狼疮患者心脏瓣膜手术后SLICC/ACR损伤指数与预后的关系

IF 2.1 4区 医学 Q3 CARDIAC & CARDIOVASCULAR SYSTEMS
Szu-Yen Hu, Chiao-Feng Cheng, Kelvin Jeason Yang, Chih-Hsien Wang, Nai-Hsin Chi, Ron-Bin Hsu, Yih-Sharng Chen, Hsi-Yu Yu
{"title":"狼疮患者心脏瓣膜手术后SLICC/ACR损伤指数与预后的关系","authors":"Szu-Yen Hu,&nbsp;Chiao-Feng Cheng,&nbsp;Kelvin Jeason Yang,&nbsp;Chih-Hsien Wang,&nbsp;Nai-Hsin Chi,&nbsp;Ron-Bin Hsu,&nbsp;Yih-Sharng Chen,&nbsp;Hsi-Yu Yu","doi":"10.1093/icvts/ivac221","DOIUrl":null,"url":null,"abstract":"<p><p>Systemic lupus erythematosus (SLE) is associated with multi-organ damage including cardiac valve, which may need valvular operation. However, methods for outcome prediction and prosthetic valve selection are unclear in SLE patients undergoing cardiac valve surgery. Twenty-five SLE patients receiving valvular operation in a single institute between 2002 and 2020 were enrolled. Systemic Lupus International Collaborative Clinics/American College of Rheumatology Damage Index (SLICC/ACR damage index, SDI) was applied to evaluate the damage severity. Clinical outcomes were compared between patients with different SDI. The hospital survival rate was 88%, and long-term survival rate was 59.5% and 40.2% at 5 and 10 years. The median SDI was 4 (interquartile range 3-6) in our study, patients were then grouped into higher SDI (defined as SDI ≥ 5, n = 11) and lower SDI group (defined as SDI < 5, n = 14). The in-hospital survival rate (72.2% vs 100%, P = 0.074) and 5-year survival rate (18.2% vs 92.9%, P < 0.001) were lower in higher SDI group, compared to lower SDI group. SDI score was associated with long-term outcome for SLE patients receiving cardiac valve surgery. SDI ≥ 5 was associated with very poor long-term outcomes. This finding implicates that xenograft might be a reasonable choice for SLE patients with SDI ≥ 5.</p>","PeriodicalId":13621,"journal":{"name":"Interactive cardiovascular and thoracic surgery","volume":" ","pages":""},"PeriodicalIF":2.1000,"publicationDate":"2022-09-09","publicationTypes":"Journal Article","fieldsOfStudy":null,"isOpenAccess":false,"openAccessPdf":"https://ftp.ncbi.nlm.nih.gov/pub/pmc/oa_pdf/30/d4/ivac221.PMC9492178.pdf","citationCount":"0","resultStr":"{\"title\":\"Association between SLICC/ACR damage index and outcomes for lupus patients after cardiac valve surgery.\",\"authors\":\"Szu-Yen Hu,&nbsp;Chiao-Feng Cheng,&nbsp;Kelvin Jeason Yang,&nbsp;Chih-Hsien Wang,&nbsp;Nai-Hsin Chi,&nbsp;Ron-Bin Hsu,&nbsp;Yih-Sharng Chen,&nbsp;Hsi-Yu Yu\",\"doi\":\"10.1093/icvts/ivac221\",\"DOIUrl\":null,\"url\":null,\"abstract\":\"<p><p>Systemic lupus erythematosus (SLE) is associated with multi-organ damage including cardiac valve, which may need valvular operation. However, methods for outcome prediction and prosthetic valve selection are unclear in SLE patients undergoing cardiac valve surgery. Twenty-five SLE patients receiving valvular operation in a single institute between 2002 and 2020 were enrolled. Systemic Lupus International Collaborative Clinics/American College of Rheumatology Damage Index (SLICC/ACR damage index, SDI) was applied to evaluate the damage severity. Clinical outcomes were compared between patients with different SDI. The hospital survival rate was 88%, and long-term survival rate was 59.5% and 40.2% at 5 and 10 years. The median SDI was 4 (interquartile range 3-6) in our study, patients were then grouped into higher SDI (defined as SDI ≥ 5, n = 11) and lower SDI group (defined as SDI < 5, n = 14). The in-hospital survival rate (72.2% vs 100%, P = 0.074) and 5-year survival rate (18.2% vs 92.9%, P < 0.001) were lower in higher SDI group, compared to lower SDI group. SDI score was associated with long-term outcome for SLE patients receiving cardiac valve surgery. SDI ≥ 5 was associated with very poor long-term outcomes. This finding implicates that xenograft might be a reasonable choice for SLE patients with SDI ≥ 5.</p>\",\"PeriodicalId\":13621,\"journal\":{\"name\":\"Interactive cardiovascular and thoracic surgery\",\"volume\":\" \",\"pages\":\"\"},\"PeriodicalIF\":2.1000,\"publicationDate\":\"2022-09-09\",\"publicationTypes\":\"Journal Article\",\"fieldsOfStudy\":null,\"isOpenAccess\":false,\"openAccessPdf\":\"https://ftp.ncbi.nlm.nih.gov/pub/pmc/oa_pdf/30/d4/ivac221.PMC9492178.pdf\",\"citationCount\":\"0\",\"resultStr\":null,\"platform\":\"Semanticscholar\",\"paperid\":null,\"PeriodicalName\":\"Interactive cardiovascular and thoracic surgery\",\"FirstCategoryId\":\"3\",\"ListUrlMain\":\"https://doi.org/10.1093/icvts/ivac221\",\"RegionNum\":4,\"RegionCategory\":\"医学\",\"ArticlePicture\":[],\"TitleCN\":null,\"AbstractTextCN\":null,\"PMCID\":null,\"EPubDate\":\"\",\"PubModel\":\"\",\"JCR\":\"Q3\",\"JCRName\":\"CARDIAC & CARDIOVASCULAR SYSTEMS\",\"Score\":null,\"Total\":0}","platform":"Semanticscholar","paperid":null,"PeriodicalName":"Interactive cardiovascular and thoracic surgery","FirstCategoryId":"3","ListUrlMain":"https://doi.org/10.1093/icvts/ivac221","RegionNum":4,"RegionCategory":"医学","ArticlePicture":[],"TitleCN":null,"AbstractTextCN":null,"PMCID":null,"EPubDate":"","PubModel":"","JCR":"Q3","JCRName":"CARDIAC & CARDIOVASCULAR SYSTEMS","Score":null,"Total":0}
引用次数: 0

