组序交叉试验设计,具有较强的家族错误率控制。

Sequential Analysis Pub Date : 2018-10-02 eCollection Date: 2018-01-01 DOI:10.1080/07474946.2018.1466528
Michael J Grayling, James M S Wason, Adrian P Mander
{"title":"组序交叉试验设计,具有较强的家族错误率控制。","authors":"Michael J Grayling, James M S Wason, Adrian P Mander","doi":"10.1080/07474946.2018.1466528","DOIUrl":null,"url":null,"abstract":"<p><p>Crossover designs are an extremely useful tool to investigators, and group sequential methods have proven highly proficient at improving the efficiency of parallel group trials. Yet, group sequential methods and crossover designs have rarely been paired together. One possible explanation for this could be the absence of a formal proof of how to strongly control the familywise error rate in the case when multiple comparisons will be made. Here, we provide this proof, valid for any number of initial experimental treatments and any number of stages, when results are analyzed using a linear mixed model. We then establish formulae for the expected sample size and expected number of observations of such a trial, given any choice of stopping boundaries. Finally, utilizing the four-treatment, four-period TOMADO trial as an example, we demonstrate that group sequential methods in this setting could have reduced the trials expected number of observations under the global null hypothesis by over 33%.</p>","PeriodicalId":516303,"journal":{"name":"Sequential Analysis","volume":"37 2","pages":"174-203"},"PeriodicalIF":0.0000,"publicationDate":"2018-10-02","publicationTypes":"Journal Article","fieldsOfStudy":null,"isOpenAccess":false,"openAccessPdf":"https://www.ncbi.nlm.nih.gov/pmc/articles/PMC6199128/pdf/","citationCount":"0","resultStr":"{\"title\":\"Group sequential crossover trial designs with strong control of the familywise error rate.\",\"authors\":\"Michael J Grayling, James M S Wason, Adrian P Mander\",\"doi\":\"10.1080/07474946.2018.1466528\",\"DOIUrl\":null,\"url\":null,\"abstract\":\"<p><p>Crossover designs are an extremely useful tool to investigators, and group sequential methods have proven highly proficient at improving the efficiency of parallel group trials. Yet, group sequential methods and crossover designs have rarely been paired together. One possible explanation for this could be the absence of a formal proof of how to strongly control the familywise error rate in the case when multiple comparisons will be made. Here, we provide this proof, valid for any number of initial experimental treatments and any number of stages, when results are analyzed using a linear mixed model. We then establish formulae for the expected sample size and expected number of observations of such a trial, given any choice of stopping boundaries. Finally, utilizing the four-treatment, four-period TOMADO trial as an example, we demonstrate that group sequential methods in this setting could have reduced the trials expected number of observations under the global null hypothesis by over 33%.</p>\",\"PeriodicalId\":516303,\"journal\":{\"name\":\"Sequential Analysis\",\"volume\":\"37 2\",\"pages\":\"174-203\"},\"PeriodicalIF\":0.0000,\"publicationDate\":\"2018-10-02\",\"publicationTypes\":\"Journal Article\",\"fieldsOfStudy\":null,\"isOpenAccess\":false,\"openAccessPdf\":\"https://www.ncbi.nlm.nih.gov/pmc/articles/PMC6199128/pdf/\",\"citationCount\":\"0\",\"resultStr\":null,\"platform\":\"Semanticscholar\",\"paperid\":null,\"PeriodicalName\":\"Sequential Analysis\",\"FirstCategoryId\":\"1085\",\"ListUrlMain\":\"https://doi.org/10.1080/07474946.2018.1466528\",\"RegionNum\":0,\"RegionCategory\":null,\"ArticlePicture\":[],\"TitleCN\":null,\"AbstractTextCN\":null,\"PMCID\":null,\"EPubDate\":\"2018/1/1 0:00:00\",\"PubModel\":\"eCollection\",\"JCR\":\"\",\"JCRName\":\"\",\"Score\":null,\"Total\":0}","platform":"Semanticscholar","paperid":null,"PeriodicalName":"Sequential Analysis","FirstCategoryId":"1085","ListUrlMain":"https://doi.org/10.1080/07474946.2018.1466528","RegionNum":0,"RegionCategory":null,"ArticlePicture":[],"TitleCN":null,"AbstractTextCN":null,"PMCID":null,"EPubDate":"2018/1/1 0:00:00","PubModel":"eCollection","JCR":"","JCRName":"","Score":null,"Total":0}
引用次数: 0

