PPDiffuse:一种用于纳米孔中带电聚合物扩散的定量预测工具

IF 1.3 4区 工程技术 Q3 INSTRUMENTS & INSTRUMENTATION
David P Hoogerheide
{"title":"PPDiffuse:一种用于纳米孔中带电聚合物扩散的定量预测工具","authors":"David P Hoogerheide","doi":"10.6028/jres.125.018","DOIUrl":null,"url":null,"abstract":"","PeriodicalId":54766,"journal":{"name":"Journal of Research of the National Institute of Standards and Technology","volume":"1 1","pages":"125018"},"PeriodicalIF":1.3000,"publicationDate":"2020-06-19","publicationTypes":"Journal Article","fieldsOfStudy":null,"isOpenAccess":false,"openAccessPdf":"https://www.ncbi.nlm.nih.gov/pmc/articles/PMC11239191/pdf/","citationCount":"0","resultStr":"{\"title\":\"PPDiffuse: A Quantitative Prediction Tool for Diffusion of Charged Polymers in a Nanopore.\",\"authors\":\"David P Hoogerheide\",\"doi\":\"10.6028/jres.125.018\",\"DOIUrl\":null,\"url\":null,\"abstract\":\"\",\"PeriodicalId\":54766,\"journal\":{\"name\":\"Journal of Research of the National Institute of Standards and Technology\",\"volume\":\"1 1\",\"pages\":\"125018\"},\"PeriodicalIF\":1.3000,\"publicationDate\":\"2020-06-19\",\"publicationTypes\":\"Journal Article\",\"fieldsOfStudy\":null,\"isOpenAccess\":false,\"openAccessPdf\":\"https://www.ncbi.nlm.nih.gov/pmc/articles/PMC11239191/pdf/\",\"citationCount\":\"0\",\"resultStr\":null,\"platform\":\"Semanticscholar\",\"paperid\":null,\"PeriodicalName\":\"Journal of Research of the National Institute of Standards and Technology\",\"FirstCategoryId\":\"5\",\"ListUrlMain\":\"https://doi.org/10.6028/jres.125.018\",\"RegionNum\":4,\"RegionCategory\":\"工程技术\",\"ArticlePicture\":[],\"TitleCN\":null,\"AbstractTextCN\":null,\"PMCID\":null,\"EPubDate\":\"2020/1/1 0:00:00\",\"PubModel\":\"eCollection\",\"JCR\":\"Q3\",\"JCRName\":\"INSTRUMENTS & INSTRUMENTATION\",\"Score\":null,\"Total\":0}","platform":"Semanticscholar","paperid":null,"PeriodicalName":"Journal of Research of the National Institute of Standards and Technology","FirstCategoryId":"5","ListUrlMain":"https://doi.org/10.6028/jres.125.018","RegionNum":4,"RegionCategory":"工程技术","ArticlePicture":[],"TitleCN":null,"AbstractTextCN":null,"PMCID":null,"EPubDate":"2020/1/1 0:00:00","PubModel":"eCollection","JCR":"Q3","JCRName":"INSTRUMENTS & INSTRUMENTATION","Score":null,"Total":0}
引用次数: 0

