达比加群、利伐沙班和阿哌沙班治疗房颤的有效性和安全性的比较:一项全国性队列研究。

Ole-Christian W Rutherford, Christian Jonasson, Waleed Ghanima, Fabian Söderdahl, Sigrun Halvorsen
{"title":"达比加群、利伐沙班和阿哌沙班治疗房颤的有效性和安全性的比较:一项全国性队列研究。","authors":"Ole-Christian W Rutherford,&nbsp;Christian Jonasson,&nbsp;Waleed Ghanima,&nbsp;Fabian Söderdahl,&nbsp;Sigrun Halvorsen","doi":"10.1093/ehjcvp/pvz086","DOIUrl":null,"url":null,"abstract":"<p><strong>Aims: </strong>The aim of this study was to compare the risk of stroke or systemic embolism (SE) and major bleeding in patients with atrial fibrillation (AF) using dabigatran, rivaroxaban, and apixaban in routine clinical practice.</p><p><strong>Methods and results: </strong>Using nationwide registries in Norway from January 2013 to December 2017, we established a cohort of 52 476 new users of non-vitamin K antagonist oral anticoagulants (NOACs) with AF. Users of individual NOACs were matched 1:1 on the propensity score to create three pairwise-matched cohorts: dabigatran vs. rivaroxaban (20 504 patients), dabigatran vs. apixaban (20 826 patients), and rivaroxaban vs. apixaban (27 398 patients). Hazard ratios (HRs) for the risk of stroke or SE and major bleeding were estimated. In the propensity-matched comparisons of the risk of stroke or SE, the HRs were 0.88 [95% confidence interval (CI) 0.76-1.02] for dabigatran vs. rivaroxaban, 0.88 (95% CI 0.75-1.02) for dabigatran vs. apixaban, and 1.00 (95% CI 0.89-1.14) for apixaban vs. rivaroxaban. For the risk of major bleeding, the HRs were 0.75 (95% CI 0.64-0.88) for dabigatran vs. rivaroxaban, 1.03 (95% CI 0.85-1.24) for dabigatran vs. apixaban, and 0.79 (95% CI 0.68-0.91) for apixaban vs. rivaroxaban.</p><p><strong>Conclusion: </strong>In this nationwide study of patients with AF in Norway, we found no statistically significant differences in risk of stroke or SE in propensity-matched comparisons between dabigatran, rivaroxaban, and apixaban. However, dabigatran and apixaban were both associated with significantly lower risk of major bleeding compared with rivaroxaban.</p>","PeriodicalId":11995,"journal":{"name":"European Heart Journal — Cardiovascular Pharmacotherapy","volume":" ","pages":"75-85"},"PeriodicalIF":0.0000,"publicationDate":"2020-04-01","publicationTypes":"Journal Article","fieldsOfStudy":null,"isOpenAccess":false,"openAccessPdf":"https://sci-hub-pdf.com/10.1093/ehjcvp/pvz086","citationCount":"58","resultStr":"{\"title\":\"Comparison of dabigatran, rivaroxaban, and apixaban for effectiveness and safety in atrial fibrillation: a nationwide cohort study.\",\"authors\":\"Ole-Christian W Rutherford,&nbsp;Christian Jonasson,&nbsp;Waleed Ghanima,&nbsp;Fabian Söderdahl,&nbsp;Sigrun Halvorsen\",\"doi\":\"10.1093/ehjcvp/pvz086\",\"DOIUrl\":null,\"url\":null,\"abstract\":\"<p><strong>Aims: </strong>The aim of this study was to compare the risk of stroke or systemic embolism (SE) and major bleeding in patients with atrial fibrillation (AF) using dabigatran, rivaroxaban, and apixaban in routine clinical practice.</p><p><strong>Methods and results: </strong>Using nationwide registries in Norway from January 2013 to December 2017, we established a cohort of 52 476 new users of non-vitamin K antagonist oral anticoagulants (NOACs) with AF. Users of individual NOACs were matched 1:1 on the propensity score to create three pairwise-matched cohorts: dabigatran vs. rivaroxaban (20 504 patients), dabigatran vs. apixaban (20 826 patients), and rivaroxaban vs. apixaban (27 398 patients). Hazard ratios (HRs) for the risk of stroke or SE and major bleeding were estimated. In the propensity-matched comparisons of the risk of stroke or SE, the HRs were 0.88 [95% confidence interval (CI) 0.76-1.02] for dabigatran vs. rivaroxaban, 0.88 (95% CI 0.75-1.02) for dabigatran vs. apixaban, and 1.00 (95% CI 0.89-1.14) for apixaban vs. rivaroxaban. For the risk of major bleeding, the HRs were 0.75 (95% CI 0.64-0.88) for dabigatran vs. rivaroxaban, 1.03 (95% CI 0.85-1.24) for dabigatran vs. apixaban, and 0.79 (95% CI 0.68-0.91) for apixaban vs. rivaroxaban.</p><p><strong>Conclusion: </strong>In this nationwide study of patients with AF in Norway, we found no statistically significant differences in risk of stroke or SE in propensity-matched comparisons between dabigatran, rivaroxaban, and apixaban. However, dabigatran and apixaban were both associated with significantly lower risk of major bleeding compared with rivaroxaban.</p>\",\"PeriodicalId\":11995,\"journal\":{\"name\":\"European Heart Journal — Cardiovascular Pharmacotherapy\",\"volume\":\" \",\"pages\":\"75-85\"},\"PeriodicalIF\":0.0000,\"publicationDate\":\"2020-04-01\",\"publicationTypes\":\"Journal Article\",\"fieldsOfStudy\":null,\"isOpenAccess\":false,\"openAccessPdf\":\"https://sci-hub-pdf.com/10.1093/ehjcvp/pvz086\",\"citationCount\":\"58\",\"resultStr\":null,\"platform\":\"Semanticscholar\",\"paperid\":null,\"PeriodicalName\":\"European Heart Journal — Cardiovascular Pharmacotherapy\",\"FirstCategoryId\":\"3\",\"ListUrlMain\":\"https://doi.org/10.1093/ehjcvp/pvz086\",\"RegionNum\":0,\"RegionCategory\":null,\"ArticlePicture\":[],\"TitleCN\":null,\"AbstractTextCN\":null,\"PMCID\":null,\"EPubDate\":\"\",\"PubModel\":\"\",\"JCR\":\"\",\"JCRName\":\"\",\"Score\":null,\"Total\":0}","platform":"Semanticscholar","paperid":null,"PeriodicalName":"European Heart Journal — Cardiovascular Pharmacotherapy","FirstCategoryId":"3","ListUrlMain":"https://doi.org/10.1093/ehjcvp/pvz086","RegionNum":0,"RegionCategory":null,"ArticlePicture":[],"TitleCN":null,"AbstractTextCN":null,"PMCID":null,"EPubDate":"","PubModel":"","JCR":"","JCRName":"","Score":null,"Total":0}
引用次数: 58

