicide Reporting on Suicide Rates Across a Century.

Quality of journalism is not a stable phenomenon, yet there is limited longitudinal evidence. We provide a content analysis of news reporting over a whole century within a specific thematic context: suicide reporting. Quality is a key dimension in this context as low-quality reporting is associated with imitative suicides (Werther effect). We took a historical perspective: suicide rates increased in many countries during the 19th century, with suicide reporting hypothesized as a contributory factor. Conducting the first longitudinal study of journalism quality that examines an entire century, we manually coded N = 14,638 articles. Our analyses indicated a strong nonlinear increase in low-quality reporting. Importantly, a high quantity of low-quality reporting predicted annual increases in suicide rates, a finding which is consistent with the idea of a long-term macro-level media effect. Despite limitations in causal interpretations, the findings support recommendations for high-quality suicide reporting in current media guidelines.

求助全文
通过发布文献求助,成功后即可免费获取论文全文。 去求助
来源期刊
ACS Applied Energy Materials
ACS Applied Energy Materials Materials Science-Materials Chemistry
CiteScore
10.30
自引率
6.20%
发文量
1368
期刊介绍: ACS Applied Energy Materials is an interdisciplinary journal publishing original research covering all aspects of materials, engineering, chemistry, physics and biology relevant to energy conversion and storage. The journal is devoted to reports of new and original experimental and theoretical research of an applied nature that integrate knowledge in the areas of materials, engineering, physics, bioscience, and chemistry into important energy applications.
×
引用
GB/T 7714-2015
复制
MLA
复制
APA
复制
导出至
BibTeX EndNote RefMan NoteFirst NoteExpress
×
提示
您的信息不完整,为了账户安全,请先补充。
现在去补充
×
提示
您因"违规操作"
具体请查看互助需知
我知道了
×
提示
确定
请完成安全验证×
copy
已复制链接
快去分享给好友吧!
我知道了
右上角分享
点击右上角分享
0
联系我们:info@booksci.cn Book学术提供免费学术资源搜索服务,方便国内外学者检索中英文文献。致力于提供最便捷和优质的服务体验。 Copyright © 2023 布克学术 All rights reserved.
京ICP备2023020795号-1
ghs 京公网安备 11010802042870号
Book学术文献互助
Book学术文献互助群
群 号:604180095
Book学术官方微信