新型可注射化钙剂Upacicalcet在日本健康成人中的首次人体I期研究。

Drugs in R & D Pub Date : 2022-06-01 Epub Date: 2022-03-25 DOI:10.1007/s40268-022-00385-4
Fumihiko Koiwa, Rie Yazawa, Masafumi Fukagawa, Daisuke Honda, Tadao Akizawa
{"title":"新型可注射化钙剂Upacicalcet在日本健康成人中的首次人体I期研究。","authors":"Fumihiko Koiwa,&nbsp;Rie Yazawa,&nbsp;Masafumi Fukagawa,&nbsp;Daisuke Honda,&nbsp;Tadao Akizawa","doi":"10.1007/s40268-022-00385-4","DOIUrl":null,"url":null,"abstract":"<p><strong>Background and objective: </strong>Upacicalcet sodium hydrate is a novel small-molecule calcimimetic and has potential as a therapeutic agent for secondary hyperparathyroidism. We assessed the pharmacokinetics, pharmacodynamics, safety, and tolerability of a single intravenous dose of upacicalcet in Japanese healthy adults.</p><p><strong>Method: </strong>This was a single-center, double-blinded, randomized, placebo-controlled, dose-escalation study. For each cohort, eight subjects were randomly assigned at a ratio of 3:1 to receive a single injection of placebo or upacicalcet 0.01, 0.1, 1.0, or 2.5 mg.</p><p><strong>Result: </strong>The plasma concentration of upacicalcet increased in a dose-dependent manner. Upacicalcet rapidly disappeared from plasma after administration. The half-life of upacicalcet was approximately 1-2 h. The major excretion route of upacicalcet was via urine. Serum intact parathyroid hormone decreased in accordance with the upacicalcet dose, from the lowest dose of 0.01 mg. Gastrointestinal disorders occurred in one patient in the 1.0 mg group and in five patients in the 2.5 mg group. All adverse events were nonserious, and no symptomatic hypocalcemia occurred.</p><p><strong>Conclusion: </strong>This study showed that upacicalcet acted as a calcimimetic and was excreted in the urine unchanged with little metabolism. Moreover, upacicalcet is a small molecule and has a small volume of distribution. In addition, less than 50% of upacicalcet binds to human plasma proteins. These findings suggest that upacicalcet administered to patients undergoing hemodialysis might be expected to have a long excretion period and sustained pharmacological effect.</p>","PeriodicalId":11373,"journal":{"name":"Drugs in R & D","volume":" ","pages":"131-140"},"PeriodicalIF":0.0000,"publicationDate":"2022-06-01","publicationTypes":"Journal Article","fieldsOfStudy":null,"isOpenAccess":false,"openAccessPdf":"https://ftp.ncbi.nlm.nih.gov/pub/pmc/oa_pdf/e1/02/40268_2022_Article_385.PMC9167405.pdf","citationCount":"4","resultStr":"{\"title\":\"First-in-Human Phase I Study of the Novel Injectable Calcimimetic Agent Upacicalcet in Healthy Adult Japanese Participants.\",\"authors\":\"Fumihiko Koiwa,&nbsp;Rie Yazawa,&nbsp;Masafumi Fukagawa,&nbsp;Daisuke Honda,&nbsp;Tadao Akizawa\",\"doi\":\"10.1007/s40268-022-00385-4\",\"DOIUrl\":null,\"url\":null,\"abstract\":\"<p><strong>Background and objective: </strong>Upacicalcet sodium hydrate is a novel small-molecule calcimimetic and has potential as a therapeutic agent for secondary hyperparathyroidism. We assessed the pharmacokinetics, pharmacodynamics, safety, and tolerability of a single intravenous dose of upacicalcet in Japanese healthy adults.</p><p><strong>Method: </strong>This was a single-center, double-blinded, randomized, placebo-controlled, dose-escalation study. For each cohort, eight subjects were randomly assigned at a ratio of 3:1 to receive a single injection of placebo or upacicalcet 0.01, 0.1, 1.0, or 2.5 mg.</p><p><strong>Result: </strong>The plasma concentration of upacicalcet increased in a dose-dependent manner. Upacicalcet rapidly disappeared from plasma after administration. The half-life of upacicalcet was approximately 1-2 h. The major excretion route of upacicalcet was via urine. Serum intact parathyroid hormone decreased in accordance with the upacicalcet dose, from the lowest dose of 0.01 mg. Gastrointestinal disorders occurred in one patient in the 1.0 mg group and in five patients in the 2.5 mg group. All adverse events were nonserious, and no symptomatic hypocalcemia occurred.</p><p><strong>Conclusion: </strong>This study showed that upacicalcet acted as a calcimimetic and was excreted in the urine unchanged with little metabolism. Moreover, upacicalcet is a small molecule and has a small volume of distribution. In addition, less than 50% of upacicalcet binds to human plasma proteins. These findings suggest that upacicalcet administered to patients undergoing hemodialysis might be expected to have a long excretion period and sustained pharmacological effect.</p>\",\"PeriodicalId\":11373,\"journal\":{\"name\":\"Drugs in R & D\",\"volume\":\" \",\"pages\":\"131-140\"},\"PeriodicalIF\":0.0000,\"publicationDate\":\"2022-06-01\",\"publicationTypes\":\"Journal Article\",\"fieldsOfStudy\":null,\"isOpenAccess\":false,\"openAccessPdf\":\"https://ftp.ncbi.nlm.nih.gov/pub/pmc/oa_pdf/e1/02/40268_2022_Article_385.PMC9167405.pdf\",\"citationCount\":\"4\",\"resultStr\":null,\"platform\":\"Semanticscholar\",\"paperid\":null,\"PeriodicalName\":\"Drugs in R & D\",\"FirstCategoryId\":\"3\",\"ListUrlMain\":\"https://doi.org/10.1007/s40268-022-00385-4\",\"RegionNum\":0,\"RegionCategory\":null,\"ArticlePicture\":[],\"TitleCN\":null,\"AbstractTextCN\":null,\"PMCID\":null,\"EPubDate\":\"2022/3/25 0:00:00\",\"PubModel\":\"Epub\",\"JCR\":\"\",\"JCRName\":\"\",\"Score\":null,\"Total\":0}","platform":"Semanticscholar","paperid":null,"PeriodicalName":"Drugs in R & D","FirstCategoryId":"3","ListUrlMain":"https://doi.org/10.1007/s40268-022-00385-4","RegionNum":0,"RegionCategory":null,"ArticlePicture":[],"TitleCN":null,"AbstractTextCN":null,"PMCID":null,"EPubDate":"2022/3/25 0:00:00","PubModel":"Epub","JCR":"","JCRName":"","Score":null,"Total":0}
引用次数: 4

