利用心电图筛选败血症的深度学习模型。

Joon-Myoung Kwon, Ye Rang Lee, Min-Seung Jung, Yoon-Ji Lee, Yong-Yeon Jo, Da-Young Kang, Soo Youn Lee, Yong-Hyeon Cho, Jae-Hyun Shin, Jang-Hyeon Ban, Kyung-Hee Kim
{"title":"利用心电图筛选败血症的深度学习模型。","authors":"Joon-Myoung Kwon,&nbsp;Ye Rang Lee,&nbsp;Min-Seung Jung,&nbsp;Yoon-Ji Lee,&nbsp;Yong-Yeon Jo,&nbsp;Da-Young Kang,&nbsp;Soo Youn Lee,&nbsp;Yong-Hyeon Cho,&nbsp;Jae-Hyun Shin,&nbsp;Jang-Hyeon Ban,&nbsp;Kyung-Hee Kim","doi":"10.1186/s13049-021-00953-8","DOIUrl":null,"url":null,"abstract":"<p><strong>Background: </strong>Sepsis is a life-threatening organ dysfunction and a major healthcare burden worldwide. Although sepsis is a medical emergency that requires immediate management, screening for the occurrence of sepsis is difficult. Herein, we propose a deep learning-based model (DLM) for screening sepsis using electrocardiography (ECG).</p><p><strong>Methods: </strong>This retrospective cohort study included 46,017 patients who were admitted to two hospitals. A total of 1,548 and 639 patients had sepsis and septic shock, respectively. The DLM was developed using 73,727 ECGs from 18,142 patients, and internal validation was conducted using 7774 ECGs from 7,774 patients. Furthermore, we conducted an external validation with 20,101 ECGs from 20,101 patients from another hospital to verify the applicability of the DLM across centers.</p><p><strong>Results: </strong>During the internal and external validations, the area under the receiver operating characteristic curve (AUC) of the DLM using 12-lead ECG was 0.901 (95% confidence interval, 0.882-0.920) and 0.863 (0.846-0.879), respectively, for screening sepsis and 0.906 (95% confidence interval (CI), 0.877-0.936) and 0.899 (95% CI, 0.872-0.925), respectively, for detecting septic shock. The AUC of the DLM for detecting sepsis using 6-lead and single-lead ECGs was 0.845-0.882. A sensitivity map revealed that the QRS complex and T waves were associated with sepsis. Subgroup analysis was conducted using ECGs from 4,609 patients who were admitted with an infectious disease, and the AUC of the DLM for predicting in-hospital mortality was 0.817 (0.793-0.840). There was a significant difference in the prediction score of DLM using ECG according to the presence of infection in the validation dataset (0.277 vs. 0.574, p < 0.001), including severe acute respiratory syndrome coronavirus 2 (0.260 vs. 0.725, p = 0.018).</p><p><strong>Conclusions: </strong>The DLM delivered reasonable performance for sepsis screening using 12-, 6-, and single-lead ECGs. The results suggest that sepsis can be screened using not only conventional ECG devices but also diverse life-type ECG machines employing the DLM, thereby preventing irreversible disease progression and mortality.</p>","PeriodicalId":501057,"journal":{"name":"Scandinavian Journal of Trauma, Resuscitation and Emergency Medicine","volume":" ","pages":"145"},"PeriodicalIF":0.0000,"publicationDate":"2021-10-03","publicationTypes":"Journal Article","fieldsOfStudy":null,"isOpenAccess":false,"openAccessPdf":"https://www.ncbi.nlm.nih.gov/pmc/articles/PMC8487616/pdf/","citationCount":"10","resultStr":"{\"title\":\"Deep-learning model for screening sepsis using electrocardiography.