高选择性AT2R激动剂β-Pro7 Ang III对正常血压大鼠肾功能的影响。

Lucinda M Hilliard Krause, Brandon A Kemp, Amanda Suan Jui Tan, Emma S Jones, Mark P Del Borgo, Marie-Isabel Aguilar, Kate M Denton, Robert M Carey, Robert E Widdop
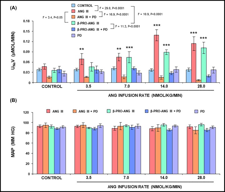
{"title":"高选择性AT2R激动剂β-Pro7 Ang III对正常血压大鼠肾功能的影响。","authors":"Lucinda M Hilliard Krause,&nbsp;Brandon A Kemp,&nbsp;Amanda Suan Jui Tan,&nbsp;Emma S Jones,&nbsp;Mark P Del Borgo,&nbsp;Marie-Isabel Aguilar,&nbsp;Kate M Denton,&nbsp;Robert M Carey,&nbsp;Robert E Widdop","doi":"10.1042/CS20200153","DOIUrl":null,"url":null,"abstract":"<p><p>Recently, we designed a group of peptides by sequential substitution of the naturally occurring α-amino acid throughout the Ang III peptide sequence with the corresponding β-amino acid. β-Amino acid substitution at the proline residue of Ang III (β-Pro7-Ang III) resulted in a highly selective AT2R ligand, demonstrating remarkable selectivity for the AT2R in both binding and functional studies. To provide additional functional evidence for the suitability of β-Pro7 Ang III as a novel AT2R agonist, we tested effects of acute systemic administration of β-Pro7-Ang III on renal hemodynamic and excretory function in anesthetized normotensive male and female rats. We also compared the natriuretic effects of acute intrarenal administration of native Ang III and β-Pro7-Ang III in the presence of systemic AT1R blockade in anesthetized female rats to allow for the differentiation of systemic versus direct intrarenal natriuretic actions of β-Pro7-Ang III. In both male and female rats, acute systemic administration of β-Pro7-Ang III elicited renal vasodilatation and natriuresis. Notably, greater renal vasodilatory effects were observed in female versus male rats at the highest dose of β-Pro7-Ang III administered. Moreover, intra-renal administration of β-Pro7-Ang III produced significant natriuretic effects in female rats and, like Ang III, evoked AT2R translocation to the apical plasma membrane in renal proximal tubular cells. Taken together, our findings support the use of β-Pro7-Ang III as a novel AT2R agonist and experimental tool for exploring AT2R function and its potential as a therapeutic target. Furthermore, our findings provide further evidence of a sex-specific influence of AT2R stimulation on renal function.</p>","PeriodicalId":519494,"journal":{"name":"Clinical Science (London, England : 1979)","volume":" ","pages":"871-884"},"PeriodicalIF":0.0000,"publicationDate":"2020-04-17","publicationTypes":"Journal Article","fieldsOfStudy":null,"isOpenAccess":false,"openAccessPdf":"https://ftp.ncbi.nlm.nih.gov/pub/pmc/oa_pdf/f7/86/cs-134-cs20200153.PMC7158249.pdf","citationCount":"13","resultStr":"{\"title\":\"Renal functional effects of the highly selective AT2R agonist, β-Pro7 Ang III, in normotensive rats.