了解首次精神病发作后长期结果的性别差异。

IF 5.7 2区 医学 Q1 PSYCHIATRY
Rosa Ayesa-Arriola, Víctor Ortíz-García de la Foz, Esther Setién-Suero, María Luz Ramírez-Bonilla, Paula Suárez-Pinilla, Jacqueline Mayoral-van Son, Javier Vázquez-Bourgon, María Juncal-Ruiz, Marcos Gómez-Revuelta, Diana Tordesillas-Gutiérrez, Benedicto Crespo-Facorro
{"title":"了解首次精神病发作后长期结果的性别差异。","authors":"Rosa Ayesa-Arriola,&nbsp;Víctor Ortíz-García de la Foz,&nbsp;Esther Setién-Suero,&nbsp;María Luz Ramírez-Bonilla,&nbsp;Paula Suárez-Pinilla,&nbsp;Jacqueline Mayoral-van Son,&nbsp;Javier Vázquez-Bourgon,&nbsp;María Juncal-Ruiz,&nbsp;Marcos Gómez-Revuelta,&nbsp;Diana Tordesillas-Gutiérrez,&nbsp;Benedicto Crespo-Facorro","doi":"10.1038/s41537-020-00120-5","DOIUrl":null,"url":null,"abstract":"<p><p>While sex differences in schizophrenia have long been reported and discussed, long-term sex differences in outcomes among first episode of psychosis (FEP) patients in terms of the efficacy of Early Intervention Services (EIS) has been an under-explored area. A total of 209 FEP patients (95 females and 114 males) were reassessed after a time window ranging from 8 to 16 years after their first contact with an EIS program (PAFIP) that we will call the 10-year PAFIP cohort. Multiple clinical, cognitive, functioning, premorbid, and sociodemographic variables were explored at 1-year, 3-year and 10-year follow-ups. At first contact, females were older at illness onset, had higher premorbid adjustment and IQ, and were more frequently employed, living independently, and accompanied by a partner and/or children. Existence of a schizophrenia diagnosis, and cannabis and alcohol consumption were more probable among men. During the first 3 years, women showed a significantly better response to minimal antipsychotic dosages and higher rates of recovery than men (50% vs. 30.8%). Ten years later, more females continued living independently and had partners, while schizophrenia diagnoses and cannabis consumption continued to be more frequent among men. Females also presented a lower severity of negative symptoms; however, functionality and recovery differences did not show significant differences (46.7% vs. 34.4%). Between the 3- and 10-year follow-up sessions, an increase in dosage of antipsychotics was observed. These results suggest that the better outcomes seen among women during the first 3 years (while they were treated in an EIS) were in the presence of more favourable premorbid and baseline characteristics. After an average period of 10 years, with the only difference being in negative symptoms course, outcomes for women approximated those of men, drawing particular attention to the increase in dosage of antipsychotic medication once FEP patients were discharged from the EIS program towards community-based services. These findings help to pose the question of whether it is advisable to target sexes and lengthen EIS interventions.</p>","PeriodicalId":19328,"journal":{"name":"NPJ Schizophrenia","volume":" ","pages":"33"},"PeriodicalIF":5.7000,"publicationDate":"2020-11-20","publicationTypes":"Journal Article","fieldsOfStudy":null,"isOpenAccess":false,"openAccessPdf":"https://sci-hub-pdf.com/10.1038/s41537-020-00120-5","citationCount":"26","resultStr":"{\"title\":\"Understanding sex differences in long-term outcomes after a first episode of psychosis.\",\"authors\":\"Rosa Ayesa-Arriola,&nbsp;Víctor Ortíz-García de la Foz,&nbsp;Esther Setién-Suero,&nbsp;María Luz Ramírez-Bonilla,&nbsp;Paula Suárez-Pinilla,&nbsp;Jacqueline Mayoral-van Son,&nbsp;Javier Vázquez-Bourgon,&nbsp;María Juncal-Ruiz,&nbsp;Marcos Gómez-Revuelta,&nbsp;Diana Tordesillas-Gutiérrez,&nbsp;Benedicto Crespo-Facorro\",\"doi\":\"10.1038/s41537-020-00120-5\",\"DOIUrl\":null,\"url\":null,\"abstract\":\"<p><p>While sex differences in schizophrenia have long been reported and discussed, long-term sex differences in outcomes among first episode of psychosis (FEP) patients in terms of the efficacy of Early Intervention Services (EIS) has been an under-explored area. A total of 209 FEP patients (95 females and 114 males) were reassessed after a time window ranging from 8 to 16 years after their first contact with an EIS program (PAFIP) that we will call the 10-year PAFIP cohort. Multiple clinical, cognitive, functioning, premorbid, and sociodemographic variables were explored at 1-year, 3-year and 10-year follow-ups. At first contact, females were older at illness onset, had higher premorbid adjustment and IQ, and were more frequently employed, living independently, and accompanied by a partner and/or children. Existence of a schizophrenia diagnosis, and cannabis and alcohol consumption were more probable among men. During the first 3 years, women showed a significantly better response to minimal antipsychotic dosages and higher rates of recovery than men (50% vs. 30.8%). Ten years later, more females continued living independently and had partners, while schizophrenia diagnoses and cannabis consumption continued to be more frequent among men. Females also presented a lower severity of negative symptoms; however, functionality and recovery differences did not show significant differences (46.7% vs. 34.4%). Between the 3- and 10-year follow-up sessions, an increase in dosage of antipsychotics was observed. These results suggest that the better outcomes seen among women during the first 3 years (while they were treated in an EIS) were in the presence of more favourable premorbid and baseline characteristics. After an average period of 10 years, with the only difference being in negative symptoms course, outcomes for women approximated those of men, drawing particular attention to the increase in dosage of antipsychotic medication once FEP patients were discharged from the EIS program towards community-based services. These findings help to pose the question of whether it is advisable to target sexes and lengthen EIS interventions.</p>\",\"PeriodicalId\":19328,\"journal\":{\"name\":\"NPJ Schizophrenia\",\"volume\":\" \",\"pages\":\"33\"},\"PeriodicalIF\":5.7000,\"publicationDate\":\"2020-11-20\",\"publicationTypes\":\"Journal Article\",\"fieldsOfStudy\":null,\"isOpenAccess\":false,\"openAccessPdf\":\"https://sci-hub-pdf.com/10.1038/s41537-020-00120-5\",\"citationCount\":\"26\",\"resultStr\":null,\"platform\":\"Semanticscholar\",\"paperid\":null,\"PeriodicalName\":\"NPJ Schizophrenia\",\"FirstCategoryId\":\"3\",\"ListUrlMain\":\"https://doi.org/10.1038/s41537-020-00120-5\",\"RegionNum\":2,\"RegionCategory\":\"医学\",\"ArticlePicture\":[],\"TitleCN\":null,\"AbstractTextCN\":null,\"PMCID\":null,\"EPubDate\":\"\",\"PubModel\":\"\",\"JCR\":\"Q1\",\"JCRName\":\"PSYCHIATRY\",\"Score\":null,\"Total\":0}","platform":"Semanticscholar","paperid":null,"PeriodicalName":"NPJ Schizophrenia","FirstCategoryId":"3","ListUrlMain":"https://doi.org/10.1038/s41537-020-00120-5","RegionNum":2,"RegionCategory":"医学","ArticlePicture":[],"TitleCN":null,"AbstractTextCN":null,"PMCID":null,"EPubDate":"","PubModel":"","JCR":"Q1","JCRName":"PSYCHIATRY","Score":null,"Total":0}
引用次数: 26

