血管性血友病对妇女健康结局的影响:一项匹配队列数据库研究

Journal of women's health (2002) Pub Date : 2022-09-01 Epub Date: 2022-08-12 DOI:10.1089/jwh.2022.0082
Katrina Wilcox Hagberg, Susan Jick, Ping Du, Françoise Truong Berthoz, Gülden Özen, Spiros Tzivelekis
{"title":"血管性血友病对妇女健康结局的影响:一项匹配队列数据库研究","authors":"Katrina Wilcox Hagberg,&nbsp;Susan Jick,&nbsp;Ping Du,&nbsp;Françoise Truong Berthoz,&nbsp;Gülden Özen,&nbsp;Spiros Tzivelekis","doi":"10.1089/jwh.2022.0082","DOIUrl":null,"url":null,"abstract":"<p><p><b><i>Objective:</i></b> To understand the impact of von Willebrand disease (VWD) on women's health, a retrospective cohort study was conducted using UK Clinical Practice Research Datalink (CPRD) GOLD database and Hospital Episode Statistics (HES) Admitted Patient Care data from 1988 to 2016. <b><i>Materials and Methods:</i></b> Hysterectomy and heavy menstrual bleeding (HMB) events were identified by recorded disease/clinical codes and compared in women with and without VWD (matched 1:10 by birth and CPRD record start years [±2 years], and general practice attended). Incidence rates and incidence rate ratios (IRR) were calculated; risks were estimated using the Kaplan-Meier method. <b><i>Results:</i></b> HMB was recorded after cohort entry in 388 of 1,335 women (29.1%) with VWD and 1,524 of 12,463 women (12.2%) without VWD. The cumulative incidence of HMB was higher in women with versus without VWD across all ages (<i>p</i> < 0.0001), and irrespective of prior HMB status (<i>p</i> < 0.001). Women with VWD were more likely to have HMB compared with women without VWD; IRR adjusted for age and prior HMB status was 2.74 (95% confidence interval [CI]: 2.44-3.07). Hysterectomy was recorded in 88 of 1,374 women (6.4%) with VWD and 320 of 12,791 women (2.5%) without VWD. The cumulative incidence of hysterectomy was higher for women with versus without VWD (<i>p</i> < 0.0001), and highest among women aged ≥30 years at cohort entry. Women with VWD aged 30 - 39 years were more likely to undergo hysterectomy than women without VWD; IRR adjusted for prior HMB was 3.58 (95% CI: 2.36 - 5.44). <b><i>Conclusions:</i></b> These findings highlight the substantial impact of VWD on women's health.</p>","PeriodicalId":520699,"journal":{"name":"Journal of women's health (2002)","volume":" ","pages":"1262-1270"},"PeriodicalIF":0.0000,"publicationDate":"2022-09-01","publicationTypes":"Journal Article","fieldsOfStudy":null,"isOpenAccess":false,"openAccessPdf":"https://www.ncbi.nlm.nih.gov/pmc/articles/PMC9527044/pdf/","citationCount":"5","resultStr":"{\"title\":\"Impact of von Willebrand Disease on Women's Health Outcomes: A Matched Cohort Database Study.