c反应蛋白在患者风险分层和治疗中的作用。

European cardiology Pub Date : 2021-07-07 eCollection Date: 2021-02-01 DOI:10.15420/ecr.2020.49
Ramón Arroyo-Espliguero, María C Viana-Llamas, Alberto Silva-Obregón, Pablo Avanzas
{"title":"c反应蛋白在患者风险分层和治疗中的作用。","authors":"Ramón Arroyo-Espliguero,&nbsp;María C Viana-Llamas,&nbsp;Alberto Silva-Obregón,&nbsp;Pablo Avanzas","doi":"10.15420/ecr.2020.49","DOIUrl":null,"url":null,"abstract":"<p><p>Atherosclerosis is a chronic inflammatory disease. Several circulating inflammatory markers have been proposed for clinical use due to their ability to predict future cardiovascular events and may be useful for identifying people at high risk who might benefit from specific treatment to reduce this risk. Moreover, the identification of new therapeutic targets will allow the development of drugs that can help reduce the high residual risk of recurrence of cardiovascular events in patients with coronary artery disease. The clinical benefits of reducing recurrent major cardiovascular events recently shown by canakinumab and colchicine have renewed the cardiology community's interest in inflammation as an aetiopathogenic mechanism for atherosclerosis. This review explores the use of C-reactive protein, which is the most frequently studied biomarker in this context; the concept of residual risk in primary and secondary cardiovascular prevention; and the current recommendations in international guidelines regarding the role of this inflammatory biomarker in cardiovascular risk stratification.</p>","PeriodicalId":93994,"journal":{"name":"European cardiology","volume":" ","pages":"e28"},"PeriodicalIF":0.0000,"publicationDate":"2021-07-07","publicationTypes":"Journal Article","fieldsOfStudy":null,"isOpenAccess":false,"openAccessPdf":"https://ftp.ncbi.nlm.nih.gov/pub/pmc/oa_pdf/68/52/ecr-16-e28.PMC8280753.pdf","citationCount":"6","resultStr":"{\"title\":\"The Role of C-reactive Protein in Patient Risk Stratification and Treatment.\",\"authors\":\"Ramón Arroyo-Espliguero,&nbsp;María C Viana-Llamas,&nbsp;Alberto Silva-Obregón,&nbsp;Pablo Avanzas\",\"doi\":\"10.15420/ecr.2020.49\",\"DOIUrl\":null,\"url\":null,\"abstract\":\"<p><p>Atherosclerosis is a chronic inflammatory disease. Several circulating inflammatory markers have been proposed for clinical use due to their ability to predict future cardiovascular events and may be useful for identifying people at high risk who might benefit from specific treatment to reduce this risk. Moreover, the identification of new therapeutic targets will allow the development of drugs that can help reduce the high residual risk of recurrence of cardiovascular events in patients with coronary artery disease. The clinical benefits of reducing recurrent major cardiovascular events recently shown by canakinumab and colchicine have renewed the cardiology community's interest in inflammation as an aetiopathogenic mechanism for atherosclerosis. This review explores the use of C-reactive protein, which is the most frequently studied biomarker in this context; the concept of residual risk in primary and secondary cardiovascular prevention; and the current recommendations in international guidelines regarding the role of this inflammatory biomarker in cardiovascular risk stratification.</p>\",\"PeriodicalId\":93994,\"journal\":{\"name\":\"European cardiology\",\"volume\":\" \",\"pages\":\"e28\"},\"PeriodicalIF\":0.0000,\"publicationDate\":\"2021-07-07\",\"publicationTypes\":\"Journal Article\",\"fieldsOfStudy\":null,\"isOpenAccess\":false,\"openAccessPdf\":\"https://ftp.ncbi.nlm.nih.gov/pub/pmc/oa_pdf/68/52/ecr-16-e28.PMC8280753.pdf\",\"citationCount\":\"6\",\"resultStr\":null,\"platform\":\"Semanticscholar\",\"paperid\":null,\"PeriodicalName\":\"European cardiology\",\"FirstCategoryId\":\"1085\",\"ListUrlMain\":\"https://doi.org/10.15420/ecr.2020.49\",\"RegionNum\":0,\"RegionCategory\":null,\"ArticlePicture\":[],\"TitleCN\":null,\"AbstractTextCN\":null,\"PMCID\":null,\"EPubDate\":\"2021/2/1 0:00:00\",\"PubModel\":\"eCollection\",\"JCR\":\"\",\"JCRName\":\"\",\"Score\":null,\"Total\":0}","platform":"Semanticscholar","paperid":null,"PeriodicalName":"European cardiology","FirstCategoryId":"1085","ListUrlMain":"https://doi.org/10.15420/ecr.2020.49","RegionNum":0,"RegionCategory":null,"ArticlePicture":[],"TitleCN":null,"AbstractTextCN":null,"PMCID":null,"EPubDate":"2021/2/1 0:00:00","PubModel":"eCollection","JCR":"","JCRName":"","Score":null,"Total":0}
引用次数: 6

