甲氨蝶呤和霉酚酸酯治疗幼年局限性硬皮病的疗效和耐受性的初步探讨

AMRC open research Pub Date : 2021-09-09 eCollection Date: 2021-01-01 DOI:10.12688/amrcopenres.13008.1
Yasin Desai, Thomas Jaki, Michael W Beresford, Thomas Burnett, Despina Eleftheriou, Heidi Jacobe, Valentina Leone, Suzanne Li, Pavel Mozgunov, Athimalaipet V Ramanan, Kathryn S Torok, Marina E Anderson, Jordi Anton, Tadej Avcin, Jessie Felton, Ivan Foeldvari, Bisola Laguda, Flora McErlane, Lindsay Shaw, Francesco Zulian, Clare E Pain
{"title":"甲氨蝶呤和霉酚酸酯治疗幼年局限性硬皮病的疗效和耐受性的初步探讨","authors":"Yasin Desai, Thomas Jaki, Michael W Beresford, Thomas Burnett, Despina Eleftheriou, Heidi Jacobe, Valentina Leone, Suzanne Li, Pavel Mozgunov, Athimalaipet V Ramanan, Kathryn S Torok, Marina E Anderson, Jordi Anton, Tadej Avcin, Jessie Felton, Ivan Foeldvari, Bisola Laguda, Flora McErlane, Lindsay Shaw, Francesco Zulian, Clare E Pain","doi":"10.12688/amrcopenres.13008.1","DOIUrl":null,"url":null,"abstract":"<p><strong>Background: </strong>Evidence is lacking for safe and effective treatments for juvenile localised scleroderma (JLS). Methotrexate (MTX) is commonly used first line and mycophenolate mofetil (MMF) second line, despite a limited evidence base. A head to head trial of these two medications would provide data on relative efficacy and tolerability. However, a frequentist approach is difficult to deliver in JLS, because of the numbers needed to sufficiently power a trial. A Bayesian approach could be considered.</p><p><strong>Methods: </strong>An international consensus meeting was convened including an elicitation exercise where opinion was sought on the relative efficacy and tolerability of MTX compared to MMF to produce prior distributions for a future Bayesian trial. Secondary aims were to achieve consensus agreement on critical aspects of a future trial.</p><p><strong>Results: </strong>An international group of 12 clinical experts participated. Opinion suggested superior efficacy and tolerability of MMF compared to MTX; where most likely value of efficacy of MMF was 0.70 (95% confidence interval (CI) 0.34-0.90) and of MTX was 0.68 (95% CI 0.41-0.8). The most likely value of tolerability of MMF was 0.77 (95% CI 0.3-0.94) and of MTX was 0.62 (95% CI 0.32-0.84). The wider CI for MMF highlights that experts were less sure about relative efficacy and tolerability of MMF compared to MTX. Despite using a Bayesian approach, power calculations still produced a total sample size of 240 participants, reflecting the uncertainty amongst experts about the performance of MMF.</p><p><strong>Conclusions: </strong>Key factors have been defined regarding the design of a future Bayesian approach clinical trial including elicitation of prior opinion of the efficacy and tolerability of MTX and MMF in JLS. Combining further efficacy data on MTX and MMF with prior opinion could potentially reduce the pre-trial uncertainty so that, when combined with smaller trial sample sizes a compelling evidence base is available.</p>","PeriodicalId":72183,"journal":{"name":"AMRC open research","volume":"1 1","pages":"20"},"PeriodicalIF":0.0000,"publicationDate":"2021-09-09","publicationTypes":"Journal Article","fieldsOfStudy":null,"isOpenAccess":false,"openAccessPdf":"https://www.ncbi.nlm.nih.gov/pmc/articles/PMC11064983/pdf/","citationCount":"0","resultStr":"{\"title\":\"Prior elicitation of the efficacy and tolerability of Methotrexate and Mycophenolate Mofetil in Juvenile Localised Scleroderma.