院前急诊医师的ST-T段变化:一项前瞻性观察试验

Mathias Maleczek, Karl Schebesta, Thomas Hamp, Achim Leo Burger, Thomas Pezawas, Mario Krammel, Bernhard Roessler
{"title":"院前急诊医师的ST-T段变化:一项前瞻性观察试验","authors":"Mathias Maleczek,&nbsp;Karl Schebesta,&nbsp;Thomas Hamp,&nbsp;Achim Leo Burger,&nbsp;Thomas Pezawas,&nbsp;Mario Krammel,&nbsp;Bernhard Roessler","doi":"10.1186/s13049-022-01033-1","DOIUrl":null,"url":null,"abstract":"<p><strong>Aims: </strong>Due to time-critical decision-making, physical strain and the uncontrolled environment, prehospital emergency management is frequently associated with high levels of stress in medical personnel. Stress has been known to cause ischemia like changes in electrocardiograms (ECGs), including arrhythmias and deviations in ST-T segments. There is a lack of knowledge regarding the occurrence of changes in ST-T segments in prehospital emergency physicians. We hypothesized that ST-T segment deviations occur in prehospital emergency physicians in the field.</p><p><strong>Methods: </strong>In this prospective observational trial, ST-T segments of emergency physicians were recorded using 12-lead Holter ECGs. The primary outcome parameter was defined as the incidence of ST-T segment changes greater than 0.1 mV in two corresponding leads for more than 30 s per 100 rescue missions. The secondary outcomes included T-wave inversions and ST-segment changes shorter than 30 s or smaller than 0.1 mV. Surrogate parameters of stress were measured using the NASA-Task Load Index and cognitive appraisal, and their correlation with ST-T segment changes were also assessed.</p><p><strong>Results: </strong>Data from 20 physicians in 36 shifts (18 days, 18 nights) including 208 missions were analysed. Seventy percent of previously healthy emergency physicians had at least one ECG abnormality; the mean duration of these changes was 30 s. Significantly more missions with ECG changes were found during night than day shifts (39 vs. 17%, p < 0.001). Forty-nine ECG changes occurred between missions. No ST-T segment changes > 30 s and > 0.1 mV were found. Two ST-T segment changes < 30 s or < 0.1 mV (each during missions) and 122 episodes of T-wave inversions (74 during missions) were identified. ECG changes were found to be associated with alarms when asleep and NASA task load index.</p><p><strong>Conclusion: </strong>ECG changes are frequent and occur in most healthy prehospital emergency physicians. Even when occurring for less than 30 s, such changes are important signs for high levels of stress. The long-term impact of these changes needs further investigation. Trial registration The trial was registered at ClinicalTrials.gov (NCT04003883) on 1.7.2019:  https://clinicaltrials.gov/ct2/show/NCT04003883?term=emergency+physician&rank=2.</p>","PeriodicalId":501057,"journal":{"name":"Scandinavian Journal of Trauma, Resuscitation and Emergency Medicine","volume":" ","pages":"47"},"PeriodicalIF":0.0000,"publicationDate":"2022-07-15","publicationTypes":"Journal Article","fieldsOfStudy":null,"isOpenAccess":false,"openAccessPdf":"https://www.ncbi.nlm.nih.gov/pmc/articles/PMC9288087/pdf/","citationCount":"3","resultStr":"{\"title\":\"ST-T segment changes in prehospital emergency physicians in the field: a prospective observational trial.