教学和实习对护生循证实践方法的影响:一项纵向研究。

IF 0.8 Q4 NURSING
Donato Longo, Alessio Gili, Noemi Ramacciati, Rosita Morcellini, Nicola Ramacciati
{"title":"教学和实习对护生循证实践方法的影响:一项纵向研究。","authors":"Donato Longo, Alessio Gili, Noemi Ramacciati, Rosita Morcellini, Nicola Ramacciati","doi":"10.5152/FNJN.2023.22288","DOIUrl":null,"url":null,"abstract":"<p><strong>Aim: </strong>The study aimed to analyze students' approach to evidence-based practice and evaluate the effect of teaching (based on lessons in statistics, epidemiology, evidence-based nursing, bioengineering, English language) and internship experiences on the attitude of nursing students to evidence-based practice.</p><p><strong>Method: </strong>In 2019,one hundred nineteen second-year nursing students from an Italian university were involved in a pre-post longitudinal study. The Italian version of the Student-Evidence Based Practice Questionnaire was administered to nursing student in four moments of one academic year.</p><p><strong>Results: </strong>The Student-Evidence Based Practice Questionnaire showed different mean scores based on the four moments of the survey with a significant increase after the experience of planning clinical cases with an online simulation system. In particular, the aptitude subscale does not have significant improvements in the various phases of the study. Conversely, the support of the clinical tutor affects student performance. The didactic module on evidence-based nursing develops the ability to assess the quality of the information found and its sharing. Basic English proficiency is not significantly correlated.</p><p><strong>Conclusion: </strong>To develop evidence-based practice knowledge, aptitude, and skills in nursing students, it is necessary to strengthen the learning opportunities both in classroom lessons and in simulation and internship experiences.</p>","PeriodicalId":73033,"journal":{"name":"Florence Nightingale journal of nursing","volume":"31 3","pages":"194-202"},"PeriodicalIF":0.8000,"publicationDate":"2023-10-01","publicationTypes":"Journal Article","fieldsOfStudy":null,"isOpenAccess":false,"openAccessPdf":"https://www.ncbi.nlm.nih.gov/pmc/articles/PMC10724783/pdf/","citationCount":"0","resultStr":"{\"title\":\"How Teaching and Internship Influence the Evidence-Based Practice Approach of Nursing Students: A Longitudinal Study.\",\"authors\":\"Donato Longo, Alessio Gili, Noemi Ramacciati, Rosita Morcellini, Nicola Ramacciati\",\"doi\":\"10.5152/FNJN.2023.22288\",\"DOIUrl\":null,\"url\":null,\"abstract\":\"<p><strong>Aim: </strong>The study aimed to analyze students' approach to evidence-based practice and evaluate the effect of teaching (based on lessons in statistics, epidemiology, evidence-based nursing, bioengineering, English language) and internship experiences on the attitude of nursing students to evidence-based practice.</p><p><strong>Method: </strong>In 2019,one hundred nineteen second-year nursing students from an Italian university were involved in a pre-post longitudinal study. The Italian version of the Student-Evidence Based Practice Questionnaire was administered to nursing student in four moments of one academic year.</p><p><strong>Results: </strong>The Student-Evidence Based Practice Questionnaire showed different mean scores based on the four moments of the survey with a significant increase after the experience of planning clinical cases with an online simulation system. In particular, the aptitude subscale does not have significant improvements in the various phases of the study. Conversely, the support of the clinical tutor affects student performance. The didactic module on evidence-based nursing develops the ability to assess the quality of the information found and its sharing. Basic English proficiency is not significantly correlated.</p><p><strong>Conclusion: </strong>To develop evidence-based practice knowledge, aptitude, and skills in nursing students, it is necessary to strengthen the learning opportunities both in classroom lessons and in simulation and internship experiences.</p>\",\"PeriodicalId\":73033,\"journal\":{\"name\":\"Florence Nightingale journal of nursing\",\"volume\":\"31 3\",\"pages\":\"194-202\"},\"PeriodicalIF\":0.8000,\"publicationDate\":\"2023-10-01\",\"publicationTypes\":\"Journal Article\",\"fieldsOfStudy\":null,\"isOpenAccess\":false,\"openAccessPdf\":\"https://www.ncbi.nlm.nih.gov/pmc/articles/PMC10724783/pdf/\",\"citationCount\":\"0\",\"resultStr\":null,\"platform\":\"Semanticscholar\",\"paperid\":null,\"PeriodicalName\":\"Florence Nightingale journal of nursing\",\"FirstCategoryId\":\"1085\",\"ListUrlMain\":\"https://doi.org/10.5152/FNJN.2023.22288\",\"RegionNum\":0,\"RegionCategory\":null,\"ArticlePicture\":[],\"TitleCN\":null,\"AbstractTextCN\":null,\"PMCID\":null,\"EPubDate\":\"\",\"PubModel\":\"\",\"JCR\":\"Q4\",\"JCRName\":\"NURSING\",\"Score\":null,\"Total\":0}","platform":"Semanticscholar","paperid":null,"PeriodicalName":"Florence Nightingale journal of nursing","FirstCategoryId":"1085","ListUrlMain":"https://doi.org/10.5152/FNJN.2023.22288","RegionNum":0,"RegionCategory":null,"ArticlePicture":[],"TitleCN":null,"AbstractTextCN":null,"PMCID":null,"EPubDate":"","PubModel":"","JCR":"Q4","JCRName":"NURSING","Score":null,"Total":0}
引用次数: 0