摘要

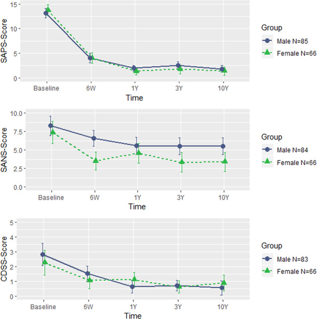
虽然精神分裂症的性别差异早已被报道和讨论,但就早期干预服务(EIS)的疗效而言,首发精神病(FEP)患者预后的长期性别差异一直是一个未被探索的领域。209例FEP患者(95名女性和114名男性)在首次接触EIS项目(PAFIP)后的8至16年的时间窗(我们称之为10年PAFIP队列)后进行了重新评估。在1年、3年和10年的随访中,研究了多种临床、认知、功能、病前和社会人口学变量。初次接触时,女性发病年龄较大,有较高的病前适应能力和智商,更频繁地就业,独立生活,并有伴侣和/或子女陪伴。存在精神分裂症诊断,大麻和酒精消费在男性中更有可能。在前3年,女性对最小抗精神病药物剂量的反应明显好于男性,康复率也比男性高(50%对30.8%)。十年后,更多的女性继续独立生活并有伴侣,而精神分裂症诊断和大麻消费在男性中仍然更频繁。女性阴性症状的严重程度也较低;然而,功能和恢复差异无显著性差异(46.7% vs. 34.4%)。在3年至10年的随访期间,观察到抗精神病药物的剂量增加。这些结果表明,妇女在前3年(在EIS治疗期间)的较好结果是存在更有利的发病前和基线特征。在平均10年之后,唯一的区别是阴性症状过程,女性的结果与男性接近,特别值得注意的是,一旦FEP患者从EIS项目出院,转向社区服务,抗精神病药物的剂量就会增加。这些发现有助于提出一个问题,即针对性别和延长EIS干预是否可取。
本文章由计算机程序翻译,如有差异,请以英文原文为准。

