公益服务提供者之间为获得捐赠者的奖励而展开竞争。

IF 1.7 3区 经济学 Q2 ECONOMICS
Natalie Struwe, Esther Blanco, James M Walker
{"title":"公益服务提供者之间为获得捐赠者的奖励而展开竞争。","authors":"Natalie Struwe, Esther Blanco, James M Walker","doi":"10.1007/s10683-022-09766-7","DOIUrl":null,"url":null,"abstract":"<p><p>We present experimental evidence for decision settings where public good providers compete for <i>endogenous</i> rewards which are donations (transfers) offered by outside donors. Donors receive benefits from public good provision but cannot provide the good themselves. The performance of three competition mechanisms is examined in relation to the level of public good provision and transfers offered by donors. In addition to a contest where transfers received by public good providers are proportional to effort, we study two contests with exclusion from transfers, namely a winner-takes-all and a loser-gets-nothing. We compare behavior in these three decision settings to the default setting of no-contest (no-transfers). Results for this novel decision environment with endogenous transfers show that donors offer transfers (contest prizes) at similar levels across contests and contributions to the public good are not significantly different in the three contests settings, but are consistently and significantly higher in all contests compared to the setting with no-transfers. Initially, the winner-takes-all setting leads to a significantly higher increase in public good contributions compared to the other two contests; but this difference diminishes across decision rounds.</p><p><strong>Supplementary information: </strong>The online version contains supplementary material available at 10.1007/s10683-022-09766-7.</p>","PeriodicalId":47992,"journal":{"name":"Experimental Economics","volume":" ","pages":"1-29"},"PeriodicalIF":1.7000,"publicationDate":"2022-09-09","publicationTypes":"Journal Article","fieldsOfStudy":null,"isOpenAccess":false,"openAccessPdf":"https://www.ncbi.nlm.nih.gov/pmc/articles/PMC9458484/pdf/","citationCount":"0","resultStr":"{\"title\":\"Competition among public good providers for donor rewards.\",\"authors\":\"Natalie Struwe, Esther Blanco, James M Walker\",\"doi\":\"10.1007/s10683-022-09766-7\",\"DOIUrl\":null,\"url\":null,\"abstract\":\"<p><p>We present experimental evidence for decision settings where public good providers compete for <i>endogenous</i> rewards which are donations (transfers) offered by outside donors. Donors receive benefits from public good provision but cannot provide the good themselves. The performance of three competition mechanisms is examined in relation to the level of public good provision and transfers offered by donors. In addition to a contest where transfers received by public good providers are proportional to effort, we study two contests with exclusion from transfers, namely a winner-takes-all and a loser-gets-nothing. We compare behavior in these three decision settings to the default setting of no-contest (no-transfers). Results for this novel decision environment with endogenous transfers show that donors offer transfers (contest prizes) at similar levels across contests and contributions to the public good are not significantly different in the three contests settings, but are consistently and significantly higher in all contests compared to the setting with no-transfers. Initially, the winner-takes-all setting leads to a significantly higher increase in public good contributions compared to the other two contests; but this difference diminishes across decision rounds.</p><p><strong>Supplementary information: </strong>The online version contains supplementary material available at 10.1007/s10683-022-09766-7.</p>\",\"PeriodicalId\":47992,\"journal\":{\"name\":\"Experimental Economics\",\"volume\":\" \",\"pages\":\"1-29\"},\"PeriodicalIF\":1.7000,\"publicationDate\":\"2022-09-09\",\"publicationTypes\":\"Journal Article\",\"fieldsOfStudy\":null,\"isOpenAccess\":false,\"openAccessPdf\":\"https://www.ncbi.nlm.nih.gov/pmc/articles/PMC9458484/pdf/\",\"citationCount\":\"0\",\"resultStr\":null,\"platform\":\"Semanticscholar\",\"paperid\":null,\"PeriodicalName\":\"Experimental Economics\",\"FirstCategoryId\":\"96\",\"ListUrlMain\":\"https://doi.org/10.1007/s10683-022-09766-7\",\"RegionNum\":3,\"RegionCategory\":\"经济学\",\"ArticlePicture\":[],\"TitleCN\":null,\"AbstractTextCN\":null,\"PMCID\":null,\"EPubDate\":\"\",\"PubModel\":\"\",\"JCR\":\"Q2\",\"JCRName\":\"ECONOMICS\",\"Score\":null,\"Total\":0}","platform":"Semanticscholar","paperid":null,"PeriodicalName":"Experimental Economics","FirstCategoryId":"96","ListUrlMain":"https://doi.org/10.1007/s10683-022-09766-7","RegionNum":3,"RegionCategory":"经济学","ArticlePicture":[],"TitleCN":null,"AbstractTextCN":null,"PMCID":null,"EPubDate":"","PubModel":"","JCR":"Q2","JCRName":"ECONOMICS","Score":null,"Total":0}
引用次数: 0