摘要

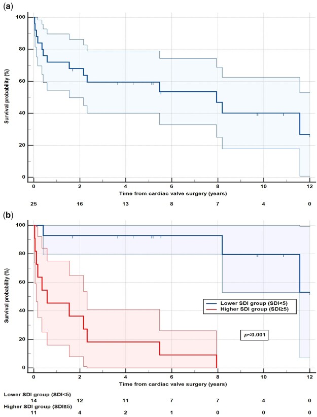
系统性红斑狼疮(SLE)与包括心脏瓣膜在内的多器官损害有关,可能需要瓣膜手术。然而,对于接受心脏瓣膜手术的SLE患者,预后预测和人工瓣膜选择的方法尚不清楚。在2002年至2020年期间,在同一研究所接受瓣膜手术的25例SLE患者被纳入研究。采用系统性狼疮国际合作诊所/美国风湿病学会损伤指数(SLICC/ACR损伤指数,SDI)评价损伤严重程度。比较不同SDI患者的临床结果。住院生存率为88%,5年和10年长期生存率分别为59.5%和40.2%。在我们的研究中,中位SDI为4(四分位数范围为3-6),然后将患者分为高SDI组(定义为SDI≥5,n = 11)和低SDI组(定义为SDI)
本文章由计算机程序翻译,如有差异,请以英文原文为准。

Association between SLICC/ACR damage index and outcomes for lupus patients after cardiac valve surgery.

Association between SLICC/ACR damage index and outcomes for lupus patients after cardiac valve surgery.

Association between SLICC/ACR damage index and outcomes for lupus patients after cardiac valve surgery.

Systemic lupus erythematosus (SLE) is associated with multi-organ damage including cardiac valve, which may need valvular operation. However, methods for outcome prediction and prosthetic valve selection are unclear in SLE patients undergoing cardiac valve surgery. Twenty-five SLE patients receiving valvular operation in a single institute between 2002 and 2020 were enrolled. Systemic Lupus International Collaborative Clinics/American College of Rheumatology Damage Index (SLICC/ACR damage index, SDI) was applied to evaluate the damage severity. Clinical outcomes were compared between patients with different SDI. The hospital survival rate was 88%, and long-term survival rate was 59.5% and 40.2% at 5 and 10 years. The median SDI was 4 (interquartile range 3-6) in our study, patients were then grouped into higher SDI (defined as SDI ≥ 5, n = 11) and lower SDI group (defined as SDI < 5, n = 14). The in-hospital survival rate (72.2% vs 100%, P = 0.074) and 5-year survival rate (18.2% vs 92.9%, P < 0.001) were lower in higher SDI group, compared to lower SDI group. SDI score was associated with long-term outcome for SLE patients receiving cardiac valve surgery. SDI ≥ 5 was associated with very poor long-term outcomes. This finding implicates that xenograft might be a reasonable choice for SLE patients with SDI ≥ 5.

求助全文
通过发布文献求助,成功后即可免费获取论文全文。 去求助
来源期刊
Interactive cardiovascular and thoracic surgery
Interactive cardiovascular and thoracic surgery CARDIAC & CARDIOVASCULAR SYSTEMS-
CiteScore
3.30
自引率
0.00%
发文量
292
审稿时长
2-4 weeks
期刊介绍: Interactive CardioVascular and Thoracic Surgery (ICVTS) publishes scientific contributions in the field of cardiovascular and thoracic surgery, covering all aspects of surgery of the heart, vessels and the chest. The journal publishes a range of article types including: Best Evidence Topics; Brief Communications; Case Reports; Original Articles; State-of-the-Art; Work in Progress Report.
×
引用
GB/T 7714-2015
复制
MLA
复制
APA
复制
导出至
BibTeX EndNote RefMan NoteFirst NoteExpress
×
提示
您的信息不完整,为了账户安全,请先补充。
现在去补充
×
提示
您因"违规操作"
具体请查看互助需知
我知道了
×
提示
确定
请完成安全验证×
copy
已复制链接
快去分享给好友吧!
我知道了
右上角分享
点击右上角分享
0
联系我们:info@booksci.cn Book学术提供免费学术资源搜索服务,方便国内外学者检索中英文文献。致力于提供最便捷和优质的服务体验。 Copyright © 2023 布克学术 All rights reserved.
京ICP备2023020795号-1
ghs 京公网安备 11010802042870号
Book学术文献互助
Book学术文献互助群
群 号:604180095
Book学术官方微信