\",\"authors\":\"Joon-Myoung Kwon,&nbsp;Ye Rang Lee,&nbsp;Min-Seung Jung,&nbsp;Yoon-Ji Lee,&nbsp;Yong-Yeon Jo,&nbsp;Da-Young Kang,&nbsp;Soo Youn Lee,&nbsp;Yong-Hyeon Cho,&nbsp;Jae-Hyun Shin,&nbsp;Jang-Hyeon Ban,&nbsp;Kyung-Hee Kim\",\"doi\":\"10.1186/s13049-021-00953-8\",\"DOIUrl\":null,\"url\":null,\"abstract\":\"<p><strong>Background: </strong>Sepsis is a life-threatening organ dysfunction and a major healthcare burden worldwide. Although sepsis is a medical emergency that requires immediate management, screening for the occurrence of sepsis is difficult. Herein, we propose a deep learning-based model (DLM) for screening sepsis using electrocardiography (ECG).</p><p><strong>Methods: </strong>This retrospective cohort study included 46,017 patients who were admitted to two hospitals. A total of 1,548 and 639 patients had sepsis and septic shock, respectively. The DLM was developed using 73,727 ECGs from 18,142 patients, and internal validation was conducted using 7774 ECGs from 7,774 patients. Furthermore, we conducted an external validation with 20,101 ECGs from 20,101 patients from another hospital to verify the applicability of the DLM across centers.</p><p><strong>Results: </strong>During the internal and external validations, the area under the receiver operating characteristic curve (AUC) of the DLM using 12-lead ECG was 0.901 (95% confidence interval, 0.882-0.920) and 0.863 (0.846-0.879), respectively, for screening sepsis and 0.906 (95% confidence interval (CI), 0.877-0.936) and 0.899 (95% CI, 0.872-0.925), respectively, for detecting septic shock. The AUC of the DLM for detecting sepsis using 6-lead and single-lead ECGs was 0.845-0.882. A sensitivity map revealed that the QRS complex and T waves were associated with sepsis. Subgroup analysis was conducted using ECGs from 4,609 patients who were admitted with an infectious disease, and the AUC of the DLM for predicting in-hospital mortality was 0.817 (0.793-0.840). There was a significant difference in the prediction score of DLM using ECG according to the presence of infection in the validation dataset (0.277 vs. 0.574, p < 0.001), including severe acute respiratory syndrome coronavirus 2 (0.260 vs. 0.725, p = 0.018).</p><p><strong>Conclusions: </strong>The DLM delivered reasonable performance for sepsis screening using 12-, 6-, and single-lead ECGs. The results suggest that sepsis can be screened using not only conventional ECG devices but also diverse life-type ECG machines employing the DLM, thereby preventing irreversible disease progression and mortality.</p>\",\"PeriodicalId\":501057,\"journal\":{\"name\":\"Scandinavian Journal of Trauma, Resuscitation and Emergency Medicine\",\"volume\":\" \",\"pages\":\"145\"},\"PeriodicalIF\":0.0000,\"publicationDate\":\"2021-10-03\",\"publicationTypes\":\"Journal Article\",\"fieldsOfStudy\":null,\"isOpenAccess\":false,\"openAccessPdf\":\"https://www.ncbi.nlm.nih.gov/pmc/articles/PMC8487616/pdf/\",\"citationCount\":\"10\",\"resultStr\":null,\"platform\":\"Semanticscholar\",\"paperid\":null,\"PeriodicalName\":\"Scandinavian Journal of Trauma, Resuscitation and Emergency Medicine\",\"FirstCategoryId\":\"3\",\"ListUrlMain\":\"https://doi.org/10.1186/s13049-021-00953-8\",\"RegionNum\":0,\"RegionCategory\":null,\"ArticlePicture\":[],\"TitleCN\":null,\"AbstractTextCN\":null,\"PMCID\":null,\"EPubDate\":\"\",\"PubModel\":\"\",\"JCR\":\"\",\"JCRName\":\"\",\"Score\":null,\"Total\":0}","platform":"Semanticscholar","paperid":null,"PeriodicalName":"Scandinavian Journal of Trauma, Resuscitation and Emergency Medicine","FirstCategoryId":"3","ListUrlMain":"https://doi.org/10.1186/s13049-021-00953-8","RegionNum":0,"RegionCategory":null,"ArticlePicture":[],"TitleCN":null,"AbstractTextCN":null,"PMCID":null,"EPubDate":"","PubModel":"","JCR":"","JCRName":"","Score":null,"Total":0}
引用次数: 10

