SARS-CoV-2在大学课堂中的传播。

IF 2 Q3 MATHEMATICAL & COMPUTATIONAL BIOLOGY
William Ruth, Richard Lockhart
{"title":"SARS-CoV-2在大学课堂中的传播。","authors":"William Ruth,&nbsp;Richard Lockhart","doi":"10.1007/s13721-022-00375-1","DOIUrl":null,"url":null,"abstract":"<p><p>We investigate transmission dynamics for SARS-CoV-2 on a real network of classes at Simon Fraser University. Outbreaks are simulated over the course of one semester across numerous parameter settings, including moving classes above certain size thresholds online. Regression trees are used to analyze the effect of disease parameters on simulation outputs. We find that an aggressive class size thresholding strategy is required to mitigate the risk of a large outbreak, and that transmission by symptomatic individuals is a key driver of outbreak size. These findings provide guidance for designing control strategies at other institutions, as well as setting priorities and allocating resources for disease monitoring.</p><p><strong>Supplementary information: </strong>The online version contains supplementary material available at 10.1007/s13721-022-00375-1.</p>","PeriodicalId":44876,"journal":{"name":"Network Modeling and Analysis in Health Informatics and Bioinformatics","volume":" ","pages":"32"},"PeriodicalIF":2.0000,"publicationDate":"2022-01-01","publicationTypes":"Journal Article","fieldsOfStudy":null,"isOpenAccess":false,"openAccessPdf":"https://www.ncbi.nlm.nih.gov/pmc/articles/PMC9419647/pdf/","citationCount":"1","resultStr":"{\"title\":\"SARS-CoV-2 transmission in university classes.\",\"authors\":\"William Ruth,&nbsp;Richard Lockhart\",\"doi\":\"10.1007/s13721-022-00375-1\",\"DOIUrl\":null,\"url\":null,\"abstract\":\"<p><p>We investigate transmission dynamics for SARS-CoV-2 on a real network of classes at Simon Fraser University. Outbreaks are simulated over the course of one semester across numerous parameter settings, including moving classes above certain size thresholds online. Regression trees are used to analyze the effect of disease parameters on simulation outputs. We find that an aggressive class size thresholding strategy is required to mitigate the risk of a large outbreak, and that transmission by symptomatic individuals is a key driver of outbreak size. These findings provide guidance for designing control strategies at other institutions, as well as setting priorities and allocating resources for disease monitoring.</p><p><strong>Supplementary information: </strong>The online version contains supplementary material available at 10.1007/s13721-022-00375-1.</p>\",\"PeriodicalId\":44876,\"journal\":{\"name\":\"Network Modeling and Analysis in Health Informatics and Bioinformatics\",\"volume\":\" \",\"pages\":\"32\"},\"PeriodicalIF\":2.0000,\"publicationDate\":\"2022-01-01\",\"publicationTypes\":\"Journal Article\",\"fieldsOfStudy\":null,\"isOpenAccess\":false,\"openAccessPdf\":\"https://www.ncbi.nlm.nih.gov/pmc/articles/PMC9419647/pdf/\",\"citationCount\":\"1\",\"resultStr\":null,\"platform\":\"Semanticscholar\",\"paperid\":null,\"PeriodicalName\":\"Network Modeling and Analysis in Health Informatics and Bioinformatics\",\"FirstCategoryId\":\"1085\",\"ListUrlMain\":\"https://doi.org/10.1007/s13721-022-00375-1\",\"RegionNum\":0,\"RegionCategory\":null,\"ArticlePicture\":[],\"TitleCN\":null,\"AbstractTextCN\":null,\"PMCID\":null,\"EPubDate\":\"2022/8/27 0:00:00\",\"PubModel\":\"Epub\",\"JCR\":\"Q3\",\"JCRName\":\"MATHEMATICAL & COMPUTATIONAL BIOLOGY\",\"Score\":null,\"Total\":0}","platform":"Semanticscholar","paperid":null,"PeriodicalName":"Network Modeling and Analysis in Health Informatics and Bioinformatics","FirstCategoryId":"1085","ListUrlMain":"https://doi.org/10.1007/s13721-022-00375-1","RegionNum":0,"RegionCategory":null,"ArticlePicture":[],"TitleCN":null,"AbstractTextCN":null,"PMCID":null,"EPubDate":"2022/8/27 0:00:00","PubModel":"Epub","JCR":"Q3","JCRName":"MATHEMATICAL & COMPUTATIONAL BIOLOGY","Score":null,"Total":0}
引用次数: 1