\",\"authors\":\"Yasin Desai, Thomas Jaki, Michael W Beresford, Thomas Burnett, Despina Eleftheriou, Heidi Jacobe, Valentina Leone, Suzanne Li, Pavel Mozgunov, Athimalaipet V Ramanan, Kathryn S Torok, Marina E Anderson, Jordi Anton, Tadej Avcin, Jessie Felton, Ivan Foeldvari, Bisola Laguda, Flora McErlane, Lindsay Shaw, Francesco Zulian, Clare E Pain\",\"doi\":\"10.12688/amrcopenres.13008.1\",\"DOIUrl\":null,\"url\":null,\"abstract\":\"<p><strong>Background: </strong>Evidence is lacking for safe and effective treatments for juvenile localised scleroderma (JLS). Methotrexate (MTX) is commonly used first line and mycophenolate mofetil (MMF) second line, despite a limited evidence base. A head to head trial of these two medications would provide data on relative efficacy and tolerability. However, a frequentist approach is difficult to deliver in JLS, because of the numbers needed to sufficiently power a trial. A Bayesian approach could be considered.</p><p><strong>Methods: </strong>An international consensus meeting was convened including an elicitation exercise where opinion was sought on the relative efficacy and tolerability of MTX compared to MMF to produce prior distributions for a future Bayesian trial. Secondary aims were to achieve consensus agreement on critical aspects of a future trial.</p><p><strong>Results: </strong>An international group of 12 clinical experts participated. Opinion suggested superior efficacy and tolerability of MMF compared to MTX; where most likely value of efficacy of MMF was 0.70 (95% confidence interval (CI) 0.34-0.90) and of MTX was 0.68 (95% CI 0.41-0.8). The most likely value of tolerability of MMF was 0.77 (95% CI 0.3-0.94) and of MTX was 0.62 (95% CI 0.32-0.84). The wider CI for MMF highlights that experts were less sure about relative efficacy and tolerability of MMF compared to MTX. Despite using a Bayesian approach, power calculations still produced a total sample size of 240 participants, reflecting the uncertainty amongst experts about the performance of MMF.</p><p><strong>Conclusions: </strong>Key factors have been defined regarding the design of a future Bayesian approach clinical trial including elicitation of prior opinion of the efficacy and tolerability of MTX and MMF in JLS. Combining further efficacy data on MTX and MMF with prior opinion could potentially reduce the pre-trial uncertainty so that, when combined with smaller trial sample sizes a compelling evidence base is available.</p>\",\"PeriodicalId\":72183,\"journal\":{\"name\":\"AMRC open research\",\"volume\":\"1 1\",\"pages\":\"20\"},\"PeriodicalIF\":0.0000,\"publicationDate\":\"2021-09-09\",\"publicationTypes\":\"Journal Article\",\"fieldsOfStudy\":null,\"isOpenAccess\":false,\"openAccessPdf\":\"https://www.ncbi.nlm.nih.gov/pmc/articles/PMC11064983/pdf/\",\"citationCount\":\"0\",\"resultStr\":null,\"platform\":\"Semanticscholar\",\"paperid\":null,\"PeriodicalName\":\"AMRC open research\",\"FirstCategoryId\":\"1085\",\"ListUrlMain\":\"https://doi.org/10.12688/amrcopenres.13008.1\",\"RegionNum\":0,\"RegionCategory\":null,\"ArticlePicture\":[],\"TitleCN\":null,\"AbstractTextCN\":null,\"PMCID\":null,\"EPubDate\":\"2021/1/1 0:00:00\",\"PubModel\":\"eCollection\",\"JCR\":\"\",\"JCRName\":\"\",\"Score\":null,\"Total\":0}","platform":"Semanticscholar","paperid":null,"PeriodicalName":"AMRC open research","FirstCategoryId":"1085","ListUrlMain":"https://doi.org/10.12688/amrcopenres.13008.1","RegionNum":0,"RegionCategory":null,"ArticlePicture":[],"TitleCN":null,"AbstractTextCN":null,"PMCID":null,"EPubDate":"2021/1/1 0:00:00","PubModel":"eCollection","JCR":"","JCRName":"","Score":null,"Total":0}
引用次数: 0

