牛颈静脉导管植入术早期不良后果的危险因素:超大导管对预后的影响。

IF 2.1 4区 医学 Q3 CARDIAC & CARDIOVASCULAR SYSTEMS
Dong-Hee Kim, Young Kern Kwon, Eun Seok Choi, Bo Sang Kwon, Chun Soo Park, Tae-Jin Yun
{"title":"牛颈静脉导管植入术早期不良后果的危险因素:超大导管对预后的影响。","authors":"Dong-Hee Kim,&nbsp;Young Kern Kwon,&nbsp;Eun Seok Choi,&nbsp;Bo Sang Kwon,&nbsp;Chun Soo Park,&nbsp;Tae-Jin Yun","doi":"10.1093/icvts/ivac197","DOIUrl":null,"url":null,"abstract":"<p><strong>Objectives: </strong>We investigated potential risk factors for early failure of bovine jugular vein conduit (Contegra®) implantation for right ventricular outflow tract (RVOT) reconstruction.</p><p><strong>Methods: </strong>A single-centre retrospective review of 115 consecutive patients (54 males) who underwent RVOT reconstruction with Contegra between 2016 and 2019 was performed. Overall survival, explantation-free survival and freedom from significant RVOT lesions (valve regurgitation ≥ moderate or flow velocity ≥3.5 m/s) were investigated.</p><p><strong>Results: </strong>Median age, body weight and Contegra diameter were 10.3 months [interquartile range (IQR) 5.7-26.9 months], 7.8 kg (IQR 6.3-12.4 kg) and 14 mm (IQR 12-16 mm), respectively. During the median follow-up duration of 25.1 months, there were 7 deaths, 34 significant RVOT lesions, 10 endocarditis episodes and 15 explantations. Overall survival and explantation-free survival at 3 years were 94.8% and 78.4%, respectively. Significant RVOT lesions (n = 34) comprised 20 stenoses, 8 regurgitations and 6 combined lesions. Freedom from significant RVOT lesions at 3 years was 62.6%. Cox regression identified higher indexed Contegra size (Contegra diameter/body weight, mm/kg) as the only risk factor for decreased time to explantation or death (hazard ratio 2.32, P < 0.001) and time to significant RVOT lesions development (hazard ratio 2.75, P < 0.001). The cut-off value of indexed Contegra size for significant RVOT lesions at 12 months was 1.905 mm/kg (sensitivity, 0.75; specificity, 0.78; area under the curve, 0.82).</p><p><strong>Conclusions: </strong>Outcomes of RVOT reconstruction using Contegra were acceptable. However, oversized Contegra should be avoided when possible.</p><p><strong>Irb approval date: </strong>26 October 2020.</p><p><strong>Irb registration number: </strong>S2020-2505-0001.</p>","PeriodicalId":13621,"journal":{"name":"Interactive cardiovascular and thoracic surgery","volume":" ","pages":""},"PeriodicalIF":2.1000,"publicationDate":"2022-09-09","publicationTypes":"Journal Article","fieldsOfStudy":null,"isOpenAccess":false,"openAccessPdf":"https://www.ncbi.nlm.nih.gov/pmc/articles/PMC9514799/pdf/","citationCount":"2","resultStr":"{\"title\":\"Risk factors for early adverse outcomes after bovine jugular vein conduit implantation: influence of oversized conduit on the outcomes.\",\"authors\":\"Dong-Hee Kim,&nbsp;Young Kern Kwon,&nbsp;Eun Seok Choi,&nbsp;Bo Sang Kwon,&nbsp;Chun Soo Park,&nbsp;Tae-Jin Yun\",\"doi\":\"10.1093/icvts/ivac197\",\"DOIUrl\":null,\"url\":null,\"abstract\":\"<p><strong>Objectives: </strong>We investigated potential risk factors for early failure of bovine jugular vein conduit (Contegra®) implantation for right ventricular outflow tract (RVOT) reconstruction.</p><p><strong>Methods: </strong>A single-centre retrospective review of 115 consecutive patients (54 males) who underwent RVOT reconstruction with Contegra between 2016 and 2019 was performed. Overall survival, explantation-free survival and freedom from significant RVOT lesions (valve regurgitation ≥ moderate or flow velocity ≥3.5 m/s) were investigated.</p><p><strong>Results: </strong>Median age, body weight and Contegra diameter were 10.3 months [interquartile range (IQR) 5.7-26.9 months], 7.8 kg (IQR 6.3-12.4 kg) and 14 mm (IQR 12-16 mm), respectively. During the median follow-up duration of 25.1 months, there were 7 deaths, 34 significant RVOT lesions, 10 endocarditis episodes and 15 explantations. Overall survival and explantation-free survival at 3 years were 94.8% and 78.4%, respectively. Significant RVOT lesions (n = 34) comprised 20 stenoses, 8 regurgitations and 6 combined lesions. Freedom from significant RVOT lesions at 3 years was 62.6%. Cox regression identified higher indexed Contegra size (Contegra diameter/body weight, mm/kg) as the only risk factor for decreased time to explantation or death (hazard ratio 2.32, P < 0.001) and time to significant RVOT lesions development (hazard ratio 2.75, P < 0.001). The cut-off value of indexed Contegra size for significant RVOT lesions at 12 months was 1.905 mm/kg (sensitivity, 0.75; specificity, 0.78; area under the curve, 0.82).</p><p><strong>Conclusions: </strong>Outcomes of RVOT reconstruction using Contegra were acceptable. However, oversized Contegra should be avoided when possible.</p><p><strong>Irb approval date: </strong>26 October 2020.</p><p><strong>Irb registration number: </strong>S2020-2505-0001.</p>\",\"PeriodicalId\":13621,\"journal\":{\"name\":\"Interactive cardiovascular and thoracic surgery\",\"volume\":\" \",\"pages\":\"\"},\"PeriodicalIF\":2.1000,\"publicationDate\":\"2022-09-09\",\"publicationTypes\":\"Journal Article\",\"fieldsOfStudy\":null,\"isOpenAccess\":false,\"openAccessPdf\":\"https://www.ncbi.nlm.nih.gov/pmc/articles/PMC9514799/pdf/\",\"citationCount\":\"2\",\"resultStr\":null,\"platform\":\"Semanticscholar\",\"paperid\":null,\"PeriodicalName\":\"Interactive cardiovascular and thoracic surgery\",\"FirstCategoryId\":\"3\",\"ListUrlMain\":\"https://doi.org/10.1093/icvts/ivac197\",\"RegionNum\":4,\"RegionCategory\":\"医学\",\"ArticlePicture\":[],\"TitleCN\":null,\"AbstractTextCN\":null,\"PMCID\":null,\"EPubDate\":\"\",\"PubModel\":\"\",\"JCR\":\"Q3\",\"JCRName\":\"CARDIAC & CARDIOVASCULAR SYSTEMS\",\"Score\":null,\"Total\":0}","platform":"Semanticscholar","paperid":null,"PeriodicalName":"Interactive cardiovascular and thoracic surgery","FirstCategoryId":"3","ListUrlMain":"https://doi.org/10.1093/icvts/ivac197","RegionNum":4,"RegionCategory":"医学","ArticlePicture":[],"TitleCN":null,"AbstractTextCN":null,"PMCID":null,"EPubDate":"","PubModel":"","JCR":"Q3","JCRName":"CARDIAC & CARDIOVASCULAR SYSTEMS","Score":null,"Total":0}
引用次数: 2

