中老年人下肢肌肉表现与体力活动水平和强度的关系:一项双标签水和加速度计研究

R Takae, Y Hatamoto, J Yasukata, Y Kose, T Komiyama, M Ikenaga, E Yoshimura, Y Yamada, N Ebine, Y Higaki, H Tanaka
{"title":"中老年人下肢肌肉表现与体力活动水平和强度的关系:一项双标签水和加速度计研究","authors":"R Takae, Y Hatamoto, J Yasukata, Y Kose, T Komiyama, M Ikenaga, E Yoshimura, Y Yamada, N Ebine, Y Higaki, H Tanaka","doi":"10.1007/s12603-020-1449-6","DOIUrl":null,"url":null,"abstract":"<p><strong>Objectives: </strong>The purpose of this study was to examine if there is a relationship between lower-extremity muscle performance (LEMP) and physical activity, especially the physical activity level (PAL) value, in community-dwelling middle-aged and older adults.</p><p><strong>Design: </strong>Cross-sectional study.</p><p><strong>Setting: </strong>Community-based.</p><p><strong>Participants: </strong>Participants were 54 community-dwelling and independent middle-aged and older individuals (aged 54-89 years).</p><p><strong>Measurements: </strong>Physical activity level was calculated from the total energy expenditure of each participant obtained using the doubly labeled water method (PALDLW) and estimated basal metabolic rate. Daily step count and intensity of physical activity was monitored with a triaxial accelerometer, and LEMP was assessed using the five-repetition sit-to-stand test (STS-5) and vertical jumping (VJ).</p><p><strong>Results: </strong>The results of STS-5 nearly negatively correlated with those of PALDLW when analysing the middle-aged and older man and woman, separately. VJ positively correlated with PALDLW when analysing the middle-aged and older men and woman, separately. The relationship between LEMP (e.g. STS-5 and VJ) and PAL were maintained, regardless of sex and body composition. PALDLW was significantly positively correlated with LPA, MVPA, and steps, and significantly negatively correlated with sedentary time. The relationship PALDLW and steps was described as following equation: PALDLW = 0.0000392 × steps +1.531.</p><p><strong>Conclusions: </strong>These findings suggest that PALDLW is a key contributor to increasing LEMP among middle-aged and older adults. Maintaining high PALDLW may be beneficial to independent living, and participation in recreational and social activities in middle-aged and older adults.</p>","PeriodicalId":501202,"journal":{"name":"The Journal of Nutrition, Health & Aging","volume":" ","pages":"1023-1030"},"PeriodicalIF":0.0000,"publicationDate":"2020-01-01","publicationTypes":"Journal Article","fieldsOfStudy":null,"isOpenAccess":false,"openAccessPdf":"https://www.ncbi.nlm.nih.gov/pmc/articles/PMC12280574/pdf/","citationCount":"0","resultStr":"{\"title\":\"Association of Lower-Extremity Muscle Performance and Physical Activity Level and Intensity in Middle-Aged and Older Adults: A Doubly Labeled Water and Accelerometer Study.\",\"authors\":\"R Takae, Y Hatamoto, J Yasukata, Y Kose, T Komiyama, M Ikenaga, E Yoshimura, Y Yamada, N Ebine, Y Higaki, H Tanaka\",\"doi\":\"10.1007/s12603-020-1449-6\",\"DOIUrl\":null,\"url\":null,\"abstract\":\"<p><strong>Objectives: </strong>The purpose of this study was to examine if there is a relationship between lower-extremity muscle performance (LEMP) and physical activity, especially the physical activity level (PAL) value, in community-dwelling middle-aged and older adults.</p><p><strong>Design: </strong>Cross-sectional study.</p><p><strong>Setting: </strong>Community-based.</p><p><strong>Participants: </strong>Participants were 54 community-dwelling and independent middle-aged and older individuals (aged 54-89 years).</p><p><strong>Measurements: </strong>Physical activity level was calculated from the total energy expenditure of each participant obtained using the doubly labeled water method (PALDLW) and estimated basal metabolic rate. Daily step count and intensity of physical activity was monitored with a triaxial accelerometer, and LEMP was assessed using the five-repetition sit-to-stand test (STS-5) and vertical jumping (VJ).</p><p><strong>Results: </strong>The results of STS-5 nearly negatively correlated with those of PALDLW when analysing the middle-aged and older man and woman, separately. VJ positively correlated with PALDLW when analysing the middle-aged and older men and woman, separately. The relationship between LEMP (e.g. STS-5 and VJ) and PAL were maintained, regardless of sex and body composition. PALDLW was significantly positively correlated with LPA, MVPA, and steps, and significantly negatively correlated with sedentary time. The relationship PALDLW and steps was described as following equation: PALDLW = 0.0000392 × steps +1.531.</p><p><strong>Conclusions: </strong>These findings suggest that PALDLW is a key contributor to increasing LEMP among middle-aged and older adults. Maintaining high PALDLW may be beneficial to independent living, and participation in recreational and social activities in middle-aged and older adults.</p>\",\"PeriodicalId\":501202,\"journal\":{\"name\":\"The Journal of Nutrition, Health & Aging\",\"volume\":\" \",\"pages\":\"1023-1030\"},\"PeriodicalIF\":0.0000,\"publicationDate\":\"2020-01-01\",\"publicationTypes\":\"Journal Article\",\"fieldsOfStudy\":null,\"isOpenAccess\":false,\"openAccessPdf\":\"https://www.ncbi.nlm.nih.gov/pmc/articles/PMC12280574/pdf/\",\"citationCount\":\"0\",\"resultStr\":null,\"platform\":\"Semanticscholar\",\"paperid\":null,\"PeriodicalName\":\"The Journal of Nutrition, Health & Aging\",\"FirstCategoryId\":\"1085\",\"ListUrlMain\":\"https://doi.org/10.1007/s12603-020-1449-6\",\"RegionNum\":0,\"RegionCategory\":null,\"ArticlePicture\":[],\"TitleCN\":null,\"AbstractTextCN\":null,\"PMCID\":null,\"EPubDate\":\"\",\"PubModel\":\"\",\"JCR\":\"\",\"JCRName\":\"\",\"Score\":null,\"Total\":0}","platform":"Semanticscholar","paperid":null,"PeriodicalName":"The Journal of Nutrition, Health & Aging","FirstCategoryId":"1085","ListUrlMain":"https://doi.org/10.1007/s12603-020-1449-6","RegionNum":0,"RegionCategory":null,"ArticlePicture":[],"TitleCN":null,"AbstractTextCN":null,"PMCID":null,"EPubDate":"","PubModel":"","JCR":"","JCRName":"","Score":null,"Total":0}
引用次数: 0