摘要

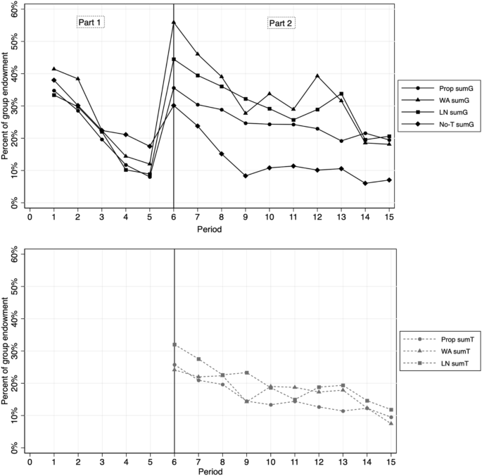
在公共物品提供者争夺外部捐赠者提供的捐赠(转移)这一内生奖励的决策环境中,我们提出了实验证据。捐赠者从公共产品的提供中获益,但自己不能提供产品。我们考察了三种竞争机制的表现,它们与公共产品提供水平和捐赠者提供的捐赠有关。除了公共物品提供者获得的转移支付与努力成正比的竞争外,我们还研究了两种排除转移支付的竞争,即赢家通吃和输家一无所获。我们将这三种决策环境下的行为与默认的无竞争(无转让)环境下的行为进行了比较。这种新颖的内生转移支付决策环境的结果显示,捐助者在不同比赛中提供的转移支付(比赛奖金)水平相似,对公益的贡献在三种比赛设置中没有显著差异,但与无转移支付设置相比,在所有比赛中都持续显著增加。最初,"赢家通吃 "设置导致的公益贡献增长明显高于其他两种竞赛;但这种差异在各轮决策中逐渐缩小:在线版本包含补充材料,可查阅 10.1007/s10683-022-09766-7。
本文章由计算机程序翻译,如有差异,请以英文原文为准。

Competition among public good providers for donor rewards.

Competition among public good providers for donor rewards.

We present experimental evidence for decision settings where public good providers compete for endogenous rewards which are donations (transfers) offered by outside donors. Donors receive benefits from public good provision but cannot provide the good themselves. The performance of three competition mechanisms is examined in relation to the level of public good provision and transfers offered by donors. In addition to a contest where transfers received by public good providers are proportional to effort, we study two contests with exclusion from transfers, namely a winner-takes-all and a loser-gets-nothing. We compare behavior in these three decision settings to the default setting of no-contest (no-transfers). Results for this novel decision environment with endogenous transfers show that donors offer transfers (contest prizes) at similar levels across contests and contributions to the public good are not significantly different in the three contests settings, but are consistently and significantly higher in all contests compared to the setting with no-transfers. Initially, the winner-takes-all setting leads to a significantly higher increase in public good contributions compared to the other two contests; but this difference diminishes across decision rounds.

Supplementary information: The online version contains supplementary material available at 10.1007/s10683-022-09766-7.

求助全文
通过发布文献求助,成功后即可免费获取论文全文。 去求助
来源期刊
CiteScore
4.10
自引率
8.70%
发文量
40
期刊介绍: Experimental methods are uniquely suited to the study of many phenomena that have been difficult to observe directly in naturally occurring economic contexts. For example, the ability to induce preferences and control information structures makes it possible to isolate the effects of alternate economic structures, policies, and market institutions.Experimental Economics is an international journal that serves the growing group of economists around the world who use experimental methods. The journal invites high-quality papers in any area of experimental research in economics and related fields (i.e. accounting, finance, political science, and the psychology of decision making). State-of-the-art theoretical work and econometric work that is motivated by experimental data is also encouraged. The journal will also consider articles with a primary focus on methodology or replication of controversial findings. We welcome experiments conducted in either the laboratory or in the field. The relevant data can be decisions or non-choice data such as physiological measurements. However, we only consider studies that do not employ deception of participants and in which participants are incentivized.  Experimental Economics is structured to promote experimental economics by bringing together innovative research that meets professional standards of experimental method, but without editorial bias towards specific orientations. All papers will be reviewed through the standard, anonymous-referee procedure and all accepted manuscripts will be subject to the approval of two editors. Authors must submit the instructions that participants in their study received at the time of submission of their manuscript. Authors are expected to submit separate data appendices which will be attached to the journal''s web page upon publication. Officially cited as: Exp Econ
×
引用
GB/T 7714-2015
复制
MLA
复制
APA
复制
导出至
BibTeX EndNote RefMan NoteFirst NoteExpress
×
提示
您的信息不完整,为了账户安全,请先补充。
现在去补充
×
提示
您因"违规操作"
具体请查看互助需知
我知道了
×
提示
确定
请完成安全验证×
copy
已复制链接
快去分享给好友吧!
我知道了
右上角分享
点击右上角分享
0
联系我们:info@booksci.cn Book学术提供免费学术资源搜索服务,方便国内外学者检索中英文文献。致力于提供最便捷和优质的服务体验。 Copyright © 2023 布克学术 All rights reserved.
京ICP备2023020795号-1
ghs 京公网安备 11010802042870号
Book学术文献互助
Book学术文献互助群
群 号:604180095
Book学术官方微信