摘要

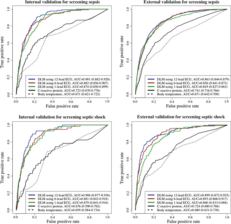
背景:脓毒症是一种危及生命的器官功能障碍,也是世界范围内主要的医疗负担。虽然败血症是一种需要立即处理的医疗紧急情况,但筛查败血症的发生是困难的。在此,我们提出了一种基于深度学习的模型(DLM),用于使用心电图(ECG)筛查脓毒症。方法:本回顾性队列研究纳入了两家医院的46,017例患者。共有1548例脓毒症和639例脓毒症休克。DLM的开发使用了来自18142名患者的73727张心电图,内部验证使用了来自7774名患者的7774张心电图。此外,我们对来自另一家医院的20101名患者的20101张心电图进行了外部验证,以验证DLM在各中心的适用性。结果:内外验证时,12导联心电图DLM筛查脓毒症的受试者工作特征曲线下面积(AUC)分别为0.901(95%可信区间0.882 ~ 0.920)和0.863(0.846 ~ 0.879),检测脓毒症休克的受试者工作特征曲线下面积(AUC)分别为0.906(95%可信区间0.877 ~ 0.936)和0.899(95%可信区间0.872 ~ 0.925)。6导联和单导联心电图DLM检测脓毒症的AUC为0.845 ~ 0.882。敏感性图显示QRS复合物和T波与脓毒症有关。对4609例感染性疾病住院患者的心电图进行亚组分析,DLM预测住院死亡率的AUC为0.817(0.793-0.840)。根据验证数据集中是否存在感染,使用ECG对DLM的预测评分存在显著差异(0.277 vs 0.574, p)。结论:使用12导联、6导联和单导联心电图进行脓毒症筛查时,DLM提供了合理的性能。结果表明,脓毒症不仅可以使用传统的ECG设备,还可以使用多种采用DLM的生命型ECG机进行筛查,从而预防不可逆转的疾病进展和死亡。
本文章由计算机程序翻译,如有差异,请以英文原文为准。

Deep-learning model for screening sepsis using electrocardiography.

Deep-learning model for screening sepsis using electrocardiography.

Deep-learning model for screening sepsis using electrocardiography.

Deep-learning model for screening sepsis using electrocardiography.

Background: Sepsis is a life-threatening organ dysfunction and a major healthcare burden worldwide. Although sepsis is a medical emergency that requires immediate management, screening for the occurrence of sepsis is difficult. Herein, we propose a deep learning-based model (DLM) for screening sepsis using electrocardiography (ECG).

Methods: This retrospective cohort study included 46,017 patients who were admitted to two hospitals. A total of 1,548 and 639 patients had sepsis and septic shock, respectively. The DLM was developed using 73,727 ECGs from 18,142 patients, and internal validation was conducted using 7774 ECGs from 7,774 patients. Furthermore, we conducted an external validation with 20,101 ECGs from 20,101 patients from another hospital to verify the applicability of the DLM across centers.

Results: During the internal and external validations, the area under the receiver operating characteristic curve (AUC) of the DLM using 12-lead ECG was 0.901 (95% confidence interval, 0.882-0.920) and 0.863 (0.846-0.879), respectively, for screening sepsis and 0.906 (95% confidence interval (CI), 0.877-0.936) and 0.899 (95% CI, 0.872-0.925), respectively, for detecting septic shock. The AUC of the DLM for detecting sepsis using 6-lead and single-lead ECGs was 0.845-0.882. A sensitivity map revealed that the QRS complex and T waves were associated with sepsis. Subgroup analysis was conducted using ECGs from 4,609 patients who were admitted with an infectious disease, and the AUC of the DLM for predicting in-hospital mortality was 0.817 (0.793-0.840). There was a significant difference in the prediction score of DLM using ECG according to the presence of infection in the validation dataset (0.277 vs. 0.574, p < 0.001), including severe acute respiratory syndrome coronavirus 2 (0.260 vs. 0.725, p = 0.018).

Conclusions: The DLM delivered reasonable performance for sepsis screening using 12-, 6-, and single-lead ECGs. The results suggest that sepsis can be screened using not only conventional ECG devices but also diverse life-type ECG machines employing the DLM, thereby preventing irreversible disease progression and mortality.

求助全文
通过发布文献求助,成功后即可免费获取论文全文。 去求助
来源期刊
自引率
0.00%
发文量
0
×
引用
GB/T 7714-2015
复制
MLA
复制
APA
复制
导出至
BibTeX EndNote RefMan NoteFirst NoteExpress
×
提示
您的信息不完整,为了账户安全,请先补充。
现在去补充
×
提示
您因"违规操作"
具体请查看互助需知
我知道了
×
提示
确定
请完成安全验证×
copy
已复制链接
快去分享给好友吧!
我知道了
右上角分享
点击右上角分享
0
联系我们:info@booksci.cn Book学术提供免费学术资源搜索服务,方便国内外学者检索中英文文献。致力于提供最便捷和优质的服务体验。 Copyright © 2023 布克学术 All rights reserved.
京ICP备2023020795号-1
ghs 京公网安备 11010802042870号
Book学术文献互助
Book学术文献互助群
群 号:604180095
Book学术官方微信