压力与健康关系的有益机制:连贯性感的中介和调节作用——修正。

Shauna L Rohner, Florence Bernays, Andreas Maercker, Myriam V Thoma
{"title":"压力与健康关系的有益机制:连贯性感的中介和调节作用——修正。","authors":"Shauna L Rohner,&nbsp;Florence Bernays,&nbsp;Andreas Maercker,&nbsp;Myriam V Thoma","doi":"10.1002/smi.3093","DOIUrl":null,"url":null,"abstract":"<p><p>While chronic and acute stress are often associated with negative health, the sense of coherence-revised (SOC-R) is proposed to facilitate coping with stress and promote health. However, research is lacking on the specific mechanisms. Therefore, the current study aimed to investigate potential mediating and moderating mechanisms of SOC-R in the relationship between stress and health. Using a cross-sectional design, standardized questionnaires assessed SOC-R, acute (perceived) stress, early-life adversity (ELA; indicator for early-life chronic stress), mental and physical health, and satisfaction with life. Mediation and moderation analyses were conducted with N = 531 Irish adults (mean age: 59.5 years; 58.4% female). Regarding acute (perceived) stress, results showed that SOC-R and its Manageability subscale significantly mediated the association between perceived stress and mental health, and satisfaction with life. SOC-R and its Manageability subscale also significantly moderated the association between perceived stress and mental health. Regarding ELA, the Manageability subscale significantly mediated the association between ELA and mental health, and satisfaction with life; and the Balance subscale significantly mediated the association between ELA and physical health. SOC-R may provide a useful focus for stress-related research, with future longitudinal studies needed to examine SOC-R as a long-term modulating pathway between stress and health.</p>","PeriodicalId":309674,"journal":{"name":"Stress and health : journal of the International Society for the Investigation of Stress","volume":" ","pages":"388-401"},"PeriodicalIF":0.0000,"publicationDate":"2022-04-01","publicationTypes":"Journal Article","fieldsOfStudy":null,"isOpenAccess":false,"openAccessPdf":"https://sci-hub-pdf.com/10.1002/smi.3093","citationCount":"2","resultStr":"{\"title\":\"Salutary mechanisms in the relationship between stress and health: The mediating and moderating roles of Sense of Coherence-Revised.\",\"authors\":\"Shauna L Rohner,&nbsp;Florence Bernays,&nbsp;Andreas Maercker,&nbsp;Myriam V Thoma\",\"doi\":\"10.1002/smi.3093\",\"DOIUrl\":null,\"url\":null,\"abstract\":\"<p><p>While chronic and acute stress are often associated with negative health, the sense of coherence-revised (SOC-R) is proposed to facilitate coping with stress and promote health. However, research is lacking on the specific mechanisms. Therefore, the current study aimed to investigate potential mediating and moderating mechanisms of SOC-R in the relationship between stress and health. Using a cross-sectional design, standardized questionnaires assessed SOC-R, acute (perceived) stress, early-life adversity (ELA; indicator for early-life chronic stress), mental and physical health, and satisfaction with life. Mediation and moderation analyses were conducted with N = 531 Irish adults (mean age: 59.5 years; 58.4% female). Regarding acute (perceived) stress, results showed that SOC-R and its Manageability subscale significantly mediated the association between perceived stress and mental health, and satisfaction with life. SOC-R and its Manageability subscale also significantly moderated the association between perceived stress and mental health. Regarding ELA, the Manageability subscale significantly mediated the association between ELA and mental health, and satisfaction with life; and the Balance subscale significantly mediated the association between ELA and physical health. SOC-R may provide a useful focus for stress-related research, with future longitudinal studies needed to examine SOC-R as a long-term modulating pathway between stress and health.</p>\",\"PeriodicalId\":309674,\"journal\":{\"name\":\"Stress and health : journal of the International Society for the Investigation of Stress\",\"volume\":\" \",\"pages\":\"388-401\"},\"PeriodicalIF\":0.0000,\"publicationDate\":\"2022-04-01\",\"publicationTypes\":\"Journal Article\",\"fieldsOfStudy\":null,\"isOpenAccess\":false,\"openAccessPdf\":\"https://sci-hub-pdf.com/10.1002/smi.3093\",\"citationCount\":\"2\",\"resultStr\":null,\"platform\":\"Semanticscholar\",\"paperid\":null,\"PeriodicalName\":\"Stress and health : journal of the International Society for the Investigation of Stress\",\"FirstCategoryId\":\"3\",\"ListUrlMain\":\"https://doi.org/10.1002/smi.3093\",\"RegionNum\":0,\"RegionCategory\":null,\"ArticlePicture\":[],\"TitleCN\":null,\"AbstractTextCN\":null,\"PMCID\":null,\"EPubDate\":\"2021/9/17 0:00:00\",\"PubModel\":\"Epub\",\"JCR\":\"\",\"JCRName\":\"\",\"Score\":null,\"Total\":0}","platform":"Semanticscholar","paperid":null,"PeriodicalName":"Stress and health : journal of the International Society for the Investigation of Stress","FirstCategoryId":"3","ListUrlMain":"https://doi.org/10.1002/smi.3093","RegionNum":0,"RegionCategory":null,"ArticlePicture":[],"TitleCN":null,"AbstractTextCN":null,"PMCID":null,"EPubDate":"2021/9/17 0:00:00","PubModel":"Epub","JCR":"","JCRName":"","Score":null,"Total":0}
引用次数: 2