\",\"authors\":\"Mathias Maleczek,&nbsp;Karl Schebesta,&nbsp;Thomas Hamp,&nbsp;Achim Leo Burger,&nbsp;Thomas Pezawas,&nbsp;Mario Krammel,&nbsp;Bernhard Roessler\",\"doi\":\"10.1186/s13049-022-01033-1\",\"DOIUrl\":null,\"url\":null,\"abstract\":\"<p><strong>Aims: </strong>Due to time-critical decision-making, physical strain and the uncontrolled environment, prehospital emergency management is frequently associated with high levels of stress in medical personnel. Stress has been known to cause ischemia like changes in electrocardiograms (ECGs), including arrhythmias and deviations in ST-T segments. There is a lack of knowledge regarding the occurrence of changes in ST-T segments in prehospital emergency physicians. We hypothesized that ST-T segment deviations occur in prehospital emergency physicians in the field.</p><p><strong>Methods: </strong>In this prospective observational trial, ST-T segments of emergency physicians were recorded using 12-lead Holter ECGs. The primary outcome parameter was defined as the incidence of ST-T segment changes greater than 0.1 mV in two corresponding leads for more than 30 s per 100 rescue missions. The secondary outcomes included T-wave inversions and ST-segment changes shorter than 30 s or smaller than 0.1 mV. Surrogate parameters of stress were measured using the NASA-Task Load Index and cognitive appraisal, and their correlation with ST-T segment changes were also assessed.</p><p><strong>Results: </strong>Data from 20 physicians in 36 shifts (18 days, 18 nights) including 208 missions were analysed. Seventy percent of previously healthy emergency physicians had at least one ECG abnormality; the mean duration of these changes was 30 s. Significantly more missions with ECG changes were found during night than day shifts (39 vs. 17%, p < 0.001). Forty-nine ECG changes occurred between missions. No ST-T segment changes > 30 s and > 0.1 mV were found. Two ST-T segment changes < 30 s or < 0.1 mV (each during missions) and 122 episodes of T-wave inversions (74 during missions) were identified. ECG changes were found to be associated with alarms when asleep and NASA task load index.</p><p><strong>Conclusion: </strong>ECG changes are frequent and occur in most healthy prehospital emergency physicians. Even when occurring for less than 30 s, such changes are important signs for high levels of stress. The long-term impact of these changes needs further investigation. Trial registration The trial was registered at ClinicalTrials.gov (NCT04003883) on 1.7.2019:  https://clinicaltrials.gov/ct2/show/NCT04003883?term=emergency+physician&rank=2.</p>\",\"PeriodicalId\":501057,\"journal\":{\"name\":\"Scandinavian Journal of Trauma, Resuscitation and Emergency Medicine\",\"volume\":\" \",\"pages\":\"47\"},\"PeriodicalIF\":0.0000,\"publicationDate\":\"2022-07-15\",\"publicationTypes\":\"Journal Article\",\"fieldsOfStudy\":null,\"isOpenAccess\":false,\"openAccessPdf\":\"https://www.ncbi.nlm.nih.gov/pmc/articles/PMC9288087/pdf/\",\"citationCount\":\"3\",\"resultStr\":null,\"platform\":\"Semanticscholar\",\"paperid\":null,\"PeriodicalName\":\"Scandinavian Journal of Trauma, Resuscitation and Emergency Medicine\",\"FirstCategoryId\":\"3\",\"ListUrlMain\":\"https://doi.org/10.1186/s13049-022-01033-1\",\"RegionNum\":0,\"RegionCategory\":null,\"ArticlePicture\":[],\"TitleCN\":null,\"AbstractTextCN\":null,\"PMCID\":null,\"EPubDate\":\"\",\"PubModel\":\"\",\"JCR\":\"\",\"JCRName\":\"\",\"Score\":null,\"Total\":0}","platform":"Semanticscholar","paperid":null,"PeriodicalName":"Scandinavian Journal of Trauma, Resuscitation and Emergency Medicine","FirstCategoryId":"3","ListUrlMain":"https://doi.org/10.1186/s13049-022-01033-1","RegionNum":0,"RegionCategory":null,"ArticlePicture":[],"TitleCN":null,"AbstractTextCN":null,"PMCID":null,"EPubDate":"","PubModel":"","JCR":"","JCRName":"","Score":null,"Total":0}
引用次数: 3