摘要

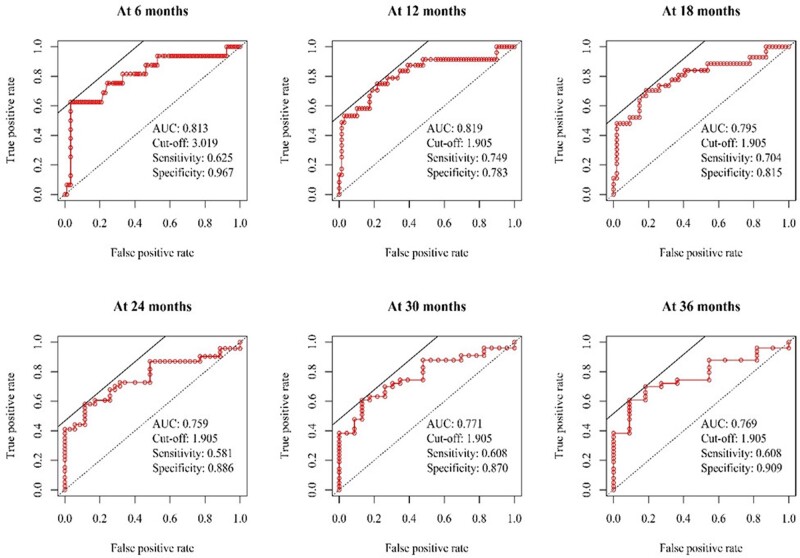
目的:探讨牛颈静脉导管(Contegra®)植入术重建右心室流出道(RVOT)早期失败的潜在危险因素。方法:对2016年至2019年间连续使用Contegra进行RVOT重建的115例患者(男性54例)进行单中心回顾性分析。研究了总生存率、无原因生存率和无显著RVOT病变(瓣膜返流≥中等或流速≥3.5 m/s)。结果:中位年龄为10.3个月[四分位间距(IQR) 5.7 ~ 26.9个月],体重为7.8 kg (IQR 6.3 ~ 12.4 kg), Contegra直径为14 mm (IQR 12 ~ 16 mm)。在25.1个月的中位随访期间,有7例死亡,34例显著RVOT病变,10例心内膜炎发作,15例解释。3年总生存率和无解释生存率分别为94.8%和78.4%。显著RVOT病变(n = 34)包括狭窄病变20例,反流病变8例,合并病变6例。3年无显著RVOT病变的比例为62.6%。Cox回归发现,高指数Contegra大小(Contegra直径/体重,mm/kg)是缩短移植时间或死亡的唯一危险因素(风险比2.32,P)。结论:使用Contegra重建RVOT的结果是可以接受的。但是,应该尽可能避免过大的Contegra。Irb批准日期:2020年10月26日。Irb注册号:S2020-2505-0001。
本文章由计算机程序翻译,如有差异,请以英文原文为准。