Understanding sex differences in long-term outcomes after a first episode of psychosis.

Understanding sex differences in long-term outcomes after a first episode of psychosis.

Understanding sex differences in long-term outcomes after a first episode of psychosis.

Understanding sex differences in long-term outcomes after a first episode of psychosis.

While sex differences in schizophrenia have long been reported and discussed, long-term sex differences in outcomes among first episode of psychosis (FEP) patients in terms of the efficacy of Early Intervention Services (EIS) has been an under-explored area. A total of 209 FEP patients (95 females and 114 males) were reassessed after a time window ranging from 8 to 16 years after their first contact with an EIS program (PAFIP) that we will call the 10-year PAFIP cohort. Multiple clinical, cognitive, functioning, premorbid, and sociodemographic variables were explored at 1-year, 3-year and 10-year follow-ups. At first contact, females were older at illness onset, had higher premorbid adjustment and IQ, and were more frequently employed, living independently, and accompanied by a partner and/or children. Existence of a schizophrenia diagnosis, and cannabis and alcohol consumption were more probable among men. During the first 3 years, women showed a significantly better response to minimal antipsychotic dosages and higher rates of recovery than men (50% vs. 30.8%). Ten years later, more females continued living independently and had partners, while schizophrenia diagnoses and cannabis consumption continued to be more frequent among men. Females also presented a lower severity of negative symptoms; however, functionality and recovery differences did not show significant differences (46.7% vs. 34.4%). Between the 3- and 10-year follow-up sessions, an increase in dosage of antipsychotics was observed. These results suggest that the better outcomes seen among women during the first 3 years (while they were treated in an EIS) were in the presence of more favourable premorbid and baseline characteristics. After an average period of 10 years, with the only difference being in negative symptoms course, outcomes for women approximated those of men, drawing particular attention to the increase in dosage of antipsychotic medication once FEP patients were discharged from the EIS program towards community-based services. These findings help to pose the question of whether it is advisable to target sexes and lengthen EIS interventions.

求助全文
通过发布文献求助,成功后即可免费获取论文全文。 去求助
来源期刊
NPJ Schizophrenia
NPJ Schizophrenia Medicine-Psychiatry and Mental Health
CiteScore
6.30
自引率
0.00%
发文量
44
审稿时长
15 weeks
期刊介绍: npj Schizophrenia is an international, peer-reviewed journal that aims to publish high-quality original papers and review articles relevant to all aspects of schizophrenia and psychosis, from molecular and basic research through environmental or social research, to translational and treatment-related topics. npj Schizophrenia publishes papers on the broad psychosis spectrum including affective psychosis, bipolar disorder, the at-risk mental state, psychotic symptoms, and overlap between psychotic and other disorders.
×
引用
GB/T 7714-2015
复制
MLA
复制
APA
复制
导出至
BibTeX EndNote RefMan NoteFirst NoteExpress
×
提示
您的信息不完整,为了账户安全,请先补充。
现在去补充
×
提示
您因"违规操作"
具体请查看互助需知
我知道了
×
提示
确定
请完成安全验证×
copy
已复制链接
快去分享给好友吧!
我知道了
右上角分享
点击右上角分享
0
联系我们:info@booksci.cn Book学术提供免费学术资源搜索服务,方便国内外学者检索中英文文献。致力于提供最便捷和优质的服务体验。 Copyright © 2023 布克学术 All rights reserved.
京ICP备2023020795号-1
ghs 京公网安备 11010802042870号
Book学术文献互助
Book学术文献互助群
群 号:604180095
Book学术官方微信