\",\"authors\":\"Katrina Wilcox Hagberg,&nbsp;Susan Jick,&nbsp;Ping Du,&nbsp;Françoise Truong Berthoz,&nbsp;Gülden Özen,&nbsp;Spiros Tzivelekis\",\"doi\":\"10.1089/jwh.2022.0082\",\"DOIUrl\":null,\"url\":null,\"abstract\":\"<p><p><b><i>Objective:</i></b> To understand the impact of von Willebrand disease (VWD) on women's health, a retrospective cohort study was conducted using UK Clinical Practice Research Datalink (CPRD) GOLD database and Hospital Episode Statistics (HES) Admitted Patient Care data from 1988 to 2016. <b><i>Materials and Methods:</i></b> Hysterectomy and heavy menstrual bleeding (HMB) events were identified by recorded disease/clinical codes and compared in women with and without VWD (matched 1:10 by birth and CPRD record start years [±2 years], and general practice attended). Incidence rates and incidence rate ratios (IRR) were calculated; risks were estimated using the Kaplan-Meier method. <b><i>Results:</i></b> HMB was recorded after cohort entry in 388 of 1,335 women (29.1%) with VWD and 1,524 of 12,463 women (12.2%) without VWD. The cumulative incidence of HMB was higher in women with versus without VWD across all ages (<i>p</i> < 0.0001), and irrespective of prior HMB status (<i>p</i> < 0.001). Women with VWD were more likely to have HMB compared with women without VWD; IRR adjusted for age and prior HMB status was 2.74 (95% confidence interval [CI]: 2.44-3.07). Hysterectomy was recorded in 88 of 1,374 women (6.4%) with VWD and 320 of 12,791 women (2.5%) without VWD. The cumulative incidence of hysterectomy was higher for women with versus without VWD (<i>p</i> < 0.0001), and highest among women aged ≥30 years at cohort entry. Women with VWD aged 30 - 39 years were more likely to undergo hysterectomy than women without VWD; IRR adjusted for prior HMB was 3.58 (95% CI: 2.36 - 5.44). <b><i>Conclusions:</i></b> These findings highlight the substantial impact of VWD on women's health.</p>\",\"PeriodicalId\":520699,\"journal\":{\"name\":\"Journal of women's health (2002)\",\"volume\":\" \",\"pages\":\"1262-1270\"},\"PeriodicalIF\":0.0000,\"publicationDate\":\"2022-09-01\",\"publicationTypes\":\"Journal Article\",\"fieldsOfStudy\":null,\"isOpenAccess\":false,\"openAccessPdf\":\"https://www.ncbi.nlm.nih.gov/pmc/articles/PMC9527044/pdf/\",\"citationCount\":\"5\",\"resultStr\":null,\"platform\":\"Semanticscholar\",\"paperid\":null,\"PeriodicalName\":\"Journal of women's health (2002)\",\"FirstCategoryId\":\"3\",\"ListUrlMain\":\"https://doi.org/10.1089/jwh.2022.0082\",\"RegionNum\":0,\"RegionCategory\":null,\"ArticlePicture\":[],\"TitleCN\":null,\"AbstractTextCN\":null,\"PMCID\":null,\"EPubDate\":\"2022/8/12 0:00:00\",\"PubModel\":\"Epub\",\"JCR\":\"\",\"JCRName\":\"\",\"Score\":null,\"Total\":0}","platform":"Semanticscholar","paperid":null,"PeriodicalName":"Journal of women's health (2002)","FirstCategoryId":"3","ListUrlMain":"https://doi.org/10.1089/jwh.2022.0082","RegionNum":0,"RegionCategory":null,"ArticlePicture":[],"TitleCN":null,"AbstractTextCN":null,"PMCID":null,"EPubDate":"2022/8/12 0:00:00","PubModel":"Epub","JCR":"","JCRName":"","Score":null,"Total":0}
引用次数: 5