摘要

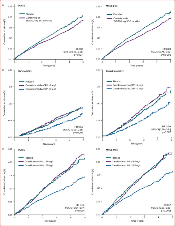
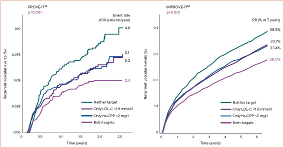
动脉粥样硬化是一种慢性炎性疾病。由于能够预测未来的心血管事件,一些循环炎症标志物已被提出用于临床应用,并且可能有助于识别可能受益于特定治疗以降低这种风险的高危人群。此外,确定新的治疗靶点将有助于开发药物,帮助降低冠状动脉疾病患者心血管事件复发的高残留风险。canakinumab和秋水仙碱最近显示的减少复发性主要心血管事件的临床益处,重新引起了心脏病学界对炎症作为动脉粥样硬化的一种病因机制的兴趣。这篇综述探讨了c反应蛋白的使用,这是在这种情况下最常研究的生物标志物;心血管一级和二级预防中剩余风险的概念目前国际指南中关于这种炎症生物标志物在心血管风险分层中的作用的建议。
本文章由计算机程序翻译,如有差异,请以英文原文为准。

The Role of C-reactive Protein in Patient Risk Stratification and Treatment.

The Role of C-reactive Protein in Patient Risk Stratification and Treatment.

The Role of C-reactive Protein in Patient Risk Stratification and Treatment.

The Role of C-reactive Protein in Patient Risk Stratification and Treatment.

Atherosclerosis is a chronic inflammatory disease. Several circulating inflammatory markers have been proposed for clinical use due to their ability to predict future cardiovascular events and may be useful for identifying people at high risk who might benefit from specific treatment to reduce this risk. Moreover, the identification of new therapeutic targets will allow the development of drugs that can help reduce the high residual risk of recurrence of cardiovascular events in patients with coronary artery disease. The clinical benefits of reducing recurrent major cardiovascular events recently shown by canakinumab and colchicine have renewed the cardiology community's interest in inflammation as an aetiopathogenic mechanism for atherosclerosis. This review explores the use of C-reactive protein, which is the most frequently studied biomarker in this context; the concept of residual risk in primary and secondary cardiovascular prevention; and the current recommendations in international guidelines regarding the role of this inflammatory biomarker in cardiovascular risk stratification.

求助全文
通过发布文献求助,成功后即可免费获取论文全文。 去求助
来源期刊
自引率
0.00%
发文量
0
×
引用
GB/T 7714-2015
复制
MLA
复制
APA
复制
导出至
BibTeX EndNote RefMan NoteFirst NoteExpress
×
提示
您的信息不完整,为了账户安全,请先补充。
现在去补充
×
提示
您因"违规操作"
具体请查看互助需知
我知道了
×
提示
确定
请完成安全验证×
copy
已复制链接
快去分享给好友吧!
我知道了
右上角分享
点击右上角分享
0
联系我们:info@booksci.cn Book学术提供免费学术资源搜索服务,方便国内外学者检索中英文文献。致力于提供最便捷和优质的服务体验。 Copyright © 2023 布克学术 All rights reserved.
京ICP备2023020795号-1
ghs 京公网安备 11010802042870号
Book学术文献互助
Book学术文献互助群
群 号:604180095
Book学术官方微信