鼓励医疗保险优势参保人转向更高质量的计划:评估“轻推”信的有效性。

IF 1.7
MDM policy & practice Pub Date : 2017-05-05 eCollection Date: 2017-01-01 DOI:10.1177/2381468317707206
Benjamin L Howell, Partha Deb, Sai Ma, Rachel O Reid, Jesse Levy, Gerald F Riley, Patrick H Conway, William H Shrank
{"title":"鼓励医疗保险优势参保人转向更高质量的计划:评估“轻推”信的有效性。","authors":"Benjamin L Howell,&nbsp;Partha Deb,&nbsp;Sai Ma,&nbsp;Rachel O Reid,&nbsp;Jesse Levy,&nbsp;Gerald F Riley,&nbsp;Patrick H Conway,&nbsp;William H Shrank","doi":"10.1177/2381468317707206","DOIUrl":null,"url":null,"abstract":"<p><p>There are considerable quality differences across private Medicare Advantage insurance plans, so it is important that beneficiaries make informed choices. During open enrollment for the 2013 coverage year, the Centers for Medicare & Medicaid Services sent letters to beneficiaries enrolled in low-quality Medicare Advantage plans (i.e., plans rated less than 3 stars for at least 3 consecutive years by Medicare) explaining the stars and encouraging them to reexamine their choices. To understand the effectiveness of these low-cost, behavioral \"nudge\" letters, we used a beneficiary-level national retrospective cohort and performed multivariate regression analysis of plan selection during the 2013 open enrollment period among those enrolled in plans rated less than 3 stars. Our analysis controls for beneficiary demographic characteristics, health and health care spending risks, the availability of alternative higher rated plan options in their local market, and historical disenrollment rates from the plans. We compared the behaviors of those beneficiaries who received the nudge letters with those who enrolled in similar poorly rated plans but did not receive such letters. We found that beneficiaries who received the nudge letter were almost twice as likely (28.0% [95% confidence interval = 27.7%, 28.2%] vs. 15.3% [95% confidence interval = 15.1%, 15.5%]) to switch to a higher rated plan compared with those who did not receive the letter. White beneficiaries, healthier beneficiaries, and those residing in areas with more high-performing plan choices were more likely to switch plans in response to the nudge. Our findings highlight both the importance and efficacy of providing timely and actionable information to beneficiaries about quality in the insurance marketplace to facilitate informed and value-based coverage decisions.</p>","PeriodicalId":520707,"journal":{"name":"MDM policy & practice","volume":" ","pages":"2381468317707206"},"PeriodicalIF":1.7000,"publicationDate":"2017-05-05","publicationTypes":"Journal Article","fieldsOfStudy":null,"isOpenAccess":false,"openAccessPdf":"https://sci-hub-pdf.com/10.1177/2381468317707206","citationCount":"3","resultStr":"{\"title\":\"Encouraging Medicare Advantage Enrollees to Switch to Higher Quality Plans: Assessing the Effectiveness of a \\\"Nudge\\\" Letter.\",\"authors\":\"Benjamin L Howell,&nbsp;Partha Deb,&nbsp;Sai Ma,&nbsp;Rachel O Reid,&nbsp;Jesse Levy,&nbsp;Gerald F Riley,&nbsp;Patrick H Conway,&nbsp;William H Shrank\",\"doi\":\"10.1177/2381468317707206\",\"DOIUrl\":null,\"url\":null,\"abstract\":\"<p><p>There are considerable quality differences across private Medicare Advantage insurance plans, so it is important that beneficiaries make informed choices. During open enrollment for the 2013 coverage year, the Centers for Medicare & Medicaid Services sent letters to beneficiaries enrolled in low-quality Medicare Advantage plans (i.e., plans rated less than 3 stars for at least 3 consecutive years by Medicare) explaining the stars and encouraging them to reexamine their choices. To understand the effectiveness of these low-cost, behavioral \\\"nudge\\\" letters, we used a beneficiary-level national retrospective cohort and performed multivariate regression analysis of plan selection during the 2013 open enrollment period among those enrolled in plans rated less than 3 stars. Our analysis controls for beneficiary demographic characteristics, health and health care spending risks, the availability of alternative higher rated plan options in their local market, and historical disenrollment rates from the plans. We compared the behaviors of those beneficiaries who received the nudge letters with those who enrolled in similar poorly rated plans but did not receive such letters. We found that beneficiaries who received the nudge letter were almost twice as likely (28.0% [95% confidence interval = 27.7%, 28.2%] vs. 15.3% [95% confidence interval = 15.1%, 15.5%]) to switch to a higher rated plan compared with those who did not receive the letter. White beneficiaries, healthier beneficiaries, and those residing in areas with more high-performing plan choices were more likely to switch plans in response to the nudge. Our findings highlight both the importance and efficacy of providing timely and actionable information to beneficiaries about quality in the insurance marketplace to facilitate informed and value-based coverage decisions.</p>\",\"PeriodicalId\":520707,\"journal\":{\"name\":\"MDM policy & practice\",\"volume\":\" \",\"pages\":\"2381468317707206\"},\"PeriodicalIF\":1.7000,\"publicationDate\":\"2017-05-05\",\"publicationTypes\":\"Journal Article\",\"fieldsOfStudy\":null,\"isOpenAccess\":false,\"openAccessPdf\":\"https://sci-hub-pdf.com/10.1177/2381468317707206\",\"citationCount\":\"3\",\"resultStr\":null,\"platform\":\"Semanticscholar\",\"paperid\":null,\"PeriodicalName\":\"MDM policy & practice\",\"FirstCategoryId\":\"1085\",\"ListUrlMain\":\"https://doi.org/10.1177/2381468317707206\",\"RegionNum\":0,\"RegionCategory\":null,\"ArticlePicture\":[],\"TitleCN\":null,\"AbstractTextCN\":null,\"PMCID\":null,\"EPubDate\":\"2017/1/1 0:00:00\",\"PubModel\":\"eCollection\",\"JCR\":\"\",\"JCRName\":\"\",\"Score\":null,\"Total\":0}","platform":"Semanticscholar","paperid":null,"PeriodicalName":"MDM policy & practice","FirstCategoryId":"1085","ListUrlMain":"https://doi.org/10.1177/2381468317707206","RegionNum":0,"RegionCategory":null,"ArticlePicture":[],"TitleCN":null,"AbstractTextCN":null,"PMCID":null,"EPubDate":"2017/1/1 0:00:00","PubModel":"eCollection","JCR":"","JCRName":"","Score":null,"Total":0}
引用次数: 3