摘要

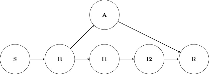
我们在西蒙弗雷泽大学的真实课堂网络上调查了SARS-CoV-2的传播动力学。在一个学期的过程中,通过许多参数设置模拟爆发,包括将班级移动到一定的在线规模阈值以上。采用回归树分析疾病参数对仿真输出的影响。我们发现,需要积极的班级规模阈值策略来降低大规模爆发的风险,并且有症状的个体传播是爆发规模的关键驱动因素。这些发现为其他机构设计控制策略以及为疾病监测确定优先事项和分配资源提供了指导。补充资料:在线版本提供补充资料,网址为10.1007/s13721-022-00375-1。
本文章由计算机程序翻译,如有差异,请以英文原文为准。

SARS-CoV-2 transmission in university classes.

SARS-CoV-2 transmission in university classes.

SARS-CoV-2 transmission in university classes.

SARS-CoV-2 transmission in university classes.

We investigate transmission dynamics for SARS-CoV-2 on a real network of classes at Simon Fraser University. Outbreaks are simulated over the course of one semester across numerous parameter settings, including moving classes above certain size thresholds online. Regression trees are used to analyze the effect of disease parameters on simulation outputs. We find that an aggressive class size thresholding strategy is required to mitigate the risk of a large outbreak, and that transmission by symptomatic individuals is a key driver of outbreak size. These findings provide guidance for designing control strategies at other institutions, as well as setting priorities and allocating resources for disease monitoring.

Supplementary information: The online version contains supplementary material available at 10.1007/s13721-022-00375-1.

求助全文
通过发布文献求助,成功后即可免费获取论文全文。 去求助
来源期刊
CiteScore
5.40
自引率
4.30%
发文量
43
期刊介绍: NetMAHIB publishes original research articles and reviews reporting how graph theory, statistics, linear algebra and machine learning techniques can be effectively used for modelling and analysis in health informatics and bioinformatics. It aims at creating a synergy between these disciplines by providing a forum for disseminating the latest developments and research findings; hence, results can be shared with readers across institutions, governments, researchers, students, and the industry. The journal emphasizes fundamental contributions on new methodologies, discoveries and techniques that have general applicability and which form the basis for network based modelling, knowledge discovery, knowledge sharing and decision support to the benefit of patients, healthcare professionals and society in traditional and advanced emerging settings, including eHealth and mHealth .
×
引用
GB/T 7714-2015
复制
MLA
复制
APA
复制
导出至
BibTeX EndNote RefMan NoteFirst NoteExpress
×
提示
您的信息不完整,为了账户安全,请先补充。
现在去补充
×
提示
您因"违规操作"
具体请查看互助需知
我知道了
×
提示
确定
请完成安全验证×
copy
已复制链接
快去分享给好友吧!
我知道了
右上角分享
点击右上角分享
0
联系我们:info@booksci.cn Book学术提供免费学术资源搜索服务,方便国内外学者检索中英文文献。致力于提供最便捷和优质的服务体验。 Copyright © 2023 布克学术 All rights reserved.
京ICP备2023020795号-1
ghs 京公网安备 11010802042870号
Book学术文献互助
Book学术文献互助群
群 号:604180095
Book学术官方微信