摘要

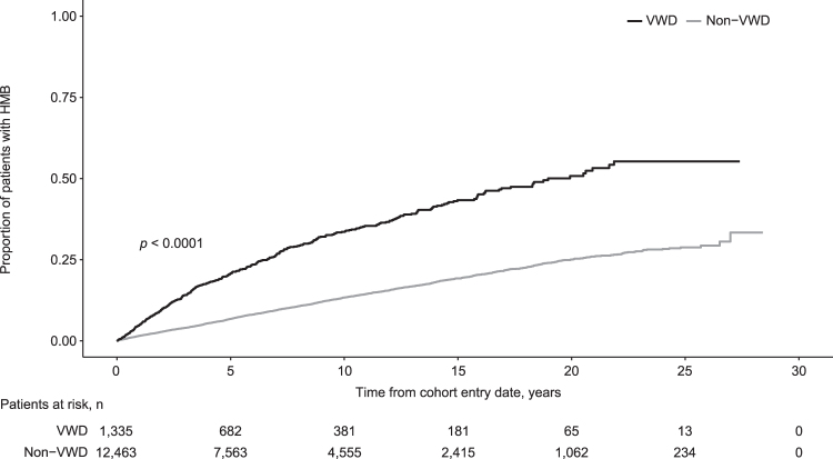
目的:为了解血管性血友病(VWD)对女性健康的影响,利用英国临床实践研究数据链(CPRD) GOLD数据库和1988 - 2016年住院患者护理(HES)数据进行回顾性队列研究。材料和方法:通过记录疾病/临床代码识别子宫切除术和重度月经出血(HMB)事件,并在有和没有VWD的妇女中进行比较(按出生和CPRD记录开始年份[±2年]匹配1:10,并参加全科就诊)。计算发病率和发病率比(IRR);使用Kaplan-Meier法估计风险。结果:队列进入后,1335名患有VWD的女性中有388名(29.1%)记录了HMB, 12463名无VWD的女性中有1524名(12.2%)记录了HMB。结论:这些发现强调了VWD对女性健康的重大影响。
本文章由计算机程序翻译,如有差异,请以英文原文为准。

Impact of von Willebrand Disease on Women's Health Outcomes: A Matched Cohort Database Study.

Impact of von Willebrand Disease on Women's Health Outcomes: A Matched Cohort Database Study.

Impact of von Willebrand Disease on Women's Health Outcomes: A Matched Cohort Database Study.

Impact of von Willebrand Disease on Women's Health Outcomes: A Matched Cohort Database Study.

Objective: To understand the impact of von Willebrand disease (VWD) on women's health, a retrospective cohort study was conducted using UK Clinical Practice Research Datalink (CPRD) GOLD database and Hospital Episode Statistics (HES) Admitted Patient Care data from 1988 to 2016. Materials and Methods: Hysterectomy and heavy menstrual bleeding (HMB) events were identified by recorded disease/clinical codes and compared in women with and without VWD (matched 1:10 by birth and CPRD record start years [±2 years], and general practice attended). Incidence rates and incidence rate ratios (IRR) were calculated; risks were estimated using the Kaplan-Meier method. Results: HMB was recorded after cohort entry in 388 of 1,335 women (29.1%) with VWD and 1,524 of 12,463 women (12.2%) without VWD. The cumulative incidence of HMB was higher in women with versus without VWD across all ages (p < 0.0001), and irrespective of prior HMB status (p < 0.001). Women with VWD were more likely to have HMB compared with women without VWD; IRR adjusted for age and prior HMB status was 2.74 (95% confidence interval [CI]: 2.44-3.07). Hysterectomy was recorded in 88 of 1,374 women (6.4%) with VWD and 320 of 12,791 women (2.5%) without VWD. The cumulative incidence of hysterectomy was higher for women with versus without VWD (p < 0.0001), and highest among women aged ≥30 years at cohort entry. Women with VWD aged 30 - 39 years were more likely to undergo hysterectomy than women without VWD; IRR adjusted for prior HMB was 3.58 (95% CI: 2.36 - 5.44). Conclusions: These findings highlight the substantial impact of VWD on women's health.

求助全文
通过发布文献求助,成功后即可免费获取论文全文。 去求助
来源期刊
自引率
0.00%
发文量
0
×
引用
GB/T 7714-2015
复制
MLA
复制
APA
复制
导出至
BibTeX EndNote RefMan NoteFirst NoteExpress
×
提示
您的信息不完整,为了账户安全,请先补充。
现在去补充
×
提示
您因"违规操作"
具体请查看互助需知
我知道了
×
提示
确定
请完成安全验证×
copy
已复制链接
快去分享给好友吧!
我知道了
右上角分享
点击右上角分享
0
联系我们:info@booksci.cn Book学术提供免费学术资源搜索服务,方便国内外学者检索中英文文献。致力于提供最便捷和优质的服务体验。 Copyright © 2023 布克学术 All rights reserved.
京ICP备2023020795号-1
ghs 京公网安备 11010802042870号
Book学术文献互助
Book学术文献互助群
群 号:604180095
Book学术官方微信