摘要

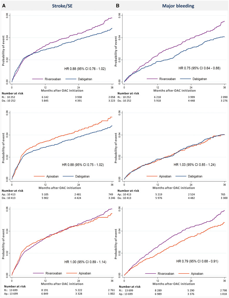
目的:本研究的目的是比较在常规临床实践中使用达比加群、利伐沙班和阿哌沙班治疗心房颤动(AF)患者卒中或系统性栓塞(SE)和大出血的风险。方法和结果:使用挪威2013年1月至2017年12月的全国注册中心,我们建立了一个队列,包括52476名新使用非维生素K拮抗剂口服抗凝剂(NOACs)的AF患者。个体NOACs使用者按倾向评分1:1匹配,创建了三个成对匹配的队列:达比加群vs利伐沙班(20504例),达比加群vs阿哌沙班(20826例),利伐沙班vs阿哌沙班(27398例)。评估卒中或SE和大出血风险的风险比(hr)。在卒中或SE的倾向匹配比较中,达比加群与利伐沙班的hr为0.88[95%可信区间(CI) 0.76-1.02],达比加群与阿哌沙班的hr为0.88(95%可信区间(CI) 0.75-1.02),阿哌沙班与利伐沙班的hr为1.00 (95% CI 0.89-1.14)。对于大出血的风险,达比加群vs利伐沙班的hr为0.75 (95% CI 0.64-0.88),达比加群vs阿哌沙班的hr为1.03 (95% CI 0.85-1.24),阿哌沙班vs利伐沙班的hr为0.79 (95% CI 0.68-0.91)。结论:在挪威全国范围内对房颤患者的研究中,我们发现达比加群、利伐沙班和阿哌沙班在倾向匹配比较中卒中或SE的风险没有统计学差异。然而,与利伐沙班相比,达比加群和阿哌沙班的大出血风险均显著降低。
本文章由计算机程序翻译,如有差异,请以英文原文为准。