摘要

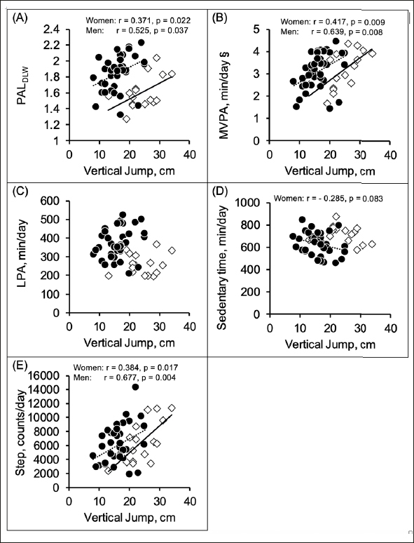
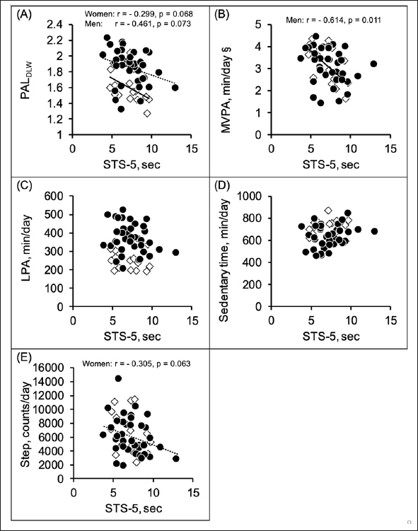
目的:本研究的目的是探讨在社区居住的中老年人中,下肢肌肉表现(LEMP)与身体活动,特别是身体活动水平(PAL)值之间是否存在关系。设计:横断面研究。设置:以社区为基础的。参与者:54名居住在社区的独立中老年人(54-89岁)。测量方法:根据使用双标记水法(PALDLW)获得的每个参与者的总能量消耗和估计的基础代谢率计算身体活动水平。每日步数和体力活动强度用三轴加速度计监测,LEMP用5次重复坐立测试(STS-5)和垂直跳跃(VJ)评估。结果:分别分析中老年男性和女性时,STS-5与PALDLW的结果几乎呈负相关。分别分析中老年男性和女性时,VJ与PALDLW呈正相关。LEMP(如STS-5和VJ)与PAL之间的关系保持不变,无论性别和身体组成如何。PALDLW与LPA、MVPA、步数显著正相关,与久坐时间显著负相关。PALDLW与steps的关系为:PALDLW = 0.0000392 × steps +1.531。结论:这些发现表明PALDLW是中老年人LEMP增加的关键因素。维持较高的PALDLW可能有利于中老年人独立生活、参与娱乐和社会活动。
本文章由计算机程序翻译,如有差异,请以英文原文为准。