\",\"authors\":\"Lucinda M Hilliard Krause,&nbsp;Brandon A Kemp,&nbsp;Amanda Suan Jui Tan,&nbsp;Emma S Jones,&nbsp;Mark P Del Borgo,&nbsp;Marie-Isabel Aguilar,&nbsp;Kate M Denton,&nbsp;Robert M Carey,&nbsp;Robert E Widdop\",\"doi\":\"10.1042/CS20200153\",\"DOIUrl\":null,\"url\":null,\"abstract\":\"<p><p>Recently, we designed a group of peptides by sequential substitution of the naturally occurring α-amino acid throughout the Ang III peptide sequence with the corresponding β-amino acid. β-Amino acid substitution at the proline residue of Ang III (β-Pro7-Ang III) resulted in a highly selective AT2R ligand, demonstrating remarkable selectivity for the AT2R in both binding and functional studies. To provide additional functional evidence for the suitability of β-Pro7 Ang III as a novel AT2R agonist, we tested effects of acute systemic administration of β-Pro7-Ang III on renal hemodynamic and excretory function in anesthetized normotensive male and female rats. We also compared the natriuretic effects of acute intrarenal administration of native Ang III and β-Pro7-Ang III in the presence of systemic AT1R blockade in anesthetized female rats to allow for the differentiation of systemic versus direct intrarenal natriuretic actions of β-Pro7-Ang III. In both male and female rats, acute systemic administration of β-Pro7-Ang III elicited renal vasodilatation and natriuresis. Notably, greater renal vasodilatory effects were observed in female versus male rats at the highest dose of β-Pro7-Ang III administered. Moreover, intra-renal administration of β-Pro7-Ang III produced significant natriuretic effects in female rats and, like Ang III, evoked AT2R translocation to the apical plasma membrane in renal proximal tubular cells. Taken together, our findings support the use of β-Pro7-Ang III as a novel AT2R agonist and experimental tool for exploring AT2R function and its potential as a therapeutic target. Furthermore, our findings provide further evidence of a sex-specific influence of AT2R stimulation on renal function.</p>\",\"PeriodicalId\":519494,\"journal\":{\"name\":\"Clinical Science (London, England : 1979)\",\"volume\":\" \",\"pages\":\"871-884\"},\"PeriodicalIF\":0.0000,\"publicationDate\":\"2020-04-17\",\"publicationTypes\":\"Journal Article\",\"fieldsOfStudy\":null,\"isOpenAccess\":false,\"openAccessPdf\":\"https://ftp.ncbi.nlm.nih.gov/pub/pmc/oa_pdf/f7/86/cs-134-cs20200153.PMC7158249.pdf\",\"citationCount\":\"13\",\"resultStr\":null,\"platform\":\"Semanticscholar\",\"paperid\":null,\"PeriodicalName\":\"Clinical Science (London, England : 1979)\",\"FirstCategoryId\":\"3\",\"ListUrlMain\":\"https://doi.org/10.1042/CS20200153\",\"RegionNum\":0,\"RegionCategory\":null,\"ArticlePicture\":[],\"TitleCN\":null,\"AbstractTextCN\":null,\"PMCID\":null,\"EPubDate\":\"\",\"PubModel\":\"\",\"JCR\":\"\",\"JCRName\":\"\",\"Score\":null,\"Total\":0}","platform":"Semanticscholar","paperid":null,"PeriodicalName":"Clinical Science (London, England : 1979)","FirstCategoryId":"3","ListUrlMain":"https://doi.org/10.1042/CS20200153","RegionNum":0,"RegionCategory":null,"ArticlePicture":[],"TitleCN":null,"AbstractTextCN":null,"PMCID":null,"EPubDate":"","PubModel":"","JCR":"","JCRName":"","Score":null,"Total":0}
引用次数: 13