摘要

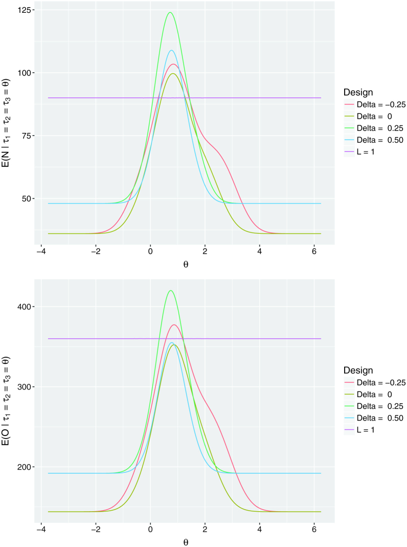
交叉设计对研究人员来说是一个非常有用的工具,而组序贯方法已被证明在提高平行组试验的效率方面非常精通。然而,群体序贯方法和交叉设计很少配对在一起。对此的一种可能解释是,在进行多次比较的情况下,缺乏关于如何强有力地控制家庭误差率的正式证明。在这里,当使用线性混合模型分析结果时,我们提供了这个证明,适用于任何数量的初始实验处理和任何数量的阶段。然后,我们建立了这样一个试验的期望样本量和期望观察数的公式,给定任何停止边界的选择。最后,以四组处理、四期TOMADO试验为例,我们证明在这种情况下,组序贯方法可以将全局零假设下的试验预期观察数减少33%以上。
本文章由计算机程序翻译,如有差异,请以英文原文为准。

Group sequential crossover trial designs with strong control of the familywise error rate.

Group sequential crossover trial designs with strong control of the familywise error rate.

Group sequential crossover trial designs with strong control of the familywise error rate.

Group sequential crossover trial designs with strong control of the familywise error rate.

Crossover designs are an extremely useful tool to investigators, and group sequential methods have proven highly proficient at improving the efficiency of parallel group trials. Yet, group sequential methods and crossover designs have rarely been paired together. One possible explanation for this could be the absence of a formal proof of how to strongly control the familywise error rate in the case when multiple comparisons will be made. Here, we provide this proof, valid for any number of initial experimental treatments and any number of stages, when results are analyzed using a linear mixed model. We then establish formulae for the expected sample size and expected number of observations of such a trial, given any choice of stopping boundaries. Finally, utilizing the four-treatment, four-period TOMADO trial as an example, we demonstrate that group sequential methods in this setting could have reduced the trials expected number of observations under the global null hypothesis by over 33%.

求助全文
通过发布文献求助,成功后即可免费获取论文全文。 去求助
来源期刊
自引率
0.00%
发文量
0
×
引用
GB/T 7714-2015
复制
MLA
复制
APA
复制
导出至
BibTeX EndNote RefMan NoteFirst NoteExpress
×
提示
您的信息不完整,为了账户安全,请先补充。
现在去补充
×
提示
您因"违规操作"
具体请查看互助需知
我知道了
×
提示
确定
请完成安全验证×
copy
已复制链接
快去分享给好友吧!
我知道了
右上角分享
点击右上角分享
0
联系我们:info@booksci.cn Book学术提供免费学术资源搜索服务,方便国内外学者检索中英文文献。致力于提供最便捷和优质的服务体验。 Copyright © 2023 布克学术 All rights reserved.
京ICP备2023020795号-1
ghs 京公网安备 11010802042870号
Book学术文献互助
Book学术文献互助群
群 号:604180095
Book学术官方微信