Comparison of dabigatran, rivaroxaban, and apixaban for effectiveness and safety in atrial fibrillation: a nationwide cohort study.

Comparison of dabigatran, rivaroxaban, and apixaban for effectiveness and safety in atrial fibrillation: a nationwide cohort study.

Comparison of dabigatran, rivaroxaban, and apixaban for effectiveness and safety in atrial fibrillation: a nationwide cohort study.

Comparison of dabigatran, rivaroxaban, and apixaban for effectiveness and safety in atrial fibrillation: a nationwide cohort study.

Aims: The aim of this study was to compare the risk of stroke or systemic embolism (SE) and major bleeding in patients with atrial fibrillation (AF) using dabigatran, rivaroxaban, and apixaban in routine clinical practice.

Methods and results: Using nationwide registries in Norway from January 2013 to December 2017, we established a cohort of 52 476 new users of non-vitamin K antagonist oral anticoagulants (NOACs) with AF. Users of individual NOACs were matched 1:1 on the propensity score to create three pairwise-matched cohorts: dabigatran vs. rivaroxaban (20 504 patients), dabigatran vs. apixaban (20 826 patients), and rivaroxaban vs. apixaban (27 398 patients). Hazard ratios (HRs) for the risk of stroke or SE and major bleeding were estimated. In the propensity-matched comparisons of the risk of stroke or SE, the HRs were 0.88 [95% confidence interval (CI) 0.76-1.02] for dabigatran vs. rivaroxaban, 0.88 (95% CI 0.75-1.02) for dabigatran vs. apixaban, and 1.00 (95% CI 0.89-1.14) for apixaban vs. rivaroxaban. For the risk of major bleeding, the HRs were 0.75 (95% CI 0.64-0.88) for dabigatran vs. rivaroxaban, 1.03 (95% CI 0.85-1.24) for dabigatran vs. apixaban, and 0.79 (95% CI 0.68-0.91) for apixaban vs. rivaroxaban.

Conclusion: In this nationwide study of patients with AF in Norway, we found no statistically significant differences in risk of stroke or SE in propensity-matched comparisons between dabigatran, rivaroxaban, and apixaban. However, dabigatran and apixaban were both associated with significantly lower risk of major bleeding compared with rivaroxaban.

求助全文
通过发布文献求助,成功后即可免费获取论文全文。 去求助
来源期刊
自引率
0.00%
发文量
0
×
引用
GB/T 7714-2015
复制
MLA
复制
APA
复制
导出至
BibTeX EndNote RefMan NoteFirst NoteExpress
×
提示
您的信息不完整,为了账户安全,请先补充。
现在去补充
×
提示
您因"违规操作"
具体请查看互助需知
我知道了
×
提示
确定
请完成安全验证×
copy
已复制链接
快去分享给好友吧!
我知道了
右上角分享
点击右上角分享
0
联系我们:info@booksci.cn Book学术提供免费学术资源搜索服务,方便国内外学者检索中英文文献。致力于提供最便捷和优质的服务体验。 Copyright © 2023 布克学术 All rights reserved.
京ICP备2023020795号-1
ghs 京公网安备 11010802042870号
Book学术文献互助
Book学术文献互助群
群 号:604180095
Book学术官方微信