摘要

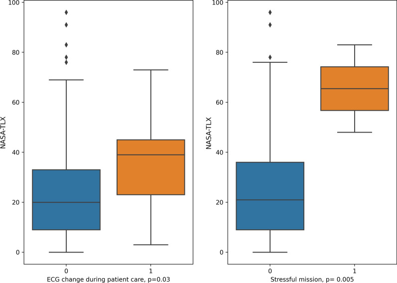
目的:由于时间紧迫的决策,身体紧张和不受控制的环境,院前急救管理往往与医务人员的高水平压力有关。已知应激可引起缺血样心电图变化,包括心律失常和ST-T段偏差。院前急诊医师对ST-T段变化的发生缺乏了解。我们假设ST-T段偏差发生在院前急诊医生的领域。方法:在这项前瞻性观察试验中,使用12导联霍尔特心电图记录急诊医生的ST-T段。主要结局参数定义为每100次救援任务中,两个相应导联ST-T段变化大于0.1 mV的发生率超过30秒。次要结果包括t波反转和小于30秒或小于0.1 mV的st段变化。采用nasa任务负荷指数和认知评价法测量压力替代参数,并评估其与ST-T段变化的相关性。结果:分析了来自36个班次(18天18夜)的20名医生的数据,包括208个任务。70%以前健康的急诊医生至少有一项心电图异常;这些变化的平均持续时间为30秒。夜间任务的心电图变化明显多于白班(39% vs. 17%, p 30 s和> 0.1 mV)。结论:心电图改变是常见的,且在大多数健康的院前急诊医师中都有发生。即使发生的时间不到30秒,这种变化也是高水平压力的重要标志。这些变化的长期影响需要进一步调查。该试验于2019年7月1日在ClinicalTrials.gov (NCT04003883)注册:https://clinicaltrials.gov/ct2/show/NCT04003883?term=emergency+physician&rank=2。
本文章由计算机程序翻译,如有差异,请以英文原文为准。

ST-T segment changes in prehospital emergency physicians in the field: a prospective observational trial.

ST-T segment changes in prehospital emergency physicians in the field: a prospective observational trial.

ST-T segment changes in prehospital emergency physicians in the field: a prospective observational trial.

ST-T segment changes in prehospital emergency physicians in the field: a prospective observational trial.

Aims: Due to time-critical decision-making, physical strain and the uncontrolled environment, prehospital emergency management is frequently associated with high levels of stress in medical personnel. Stress has been known to cause ischemia like changes in electrocardiograms (ECGs), including arrhythmias and deviations in ST-T segments. There is a lack of knowledge regarding the occurrence of changes in ST-T segments in prehospital emergency physicians. We hypothesized that ST-T segment deviations occur in prehospital emergency physicians in the field.

Methods: In this prospective observational trial, ST-T segments of emergency physicians were recorded using 12-lead Holter ECGs. The primary outcome parameter was defined as the incidence of ST-T segment changes greater than 0.1 mV in two corresponding leads for more than 30 s per 100 rescue missions. The secondary outcomes included T-wave inversions and ST-segment changes shorter than 30 s or smaller than 0.1 mV. Surrogate parameters of stress were measured using the NASA-Task Load Index and cognitive appraisal, and their correlation with ST-T segment changes were also assessed.

Results: Data from 20 physicians in 36 shifts (18 days, 18 nights) including 208 missions were analysed. Seventy percent of previously healthy emergency physicians had at least one ECG abnormality; the mean duration of these changes was 30 s. Significantly more missions with ECG changes were found during night than day shifts (39 vs. 17%, p < 0.001). Forty-nine ECG changes occurred between missions. No ST-T segment changes > 30 s and > 0.1 mV were found. Two ST-T segment changes < 30 s or < 0.1 mV (each during missions) and 122 episodes of T-wave inversions (74 during missions) were identified. ECG changes were found to be associated with alarms when asleep and NASA task load index.

Conclusion: ECG changes are frequent and occur in most healthy prehospital emergency physicians. Even when occurring for less than 30 s, such changes are important signs for high levels of stress. The long-term impact of these changes needs further investigation. Trial registration The trial was registered at ClinicalTrials.gov (NCT04003883) on 1.7.2019:  https://clinicaltrials.gov/ct2/show/NCT04003883?term=emergency+physician&rank=2.

求助全文
通过发布文献求助,成功后即可免费获取论文全文。 去求助
来源期刊
自引率
0.00%
发文量
0
×
引用
GB/T 7714-2015
复制
MLA
复制
APA
复制
导出至
BibTeX EndNote RefMan NoteFirst NoteExpress
×
提示
您的信息不完整,为了账户安全,请先补充。
现在去补充
×
提示
您因"违规操作"
具体请查看互助需知
我知道了
×
提示
确定
请完成安全验证×
copy
已复制链接
快去分享给好友吧!
我知道了
右上角分享
点击右上角分享
0
联系我们:info@booksci.cn Book学术提供免费学术资源搜索服务,方便国内外学者检索中英文文献。致力于提供最便捷和优质的服务体验。 Copyright © 2023 布克学术 All rights reserved.
京ICP备2023020795号-1
ghs 京公网安备 11010802042870号
Book学术文献互助
Book学术文献互助群
群 号:604180095
Book学术官方微信