改进的广义交替乘法的收敛性分析。

IF 1.6 3区 数学 Q1 Mathematics
Journal of Inequalities and Applications Pub Date : 2018-01-01 Epub Date: 2018-06-08 DOI:10.1186/s13660-018-1721-z
Sha Lu, Zengxin Wei
{"title":"改进的广义交替乘法的收敛性分析。","authors":"Sha Lu, Zengxin Wei","doi":"10.1186/s13660-018-1721-z","DOIUrl":null,"url":null,"abstract":"<p><p>The alternating direction method of multipliers (ADMM) is one of the most powerful and successful methods for solving convex composite minimization problem. The generalized ADMM relaxes both the variables and the multipliers with a common relaxation factor in <math><mo>(</mo><mn>0</mn><mo>,</mo><mn>2</mn><mo>)</mo></math> , which has the potential of enhancing the performance of the classic ADMM. Very recently, two different variants of semi-proximal generalized ADMM have been proposed. They allow the weighting matrix in the proximal terms to be positive semidefinite, which makes the subproblems relatively easy to evaluate. One of the variants of semi-proximal generalized ADMMs has been analyzed theoretically, but the convergence result of the other is not known so far. This paper aims to remedy this deficiency and establish its convergence result under some mild conditions in the sense that the relaxation factor is also restricted into <math><mo>(</mo><mn>0</mn><mo>,</mo><mn>2</mn><mo>)</mo></math> .</p>","PeriodicalId":49163,"journal":{"name":"Journal of Inequalities and Applications","volume":"2018 1","pages":"129"},"PeriodicalIF":1.6000,"publicationDate":"2018-01-01","publicationTypes":"Journal Article","fieldsOfStudy":null,"isOpenAccess":false,"openAccessPdf":"https://www.ncbi.nlm.nih.gov/pmc/articles/PMC5993865/pdf/","citationCount":"0","resultStr":"{\"title\":\"Convergence analysis on a modified generalized alternating direction method of multipliers.\",\"authors\":\"Sha Lu, Zengxin Wei\",\"doi\":\"10.1186/s13660-018-1721-z\",\"DOIUrl\":null,\"url\":null,\"abstract\":\"<p><p>The alternating direction method of multipliers (ADMM) is one of the most powerful and successful methods for solving convex composite minimization problem. The generalized ADMM relaxes both the variables and the multipliers with a common relaxation factor in <math><mo>(</mo><mn>0</mn><mo>,</mo><mn>2</mn><mo>)</mo></math> , which has the potential of enhancing the performance of the classic ADMM. Very recently, two different variants of semi-proximal generalized ADMM have been proposed. They allow the weighting matrix in the proximal terms to be positive semidefinite, which makes the subproblems relatively easy to evaluate. One of the variants of semi-proximal generalized ADMMs has been analyzed theoretically, but the convergence result of the other is not known so far. This paper aims to remedy this deficiency and establish its convergence result under some mild conditions in the sense that the relaxation factor is also restricted into <math><mo>(</mo><mn>0</mn><mo>,</mo><mn>2</mn><mo>)</mo></math> .</p>\",\"PeriodicalId\":49163,\"journal\":{\"name\":\"Journal of Inequalities and Applications\",\"volume\":\"2018 1\",\"pages\":\"129\"},\"PeriodicalIF\":1.6000,\"publicationDate\":\"2018-01-01\",\"publicationTypes\":\"Journal Article\",\"fieldsOfStudy\":null,\"isOpenAccess\":false,\"openAccessPdf\":\"https://www.ncbi.nlm.nih.gov/pmc/articles/PMC5993865/pdf/\",\"citationCount\":\"0\",\"resultStr\":null,\"platform\":\"Semanticscholar\",\"paperid\":null,\"PeriodicalName\":\"Journal of Inequalities and Applications\",\"FirstCategoryId\":\"100\",\"ListUrlMain\":\"https://doi.org/10.1186/s13660-018-1721-z\",\"RegionNum\":3,\"RegionCategory\":\"数学\",\"ArticlePicture\":[],\"TitleCN\":null,\"AbstractTextCN\":null,\"PMCID\":null,\"EPubDate\":\"2018/6/8 0:00:00\",\"PubModel\":\"Epub\",\"JCR\":\"Q1\",\"JCRName\":\"Mathematics\",\"Score\":null,\"Total\":0}","platform":"Semanticscholar","paperid":null,"PeriodicalName":"Journal of Inequalities and Applications","FirstCategoryId":"100","ListUrlMain":"https://doi.org/10.1186/s13660-018-1721-z","RegionNum":3,"RegionCategory":"数学","ArticlePicture":[],"TitleCN":null,"AbstractTextCN":null,"PMCID":null,"EPubDate":"2018/6/8 0:00:00","PubModel":"Epub","JCR":"Q1","JCRName":"Mathematics","Score":null,"Total":0}
引用次数: 0