摘要

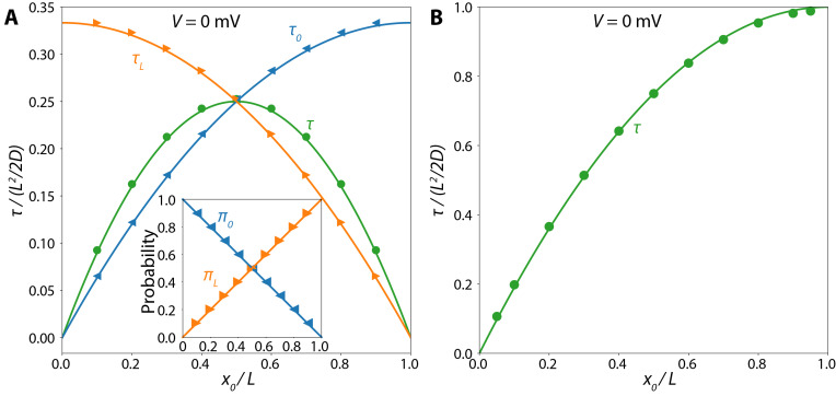
基于纳米孔的带电生物聚合物传感是一种强大的单分子方法。在传统的纳米孔实验中,单个生物(蛋白质)或固态纳米孔在薄膜上穿孔,薄膜被两个相反的电解质溶液储层润湿并电隔离。一个电位通过外部电子元件施加到膜上,通过电化学电极连接到电解质储层,驱动系统。外加电位在纳米孔及其直接环境中形成的电场起两个作用:支持通过纳米孔的离子电流,这反映了纳米孔及其内容物的性质;并作用于分析物分子,吸引它们进入纳米孔。孔隙中存在的大型生物聚合物调节离子电流𝐼(𝑡)。离子电流调制的持续时间对应于聚合物在孔隙中从捕获到最终逃逸的时间长度,要么通过缩回到被捕获的储层,要么通过转移到相反的储层。缩回或易位的概率,或分裂概率,以及相应的逃逸时间分布(𝑡esc),对分析物分子的大小和电荷特别敏感,并且已经成为许多理论,计算和实验工作的焦点。一个潜在的物理框架,其中逃逸时间的分布被建模为从一维电位的首次通过时间,对广泛的实验进行了定量预测。然而,在一般情况下,这种潜力的复杂性需要计算来指导实验设计,这可能是冗长乏味的。PPDiffuse旨在消除纳米孔研究界的这种负担,并使复杂底物(如多肽)的纳米孔实验设计方便、合理。
本文章由计算机程序翻译,如有差异,请以英文原文为准。

PPDiffuse: A Quantitative Prediction Tool for Diffusion of Charged Polymers in a Nanopore.

PPDiffuse: A Quantitative Prediction Tool for Diffusion of Charged Polymers in a Nanopore.

PPDiffuse: A Quantitative Prediction Tool for Diffusion of Charged Polymers in a Nanopore.

PPDiffuse: A Quantitative Prediction Tool for Diffusion of Charged Polymers in a Nanopore.
求助全文
通过发布文献求助,成功后即可免费获取论文全文。 去求助
来源期刊
自引率
33.30%
发文量
10
审稿时长
>12 weeks
期刊介绍: The Journal of Research of the National Institute of Standards and Technology is the flagship publication of the National Institute of Standards and Technology. It has been published under various titles and forms since 1904, with its roots as Scientific Papers issued as the Bulletin of the Bureau of Standards. In 1928, the Scientific Papers were combined with Technologic Papers, which reported results of investigations of material and methods of testing. This new publication was titled the Bureau of Standards Journal of Research. The Journal of Research of NIST reports NIST research and development in metrology and related fields of physical science, engineering, applied mathematics, statistics, biotechnology, information technology.
×
引用
GB/T 7714-2015
复制
MLA
复制
APA
复制
导出至
BibTeX EndNote RefMan NoteFirst NoteExpress
×
提示
您的信息不完整,为了账户安全,请先补充。
现在去补充
×
提示
您因"违规操作"
具体请查看互助需知
我知道了
×
提示
确定
请完成安全验证×
copy
已复制链接
快去分享给好友吧!
我知道了
右上角分享
点击右上角分享
0
联系我们:info@booksci.cn Book学术提供免费学术资源搜索服务,方便国内外学者检索中英文文献。致力于提供最便捷和优质的服务体验。 Copyright © 2023 布克学术 All rights reserved.
京ICP备2023020795号-1
ghs 京公网安备 11010802042870号
Book学术文献互助
Book学术文献互助群
群 号:604180095
Book学术官方微信