摘要

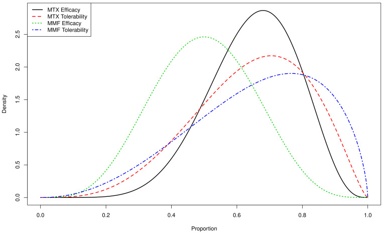
背景缺乏安全有效治疗青少年局限性硬皮病(JLS)的证据。甲氨蝶呤(MTX)是常用的一线药,而霉酚酸酯(MMF)则是常用的二线药,尽管证据基础有限。这两种药物的正面试验将提供有关相对疗效和耐受性的数据。然而,在JLS中很难实现经常性方法,因为需要足够的数量来支持试验。可以考虑采用贝叶斯方法。方法召开一次国际共识会议,包括一次启发活动,就MTX与MMF相比的相对疗效和耐受性征求意见,为未来的贝叶斯试验产生先验分布。次要目标是就未来审判的关键方面达成共识。结果一个由12名临床专家组成的国际小组参与。意见表明MMF的疗效和耐受性优于MTX;其中MMF的最可能疗效值为0.70(95%置信区间(CI)0.34-0.90),MTX的最可能耐受性值为0.68(95%CI 0.41-0.8。尽管使用了贝叶斯方法,功率计算仍然产生了240名参与者的总样本量,反映了专家对MMF性能的不确定性。结论已经确定了有关未来贝叶斯方法临床试验设计的关键因素,包括对MTX和MMF在JLS中的疗效和耐受性的先验意见。将MTX和MMF的进一步疗效数据与先前意见相结合,可能会减少审前的不确定性,因此,当与较小的试验样本量相结合时,可以获得令人信服的证据基础。
本文章由计算机程序翻译,如有差异,请以英文原文为准。

Prior elicitation of the efficacy and tolerability of Methotrexate and Mycophenolate Mofetil in Juvenile Localised Scleroderma.

Prior elicitation of the efficacy and tolerability of Methotrexate and Mycophenolate Mofetil in Juvenile Localised Scleroderma.

Prior elicitation of the efficacy and tolerability of Methotrexate and Mycophenolate Mofetil in Juvenile Localised Scleroderma.

Prior elicitation of the efficacy and tolerability of Methotrexate and Mycophenolate Mofetil in Juvenile Localised Scleroderma.

Background: Evidence is lacking for safe and effective treatments for juvenile localised scleroderma (JLS). Methotrexate (MTX) is commonly used first line and mycophenolate mofetil (MMF) second line, despite a limited evidence base. A head to head trial of these two medications would provide data on relative efficacy and tolerability. However, a frequentist approach is difficult to deliver in JLS, because of the numbers needed to sufficiently power a trial. A Bayesian approach could be considered.

Methods: An international consensus meeting was convened including an elicitation exercise where opinion was sought on the relative efficacy and tolerability of MTX compared to MMF to produce prior distributions for a future Bayesian trial. Secondary aims were to achieve consensus agreement on critical aspects of a future trial.

Results: An international group of 12 clinical experts participated. Opinion suggested superior efficacy and tolerability of MMF compared to MTX; where most likely value of efficacy of MMF was 0.70 (95% confidence interval (CI) 0.34-0.90) and of MTX was 0.68 (95% CI 0.41-0.8). The most likely value of tolerability of MMF was 0.77 (95% CI 0.3-0.94) and of MTX was 0.62 (95% CI 0.32-0.84). The wider CI for MMF highlights that experts were less sure about relative efficacy and tolerability of MMF compared to MTX. Despite using a Bayesian approach, power calculations still produced a total sample size of 240 participants, reflecting the uncertainty amongst experts about the performance of MMF.

Conclusions: Key factors have been defined regarding the design of a future Bayesian approach clinical trial including elicitation of prior opinion of the efficacy and tolerability of MTX and MMF in JLS. Combining further efficacy data on MTX and MMF with prior opinion could potentially reduce the pre-trial uncertainty so that, when combined with smaller trial sample sizes a compelling evidence base is available.

求助全文
通过发布文献求助,成功后即可免费获取论文全文。 去求助
来源期刊
自引率
0.00%
发文量
0
×
引用
GB/T 7714-2015
复制
MLA
复制
APA
复制
导出至
BibTeX EndNote RefMan NoteFirst NoteExpress
×
提示
您的信息不完整,为了账户安全,请先补充。
现在去补充
×
提示
您因"违规操作"
具体请查看互助需知
我知道了
×
提示
确定
请完成安全验证×
copy
已复制链接
快去分享给好友吧!
我知道了
右上角分享
点击右上角分享
0
联系我们:info@booksci.cn Book学术提供免费学术资源搜索服务,方便国内外学者检索中英文文献。致力于提供最便捷和优质的服务体验。 Copyright © 2023 布克学术 All rights reserved.
京ICP备2023020795号-1
ghs 京公网安备 11010802042870号
Book学术文献互助
Book学术文献互助群
群 号:604180095
Book学术官方微信