摘要

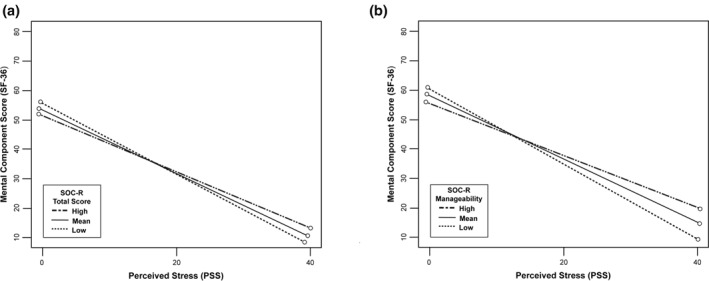
慢性和急性压力通常与负面健康有关,提出了连贯性修正感(SOC-R),以促进应对压力和促进健康。然而,对其具体机制的研究尚缺乏。因此,本研究旨在探讨SOC-R在应激与健康关系中的潜在中介和调节机制。采用横断面设计,标准化问卷评估SOC-R、急性(感知)压力、早期生活逆境(ELA;早期生活慢性压力、身心健康和生活满意度的指标。对N = 531名爱尔兰成年人(平均年龄:59.5岁;58.4%的女性)。在急性(感知)压力方面,结果显示SOC-R及其可管理性分量表在感知压力与心理健康和生活满意度之间具有显著的中介作用。SOC-R及其可管理性分量表也显著调节了感知压力与心理健康之间的关联。在ELA方面,可管理性分量表在ELA与心理健康、生活满意度之间具有显著中介作用;平衡分量表显著介导ELA与身体健康之间的关系。SOC-R可能为压力相关研究提供一个有用的焦点,未来的纵向研究需要检验SOC-R作为压力与健康之间的长期调节途径。
本文章由计算机程序翻译,如有差异,请以英文原文为准。

Salutary mechanisms in the relationship between stress and health: The mediating and moderating roles of Sense of Coherence-Revised.

Salutary mechanisms in the relationship between stress and health: The mediating and moderating roles of Sense of Coherence-Revised.

Salutary mechanisms in the relationship between stress and health: The mediating and moderating roles of Sense of Coherence-Revised.

Salutary mechanisms in the relationship between stress and health: The mediating and moderating roles of Sense of Coherence-Revised.

While chronic and acute stress are often associated with negative health, the sense of coherence-revised (SOC-R) is proposed to facilitate coping with stress and promote health. However, research is lacking on the specific mechanisms. Therefore, the current study aimed to investigate potential mediating and moderating mechanisms of SOC-R in the relationship between stress and health. Using a cross-sectional design, standardized questionnaires assessed SOC-R, acute (perceived) stress, early-life adversity (ELA; indicator for early-life chronic stress), mental and physical health, and satisfaction with life. Mediation and moderation analyses were conducted with N = 531 Irish adults (mean age: 59.5 years; 58.4% female). Regarding acute (perceived) stress, results showed that SOC-R and its Manageability subscale significantly mediated the association between perceived stress and mental health, and satisfaction with life. SOC-R and its Manageability subscale also significantly moderated the association between perceived stress and mental health. Regarding ELA, the Manageability subscale significantly mediated the association between ELA and mental health, and satisfaction with life; and the Balance subscale significantly mediated the association between ELA and physical health. SOC-R may provide a useful focus for stress-related research, with future longitudinal studies needed to examine SOC-R as a long-term modulating pathway between stress and health.

求助全文
通过发布文献求助,成功后即可免费获取论文全文。 去求助
来源期刊
自引率
0.00%
发文量
0
×
引用
GB/T 7714-2015
复制
MLA
复制
APA
复制
导出至
BibTeX EndNote RefMan NoteFirst NoteExpress
×
提示
您的信息不完整,为了账户安全,请先补充。
现在去补充
×
提示
您因"违规操作"
具体请查看互助需知
我知道了
×
提示
确定
请完成安全验证×
copy
已复制链接
快去分享给好友吧!
我知道了
右上角分享
点击右上角分享
0
联系我们:info@booksci.cn Book学术提供免费学术资源搜索服务,方便国内外学者检索中英文文献。致力于提供最便捷和优质的服务体验。 Copyright © 2023 布克学术 All rights reserved.
京ICP备2023020795号-1
ghs 京公网安备 11010802042870号
Book学术文献互助
Book学术文献互助群
群 号:604180095
Book学术官方微信