摘要

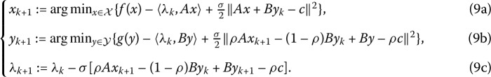
乘数交替方向法(ADMM)是解决凸复合最小化问题最有效、最成功的方法之一。广义 ADMM 采用 (0,2) 范围内的共同松弛因子对变量和乘数进行松弛,从而有可能提高经典 ADMM 的性能。最近,有两种不同的半近似广义 ADMM 变体被提出。它们允许近端项的加权矩阵为正半有限元,这使得子问题的评估相对容易。半近似广义 ADMM 的其中一种变体已在理论上进行了分析,但另一种变体的收敛结果迄今尚不清楚。本文旨在弥补这一不足,在松弛因子也限制在 (0,2) 范围内的一些温和条件下,建立其收敛结果。
本文章由计算机程序翻译,如有差异,请以英文原文为准。

Convergence analysis on a modified generalized alternating direction method of multipliers.

Convergence analysis on a modified generalized alternating direction method of multipliers.

Convergence analysis on a modified generalized alternating direction method of multipliers.

Convergence analysis on a modified generalized alternating direction method of multipliers.

The alternating direction method of multipliers (ADMM) is one of the most powerful and successful methods for solving convex composite minimization problem. The generalized ADMM relaxes both the variables and the multipliers with a common relaxation factor in (0,2) , which has the potential of enhancing the performance of the classic ADMM. Very recently, two different variants of semi-proximal generalized ADMM have been proposed. They allow the weighting matrix in the proximal terms to be positive semidefinite, which makes the subproblems relatively easy to evaluate. One of the variants of semi-proximal generalized ADMMs has been analyzed theoretically, but the convergence result of the other is not known so far. This paper aims to remedy this deficiency and establish its convergence result under some mild conditions in the sense that the relaxation factor is also restricted into (0,2) .

求助全文
通过发布文献求助,成功后即可免费获取论文全文。 去求助
来源期刊
Journal of Inequalities and Applications
Journal of Inequalities and Applications MATHEMATICS, APPLIED-MATHEMATICS
CiteScore
3.30
自引率
6.20%
发文量
136
审稿时长
3 months
期刊介绍: The aim of this journal is to provide a multi-disciplinary forum of discussion in mathematics and its applications in which the essentiality of inequalities is highlighted. This Journal accepts high quality articles containing original research results and survey articles of exceptional merit. Subject matters should be strongly related to inequalities, such as, but not restricted to, the following: inequalities in analysis, inequalities in approximation theory, inequalities in combinatorics, inequalities in economics, inequalities in geometry, inequalities in mechanics, inequalities in optimization, inequalities in stochastic analysis and applications.
×
引用
GB/T 7714-2015
复制
MLA
复制
APA
复制
导出至
BibTeX EndNote RefMan NoteFirst NoteExpress
×
提示
您的信息不完整,为了账户安全,请先补充。
现在去补充
×
提示
您因"违规操作"
具体请查看互助需知
我知道了
×
提示
确定
请完成安全验证×
copy
已复制链接
快去分享给好友吧!
我知道了
右上角分享
点击右上角分享
0
联系我们:info@booksci.cn Book学术提供免费学术资源搜索服务,方便国内外学者检索中英文文献。致力于提供最便捷和优质的服务体验。 Copyright © 2023 布克学术 All rights reserved.
京ICP备2023020795号-1
ghs 京公网安备 11010802042870号
Book学术文献互助
Book学术文献互助群
群 号:604180095
Book学术官方微信