摘要

最近,我们设计了一组肽,通过将天然存在的α-氨基酸与相应的β-氨基酸依次取代整个Ang III肽序列。在Ang III的脯氨酸残基上的β-氨基酸取代(β-Pro7-Ang III)产生了高度选择性的AT2R配体,在结合和功能研究中都显示出对AT2R的显著选择性。为了进一步证明β-Pro7-Ang III作为新型AT2R激动剂的适用性,我们测试了急性全身给药β-Pro7-Ang III对麻醉正常血压的雄性和雌性大鼠肾脏血流动力学和排泄功能的影响。我们还比较了麻醉雌性大鼠在全身AT1R阻断的情况下,急性肾内给药天然Ang III和β-Pro7-Ang III的利钠作用,以区分β-Pro7-Ang III的全身和直接肾内利钠作用。在雄性和雌性大鼠中,急性全身给药β-Pro7-Ang III引起肾脏血管扩张和尿钠。值得注意的是,在给予最高剂量的β-Pro7-Ang III时,雌性大鼠比雄性大鼠观察到更大的肾脏血管扩张作用。此外,雌性大鼠肾内给药β-Pro7-Ang III具有显著的尿钠作用,并且与Ang III一样,引起肾近端小管细胞中AT2R向顶质膜的易位。综上所述,我们的研究结果支持β-Pro7-Ang III作为一种新型AT2R激动剂和探索AT2R功能及其作为治疗靶点的潜力的实验工具。此外,我们的研究结果为AT2R刺激对肾功能的性别特异性影响提供了进一步的证据。
本文章由计算机程序翻译,如有差异,请以英文原文为准。

Renal functional effects of the highly selective AT2R agonist, β-Pro7 Ang III, in normotensive rats.

Renal functional effects of the highly selective AT2R agonist, β-Pro7 Ang III, in normotensive rats.

Renal functional effects of the highly selective AT2R agonist, β-Pro7 Ang III, in normotensive rats.

Renal functional effects of the highly selective AT2R agonist, β-Pro7 Ang III, in normotensive rats.

Recently, we designed a group of peptides by sequential substitution of the naturally occurring α-amino acid throughout the Ang III peptide sequence with the corresponding β-amino acid. β-Amino acid substitution at the proline residue of Ang III (β-Pro7-Ang III) resulted in a highly selective AT2R ligand, demonstrating remarkable selectivity for the AT2R in both binding and functional studies. To provide additional functional evidence for the suitability of β-Pro7 Ang III as a novel AT2R agonist, we tested effects of acute systemic administration of β-Pro7-Ang III on renal hemodynamic and excretory function in anesthetized normotensive male and female rats. We also compared the natriuretic effects of acute intrarenal administration of native Ang III and β-Pro7-Ang III in the presence of systemic AT1R blockade in anesthetized female rats to allow for the differentiation of systemic versus direct intrarenal natriuretic actions of β-Pro7-Ang III. In both male and female rats, acute systemic administration of β-Pro7-Ang III elicited renal vasodilatation and natriuresis. Notably, greater renal vasodilatory effects were observed in female versus male rats at the highest dose of β-Pro7-Ang III administered. Moreover, intra-renal administration of β-Pro7-Ang III produced significant natriuretic effects in female rats and, like Ang III, evoked AT2R translocation to the apical plasma membrane in renal proximal tubular cells. Taken together, our findings support the use of β-Pro7-Ang III as a novel AT2R agonist and experimental tool for exploring AT2R function and its potential as a therapeutic target. Furthermore, our findings provide further evidence of a sex-specific influence of AT2R stimulation on renal function.

求助全文
通过发布文献求助,成功后即可免费获取论文全文。 去求助
来源期刊
自引率
0.00%
发文量
0
×
引用
GB/T 7714-2015
复制
MLA
复制
APA
复制
导出至
BibTeX EndNote RefMan NoteFirst NoteExpress
×
提示
您的信息不完整,为了账户安全,请先补充。
现在去补充
×
提示
您因"违规操作"
具体请查看互助需知
我知道了
×
提示
确定
请完成安全验证×
copy
已复制链接
快去分享给好友吧!
我知道了
右上角分享
点击右上角分享
0
联系我们:info@booksci.cn Book学术提供免费学术资源搜索服务,方便国内外学者检索中英文文献。致力于提供最便捷和优质的服务体验。 Copyright © 2023 布克学术 All rights reserved.
京ICP备2023020795号-1
ghs 京公网安备 11010802042870号
Book学术文献互助
Book学术文献互助群
群 号:604180095
Book学术官方微信