摘要

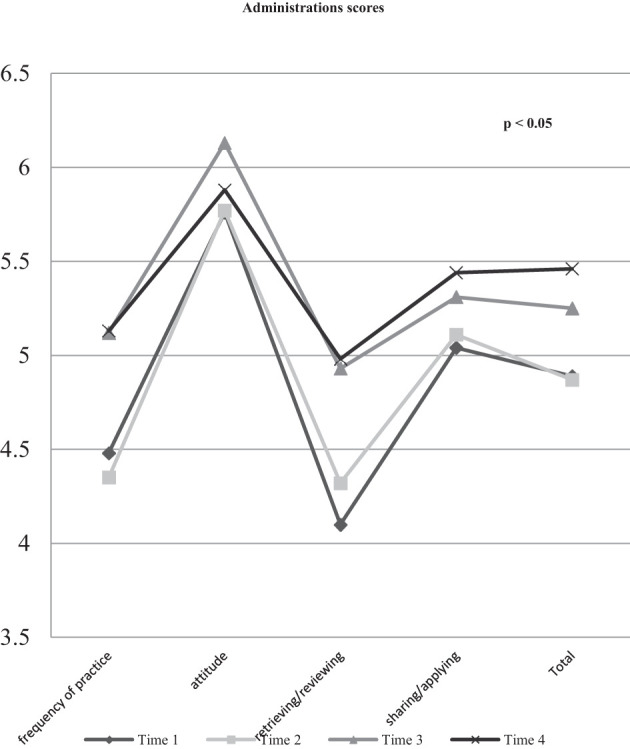
目的:本研究旨在分析学生的循证实践方法,并评估教学(基于统计学、流行病学、循证护理、生物工程、英语)和实习经历对护理学生循证实践态度的影响。方法:2019年,来自意大利一所大学的119名二年级护理学生参与了一项前后纵向研究。意大利版的学生循证实践问卷在一学年的四个时刻对护理学生进行了管理。结果:学生循证实践问卷在调查的四个时刻显示出不同的平均得分,在使用在线模拟系统规划临床病例后,平均得分显著增加。特别是,在研究的各个阶段,能力倾向分量表没有显著改善。相反,临床导师的支持会影响学生的表现。循证护理教学模块培养了评估发现的信息质量及其共享的能力。基本英语水平没有显著的相关性。结论:为了培养护生循证实践知识、能力和技能,有必要在课堂教学、模拟和实习体验中增加学习机会。
本文章由计算机程序翻译,如有差异,请以英文原文为准。

How Teaching and Internship Influence the Evidence-Based Practice Approach of Nursing Students: A Longitudinal Study.

How Teaching and Internship Influence the Evidence-Based Practice Approach of Nursing Students: A Longitudinal Study.

How Teaching and Internship Influence the Evidence-Based Practice Approach of Nursing Students: A Longitudinal Study.

Aim: The study aimed to analyze students' approach to evidence-based practice and evaluate the effect of teaching (based on lessons in statistics, epidemiology, evidence-based nursing, bioengineering, English language) and internship experiences on the attitude of nursing students to evidence-based practice.

Method: In 2019,one hundred nineteen second-year nursing students from an Italian university were involved in a pre-post longitudinal study. The Italian version of the Student-Evidence Based Practice Questionnaire was administered to nursing student in four moments of one academic year.

Results: The Student-Evidence Based Practice Questionnaire showed different mean scores based on the four moments of the survey with a significant increase after the experience of planning clinical cases with an online simulation system. In particular, the aptitude subscale does not have significant improvements in the various phases of the study. Conversely, the support of the clinical tutor affects student performance. The didactic module on evidence-based nursing develops the ability to assess the quality of the information found and its sharing. Basic English proficiency is not significantly correlated.

Conclusion: To develop evidence-based practice knowledge, aptitude, and skills in nursing students, it is necessary to strengthen the learning opportunities both in classroom lessons and in simulation and internship experiences.

求助全文
通过发布文献求助,成功后即可免费获取论文全文。 去求助
来源期刊
CiteScore
0.60
自引率
0.00%
发文量
0
审稿时长
12 weeks
×
引用
GB/T 7714-2015
复制
MLA
复制
APA
复制
导出至
BibTeX EndNote RefMan NoteFirst NoteExpress
×
提示
您的信息不完整,为了账户安全,请先补充。
现在去补充
×
提示
您因"违规操作"
具体请查看互助需知
我知道了
×
提示
确定
请完成安全验证×
copy
已复制链接
快去分享给好友吧!
我知道了
右上角分享
点击右上角分享
0
联系我们:info@booksci.cn Book学术提供免费学术资源搜索服务,方便国内外学者检索中英文文献。致力于提供最便捷和优质的服务体验。 Copyright © 2023 布克学术 All rights reserved.
京ICP备2023020795号-1
ghs 京公网安备 11010802042870号
Book学术文献互助
Book学术文献互助群
群 号:604180095
Book学术官方微信