通过便携式视频建模建立日常生活技能。

IF 1.4 4区 教育学 Q2 EDUCATION, SPECIAL
Education and Treatment of Children Pub Date : 2022-01-01 Epub Date: 2022-07-18 DOI:10.1007/s43494-022-00077-3
Sara M Athorp, Shannon K Stuart, James C Collins
{"title":"通过便携式视频建模建立日常生活技能。","authors":"Sara M Athorp,&nbsp;Shannon K Stuart,&nbsp;James C Collins","doi":"10.1007/s43494-022-00077-3","DOIUrl":null,"url":null,"abstract":"<p><p>This study used video modeling via portable technology to improve daily living skills for a student with an intellectual disability in a university campus-based transition program. Results showed increased independence across four daily living skills. Implications for future practice are discussed.</p>","PeriodicalId":51493,"journal":{"name":"Education and Treatment of Children","volume":" ","pages":"293-297"},"PeriodicalIF":1.4000,"publicationDate":"2022-01-01","publicationTypes":"Journal Article","fieldsOfStudy":null,"isOpenAccess":false,"openAccessPdf":"https://www.ncbi.nlm.nih.gov/pmc/articles/PMC9294787/pdf/","citationCount":"0","resultStr":"{\"title\":\"Building Daily Living Skills Through Portable Video Modeling.\",\"authors\":\"Sara M Athorp,&nbsp;Shannon K Stuart,&nbsp;James C Collins\",\"doi\":\"10.1007/s43494-022-00077-3\",\"DOIUrl\":null,\"url\":null,\"abstract\":\"<p><p>This study used video modeling via portable technology to improve daily living skills for a student with an intellectual disability in a university campus-based transition program. Results showed increased independence across four daily living skills. Implications for future practice are discussed.</p>\",\"PeriodicalId\":51493,\"journal\":{\"name\":\"Education and Treatment of Children\",\"volume\":\" \",\"pages\":\"293-297\"},\"PeriodicalIF\":1.4000,\"publicationDate\":\"2022-01-01\",\"publicationTypes\":\"Journal Article\",\"fieldsOfStudy\":null,\"isOpenAccess\":false,\"openAccessPdf\":\"https://www.ncbi.nlm.nih.gov/pmc/articles/PMC9294787/pdf/\",\"citationCount\":\"0\",\"resultStr\":null,\"platform\":\"Semanticscholar\",\"paperid\":null,\"PeriodicalName\":\"Education and Treatment of Children\",\"FirstCategoryId\":\"95\",\"ListUrlMain\":\"https://doi.org/10.1007/s43494-022-00077-3\",\"RegionNum\":4,\"RegionCategory\":\"教育学\",\"ArticlePicture\":[],\"TitleCN\":null,\"AbstractTextCN\":null,\"PMCID\":null,\"EPubDate\":\"2022/7/18 0:00:00\",\"PubModel\":\"Epub\",\"JCR\":\"Q2\",\"JCRName\":\"EDUCATION, SPECIAL\",\"Score\":null,\"Total\":0}","platform":"Semanticscholar","paperid":null,"PeriodicalName":"Education and Treatment of Children","FirstCategoryId":"95","ListUrlMain":"https://doi.org/10.1007/s43494-022-00077-3","RegionNum":4,"RegionCategory":"教育学","ArticlePicture":[],"TitleCN":null,"AbstractTextCN":null,"PMCID":null,"EPubDate":"2022/7/18 0:00:00","PubModel":"Epub","JCR":"Q2","JCRName":"EDUCATION, SPECIAL","Score":null,"Total":0}
引用次数: 0

摘要

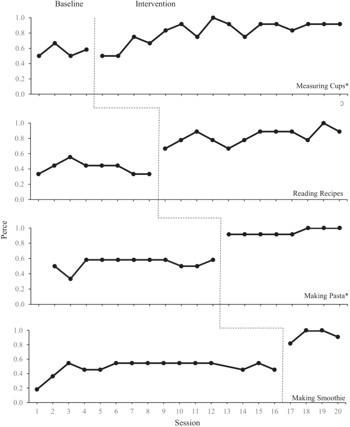
本研究通过便携式技术的视频建模来提高大学校园过渡项目中智障学生的日常生活技能。结果显示,四项日常生活技能的独立性有所提高。讨论了对未来实践的影响。
本文章由计算机程序翻译,如有差异,请以英文原文为准。

Building Daily Living Skills Through Portable Video Modeling.

Building Daily Living Skills Through Portable Video Modeling.

This study used video modeling via portable technology to improve daily living skills for a student with an intellectual disability in a university campus-based transition program. Results showed increased independence across four daily living skills. Implications for future practice are discussed.

求助全文
通过发布文献求助,成功后即可免费获取论文全文。 去求助
来源期刊
CiteScore
1.70
自引率
10.00%
发文量
20
期刊介绍: Education and Treatment of Children (ETC) is devoted to the dissemination of information concerning the development of services for children and youth who are at risk for or experiencing emotional or behavioral problems. A primary criterion for publication is that the material be of direct value to educators, parents, child care providers, or mental health professionals in improving the effectiveness of their services. Therefore, authors are required to compose their manuscripts in a clear, concise style that will be readily understood by the practitioners who are likely to make use of the information.
×
引用
GB/T 7714-2015
复制
MLA
复制
APA
复制
导出至
BibTeX EndNote RefMan NoteFirst NoteExpress
×
提示
您的信息不完整,为了账户安全,请先补充。
现在去补充
×
提示
您因"违规操作"
具体请查看互助需知
我知道了
×
提示
确定
请完成安全验证×
copy
已复制链接
快去分享给好友吧!
我知道了
右上角分享
点击右上角分享
0
联系我们:info@booksci.cn Book学术提供免费学术资源搜索服务,方便国内外学者检索中英文文献。致力于提供最便捷和优质的服务体验。 Copyright © 2023 布克学术 All rights reserved.
京ICP备2023020795号-1
ghs 京公网安备 11010802042870号
Book学术文献互助
Book学术文献互助群
群 号:604180095
Book学术官方微信