摘要

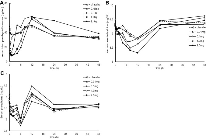
背景与目的:Upacicalcet sodium hydrate是一种新型的小分子拟钙化剂,具有治疗继发性甲状旁腺功能亢进的潜力。我们评估了日本健康成人单次静脉注射upacicalcet的药代动力学、药效学、安全性和耐受性。方法:这是一项单中心、双盲、随机、安慰剂对照、剂量递增的研究。在每个队列中,8名受试者按3:1的比例随机分配,接受单次注射安慰剂或upacicalcet 0.01、0.1、1.0或2.5 mg。结果:血药浓度呈剂量依赖性升高。给药后Upacicalcet迅速从血浆中消失。upacicalcet的半衰期约为1 ~ 2小时。upacicalcet主要通过尿液排泄。血清中完整甲状旁腺激素水平从最低剂量0.01 mg开始随剂量的增加而下降。1.0 mg组出现1例胃肠道疾病,2.5 mg组出现5例胃肠道疾病。所有不良事件均不严重,未发生症状性低钙血症。结论:本研究表明,升白荆具有拟钙化剂的作用,可随尿液排出,代谢少。此外,白藜芦醇是一种小分子,具有较小的体积分布。此外,upacicalcet能与人血浆蛋白结合的不到50%。这些结果表明,upacicalcet给予血液透析患者可能具有较长的排泄期和持续的药理作用。
本文章由计算机程序翻译,如有差异,请以英文原文为准。

First-in-Human Phase I Study of the Novel Injectable Calcimimetic Agent Upacicalcet in Healthy Adult Japanese Participants.

First-in-Human Phase I Study of the Novel Injectable Calcimimetic Agent Upacicalcet in Healthy Adult Japanese Participants.

First-in-Human Phase I Study of the Novel Injectable Calcimimetic Agent Upacicalcet in Healthy Adult Japanese Participants.

First-in-Human Phase I Study of the Novel Injectable Calcimimetic Agent Upacicalcet in Healthy Adult Japanese Participants.

Background and objective: Upacicalcet sodium hydrate is a novel small-molecule calcimimetic and has potential as a therapeutic agent for secondary hyperparathyroidism. We assessed the pharmacokinetics, pharmacodynamics, safety, and tolerability of a single intravenous dose of upacicalcet in Japanese healthy adults.

Method: This was a single-center, double-blinded, randomized, placebo-controlled, dose-escalation study. For each cohort, eight subjects were randomly assigned at a ratio of 3:1 to receive a single injection of placebo or upacicalcet 0.01, 0.1, 1.0, or 2.5 mg.

Result: The plasma concentration of upacicalcet increased in a dose-dependent manner. Upacicalcet rapidly disappeared from plasma after administration. The half-life of upacicalcet was approximately 1-2 h. The major excretion route of upacicalcet was via urine. Serum intact parathyroid hormone decreased in accordance with the upacicalcet dose, from the lowest dose of 0.01 mg. Gastrointestinal disorders occurred in one patient in the 1.0 mg group and in five patients in the 2.5 mg group. All adverse events were nonserious, and no symptomatic hypocalcemia occurred.

Conclusion: This study showed that upacicalcet acted as a calcimimetic and was excreted in the urine unchanged with little metabolism. Moreover, upacicalcet is a small molecule and has a small volume of distribution. In addition, less than 50% of upacicalcet binds to human plasma proteins. These findings suggest that upacicalcet administered to patients undergoing hemodialysis might be expected to have a long excretion period and sustained pharmacological effect.

求助全文
通过发布文献求助,成功后即可免费获取论文全文。 去求助
来源期刊
自引率
0.00%
发文量
0
×
引用
GB/T 7714-2015
复制
MLA
复制
APA
复制
导出至
BibTeX EndNote RefMan NoteFirst NoteExpress
×
提示
您的信息不完整,为了账户安全,请先补充。
现在去补充
×
提示
您因"违规操作"
具体请查看互助需知
我知道了
×
提示
确定
请完成安全验证×
copy
已复制链接
快去分享给好友吧!
我知道了
右上角分享
点击右上角分享
0
联系我们:info@booksci.cn Book学术提供免费学术资源搜索服务,方便国内外学者检索中英文文献。致力于提供最便捷和优质的服务体验。 Copyright © 2023 布克学术 All rights reserved.
京ICP备2023020795号-1
ghs 京公网安备 11010802042870号
Book学术文献互助
Book学术文献互助群
群 号:604180095
Book学术官方微信