Association of Lower-Extremity Muscle Performance and Physical Activity Level and Intensity in Middle-Aged and Older Adults: A Doubly Labeled Water and Accelerometer Study.

Association of Lower-Extremity Muscle Performance and Physical Activity Level and Intensity in Middle-Aged and Older Adults: A Doubly Labeled Water and Accelerometer Study.

Association of Lower-Extremity Muscle Performance and Physical Activity Level and Intensity in Middle-Aged and Older Adults: A Doubly Labeled Water and Accelerometer Study.

Objectives: The purpose of this study was to examine if there is a relationship between lower-extremity muscle performance (LEMP) and physical activity, especially the physical activity level (PAL) value, in community-dwelling middle-aged and older adults.

Design: Cross-sectional study.

Setting: Community-based.

Participants: Participants were 54 community-dwelling and independent middle-aged and older individuals (aged 54-89 years).

Measurements: Physical activity level was calculated from the total energy expenditure of each participant obtained using the doubly labeled water method (PALDLW) and estimated basal metabolic rate. Daily step count and intensity of physical activity was monitored with a triaxial accelerometer, and LEMP was assessed using the five-repetition sit-to-stand test (STS-5) and vertical jumping (VJ).

Results: The results of STS-5 nearly negatively correlated with those of PALDLW when analysing the middle-aged and older man and woman, separately. VJ positively correlated with PALDLW when analysing the middle-aged and older men and woman, separately. The relationship between LEMP (e.g. STS-5 and VJ) and PAL were maintained, regardless of sex and body composition. PALDLW was significantly positively correlated with LPA, MVPA, and steps, and significantly negatively correlated with sedentary time. The relationship PALDLW and steps was described as following equation: PALDLW = 0.0000392 × steps +1.531.

Conclusions: These findings suggest that PALDLW is a key contributor to increasing LEMP among middle-aged and older adults. Maintaining high PALDLW may be beneficial to independent living, and participation in recreational and social activities in middle-aged and older adults.

求助全文
通过发布文献求助,成功后即可免费获取论文全文。 去求助
来源期刊
自引率
0.00%
发文量
0
×
引用
GB/T 7714-2015
复制
MLA
复制
APA
复制
导出至
BibTeX EndNote RefMan NoteFirst NoteExpress
×
提示
您的信息不完整,为了账户安全,请先补充。
现在去补充
×
提示
您因"违规操作"
具体请查看互助需知
我知道了
×
提示
确定
请完成安全验证×
copy
已复制链接
快去分享给好友吧!
我知道了
右上角分享
点击右上角分享
0
联系我们:info@booksci.cn Book学术提供免费学术资源搜索服务,方便国内外学者检索中英文文献。致力于提供最便捷和优质的服务体验。 Copyright © 2023 布克学术 All rights reserved.
京ICP备2023020795号-1
ghs 京公网安备 11010802042870号
Book学术文献互助
Book学术文献互助群
群 号:604180095
Book学术官方微信