摘要

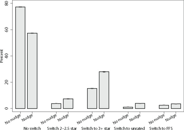
私人医疗保险优势计划之间存在相当大的质量差异,因此受益人做出明智的选择非常重要。在2013年保险年度的公开登记期间,医疗保险和医疗补助服务中心(Centers for Medicare & Medicaid Services)致信参加低质量医疗保险优势计划(即至少连续3年被医疗保险评级低于3星的计划)的受益人,解释星级,并鼓励他们重新审视自己的选择。为了了解这些低成本的、行为性的“助推”信件的有效性,我们使用了一个受益人水平的国家回顾性队列,并对2013年开放登记期间参加评级低于3星计划的人的计划选择进行了多元回归分析。我们的分析控制了受益人的人口特征、健康和医疗保健支出风险、当地市场上可选择的更高评级的计划以及从计划中退出的历史比率。我们比较了那些收到激励信的受益人和那些参加了类似评级差的计划但没有收到此类信件的受益人的行为。我们发现,与没有收到信件的受益人相比,收到推动信的受益人几乎有两倍的可能性(28.0%[95%置信区间= 27.7%,28.2%]对15.3%[95%置信区间= 15.1%,15.5%])切换到更高评级的计划。白人受益人、更健康的受益人和那些居住在计划选择更高效的地区的人更有可能在轻推的情况下改变计划。我们的研究结果强调了向受益人提供有关保险市场质量的及时和可操作信息的重要性和有效性,以促进知情和基于价值的保险决策。
本文章由计算机程序翻译,如有差异,请以英文原文为准。

Encouraging Medicare Advantage Enrollees to Switch to Higher Quality Plans: Assessing the Effectiveness of a "Nudge" Letter.

Encouraging Medicare Advantage Enrollees to Switch to Higher Quality Plans: Assessing the Effectiveness of a "Nudge" Letter.

Encouraging Medicare Advantage Enrollees to Switch to Higher Quality Plans: Assessing the Effectiveness of a "Nudge" Letter.

Encouraging Medicare Advantage Enrollees to Switch to Higher Quality Plans: Assessing the Effectiveness of a "Nudge" Letter.

There are considerable quality differences across private Medicare Advantage insurance plans, so it is important that beneficiaries make informed choices. During open enrollment for the 2013 coverage year, the Centers for Medicare & Medicaid Services sent letters to beneficiaries enrolled in low-quality Medicare Advantage plans (i.e., plans rated less than 3 stars for at least 3 consecutive years by Medicare) explaining the stars and encouraging them to reexamine their choices. To understand the effectiveness of these low-cost, behavioral "nudge" letters, we used a beneficiary-level national retrospective cohort and performed multivariate regression analysis of plan selection during the 2013 open enrollment period among those enrolled in plans rated less than 3 stars. Our analysis controls for beneficiary demographic characteristics, health and health care spending risks, the availability of alternative higher rated plan options in their local market, and historical disenrollment rates from the plans. We compared the behaviors of those beneficiaries who received the nudge letters with those who enrolled in similar poorly rated plans but did not receive such letters. We found that beneficiaries who received the nudge letter were almost twice as likely (28.0% [95% confidence interval = 27.7%, 28.2%] vs. 15.3% [95% confidence interval = 15.1%, 15.5%]) to switch to a higher rated plan compared with those who did not receive the letter. White beneficiaries, healthier beneficiaries, and those residing in areas with more high-performing plan choices were more likely to switch plans in response to the nudge. Our findings highlight both the importance and efficacy of providing timely and actionable information to beneficiaries about quality in the insurance marketplace to facilitate informed and value-based coverage decisions.

求助全文
通过发布文献求助,成功后即可免费获取论文全文。 去求助
来源期刊
自引率
0.00%
发文量
0
×
引用
GB/T 7714-2015
复制
MLA
复制
APA
复制
导出至
BibTeX EndNote RefMan NoteFirst NoteExpress
×
提示
您的信息不完整,为了账户安全,请先补充。
现在去补充
×
提示
您因"违规操作"
具体请查看互助需知
我知道了
×
提示
确定
请完成安全验证×
copy
已复制链接
快去分享给好友吧!
我知道了
右上角分享
点击右上角分享
0
联系我们:info@booksci.cn Book学术提供免费学术资源搜索服务,方便国内外学者检索中英文文献。致力于提供最便捷和优质的服务体验。 Copyright © 2023 布克学术 All rights reserved.
京ICP备2023020795号-1
ghs 京公网安备 11010802042870号
Book学术文献互助
Book学术文献互助群
群 号:604180095
Book学术官方微信