Risk factors for early adverse outcomes after bovine jugular vein conduit implantation: influence of oversized conduit on the outcomes.

Risk factors for early adverse outcomes after bovine jugular vein conduit implantation: influence of oversized conduit on the outcomes.

Risk factors for early adverse outcomes after bovine jugular vein conduit implantation: influence of oversized conduit on the outcomes.

Risk factors for early adverse outcomes after bovine jugular vein conduit implantation: influence of oversized conduit on the outcomes.

Objectives: We investigated potential risk factors for early failure of bovine jugular vein conduit (Contegra®) implantation for right ventricular outflow tract (RVOT) reconstruction.

Methods: A single-centre retrospective review of 115 consecutive patients (54 males) who underwent RVOT reconstruction with Contegra between 2016 and 2019 was performed. Overall survival, explantation-free survival and freedom from significant RVOT lesions (valve regurgitation ≥ moderate or flow velocity ≥3.5 m/s) were investigated.

Results: Median age, body weight and Contegra diameter were 10.3 months [interquartile range (IQR) 5.7-26.9 months], 7.8 kg (IQR 6.3-12.4 kg) and 14 mm (IQR 12-16 mm), respectively. During the median follow-up duration of 25.1 months, there were 7 deaths, 34 significant RVOT lesions, 10 endocarditis episodes and 15 explantations. Overall survival and explantation-free survival at 3 years were 94.8% and 78.4%, respectively. Significant RVOT lesions (n = 34) comprised 20 stenoses, 8 regurgitations and 6 combined lesions. Freedom from significant RVOT lesions at 3 years was 62.6%. Cox regression identified higher indexed Contegra size (Contegra diameter/body weight, mm/kg) as the only risk factor for decreased time to explantation or death (hazard ratio 2.32, P < 0.001) and time to significant RVOT lesions development (hazard ratio 2.75, P < 0.001). The cut-off value of indexed Contegra size for significant RVOT lesions at 12 months was 1.905 mm/kg (sensitivity, 0.75; specificity, 0.78; area under the curve, 0.82).

Conclusions: Outcomes of RVOT reconstruction using Contegra were acceptable. However, oversized Contegra should be avoided when possible.

Irb approval date: 26 October 2020.

Irb registration number: S2020-2505-0001.

求助全文
通过发布文献求助,成功后即可免费获取论文全文。 去求助
来源期刊
Interactive cardiovascular and thoracic surgery
Interactive cardiovascular and thoracic surgery CARDIAC & CARDIOVASCULAR SYSTEMS-
CiteScore
3.30
自引率
0.00%
发文量
292
审稿时长
2-4 weeks
期刊介绍: Interactive CardioVascular and Thoracic Surgery (ICVTS) publishes scientific contributions in the field of cardiovascular and thoracic surgery, covering all aspects of surgery of the heart, vessels and the chest. The journal publishes a range of article types including: Best Evidence Topics; Brief Communications; Case Reports; Original Articles; State-of-the-Art; Work in Progress Report.
×
引用
GB/T 7714-2015
复制
MLA
复制
APA
复制
导出至
BibTeX EndNote RefMan NoteFirst NoteExpress
×
提示
您的信息不完整,为了账户安全,请先补充。
现在去补充
×
提示
您因"违规操作"
具体请查看互助需知
我知道了
×
提示
确定
请完成安全验证×
copy
已复制链接
快去分享给好友吧!
我知道了
右上角分享
点击右上角分享
0
联系我们:info@booksci.cn Book学术提供免费学术资源搜索服务,方便国内外学者检索中英文文献。致力于提供最便捷和优质的服务体验。 Copyright © 2023 布克学术 All rights reserved.
京ICP备2023020795号-1
ghs 京公网安备 11010802042870号
Book学术文献互助
Book学术文献互助群
群 号:604180095
Book学术官方微信