高须动脉炎患者暴露于分枝杆菌脐带因子类似物海藻糖- 6,6 -二白酚酸(TDB)后白细胞介素-6的高分泌和MINCLE受体表达的增加

Q4 Medicine
Open Rheumatology Journal Pub Date : 2018-03-28 eCollection Date: 2018-01-01 DOI:10.2174/1874312901812010030
Nikhil Gupta, Jayakanthan Kabeerdoss, Hindhumathi Mohan, Ruchika Goel, Debashish Danda
{"title":"高须动脉炎患者暴露于分枝杆菌脐带因子类似物海藻糖- 6,6 -二白酚酸(TDB)后白细胞介素-6的高分泌和MINCLE受体表达的增加","authors":"Nikhil Gupta,&nbsp;Jayakanthan Kabeerdoss,&nbsp;Hindhumathi Mohan,&nbsp;Ruchika Goel,&nbsp;Debashish Danda","doi":"10.2174/1874312901812010030","DOIUrl":null,"url":null,"abstract":"<p><strong>Introduction: </strong>Suspicion on the association between Takayasu Arteritis (TA) and Tubcerculosis (TB) has been in vogue for years. Prevalence of TB in TA is reported to be higher. We aimed to study innate immune responses in patients with TA on exposure to Trehalose-6,6-dibehenate (TDB), a synthetic analogue of Trehalose-6,6-Dimycolate (TDM, also known as mycobacterial cord factor) in comparison with healthy controls.</p><p><strong>Materials and methods: </strong>Patients with type V TA, satisfying 1990 ACR criteria, and age and sex matched healthy controls were recruited. PBMCs were cultured with 5µg/ml, 50µg/ml or without any TDB for 48 hours in RPMI medium inside a 5% Co2 incubator. IL-6, TNF-α and IL-17 were measured in cell culture supernatant, which was separated from the cells at the end of the incubation period. Gene expressions of IL-6, IL-8, TNFα, IFN-γ, MINCLE and BCL-10 were quantified in real time PCR using specific primers and SYBR green chemistry.</p><p><strong>Results: </strong>Twenty two TA patients and 21 healthy controls were recruited. Both patients and controls showed response by secreting IL-6 and TNF-α upon stimulation by TDB. Relative induction (TDB stimulated TA sample / unstimulated control) of IL-6 was significantly higher in TA [31.88(0.74-168)] patients as compared to healthy controls [1.931(0.644-8.21); p<0.002], when co-cultured with 50µg/ml TDB. The expression of MINCLE, the TDB receptor was higher in TA samples than healthy controls upon TDB stimulation.</p><p><strong>Conclusion: </strong>Stimulation with mycobacterial synthetic analogue led to higher secretion of IL-6 and higher expression of MINCLE in PBMCs of patients with TA as compared to healthy controls.</p>","PeriodicalId":39124,"journal":{"name":"Open Rheumatology Journal","volume":"12 ","pages":"30-36"},"PeriodicalIF":0.0000,"publicationDate":"2018-03-28","publicationTypes":"Journal Article","fieldsOfStudy":null,"isOpenAccess":false,"openAccessPdf":"https://www.ncbi.nlm.nih.gov/pmc/articles/PMC5876924/pdf/","citationCount":"2","resultStr":"{\"title\":\"High Secretion of Interleukin-6 and Increased MINCLE Receptor Expression Upon Exposure to Mycobacterial Cord Factor Analog Trehalose-6, 6-Dibehenate (TDB) in Patients with Takayasu Arteritis.\",\"authors\":\"Nikhil Gupta,&nbsp;Jayakanthan Kabeerdoss,&nbsp;Hindhumathi Mohan,&nbsp;Ruchika Goel,&nbsp;Debashish Danda\",\"doi\":\"10.2174/1874312901812010030\",\"DOIUrl\":null,\"url\":null,\"abstract\":\"<p><strong>Introduction: </strong>Suspicion on the association between Takayasu Arteritis (TA) and Tubcerculosis (TB) has been in vogue for years. Prevalence of TB in TA is reported to be higher. We aimed to study innate immune responses in patients with TA on exposure to Trehalose-6,6-dibehenate (TDB), a synthetic analogue of Trehalose-6,6-Dimycolate (TDM, also known as mycobacterial cord factor) in comparison with healthy controls.</p><p><strong>Materials and methods: </strong>Patients with type V TA, satisfying 1990 ACR criteria, and age and sex matched healthy controls were recruited. PBMCs were cultured with 5µg/ml, 50µg/ml or without any TDB for 48 hours in RPMI medium inside a 5% Co2 incubator. IL-6, TNF-α and IL-17 were measured in cell culture supernatant, which was separated from the cells at the end of the incubation period. Gene expressions of IL-6, IL-8, TNFα, IFN-γ, MINCLE and BCL-10 were quantified in real time PCR using specific primers and SYBR green chemistry.</p><p><strong>Results: </strong>Twenty two TA patients and 21 healthy controls were recruited. Both patients and controls showed response by secreting IL-6 and TNF-α upon stimulation by TDB. Relative induction (TDB stimulated TA sample / unstimulated control) of IL-6 was significantly higher in TA [31.88(0.74-168)] patients as compared to healthy controls [1.931(0.644-8.21); p<0.002], when co-cultured with 50µg/ml TDB. The expression of MINCLE, the TDB receptor was higher in TA samples than healthy controls upon TDB stimulation.</p><p><strong>Conclusion: </strong>Stimulation with mycobacterial synthetic analogue led to higher secretion of IL-6 and higher expression of MINCLE in PBMCs of patients with TA as compared to healthy controls.</p>\",\"PeriodicalId\":39124,\"journal\":{\"name\":\"Open Rheumatology Journal\",\"volume\":\"12 \",\"pages\":\"30-36\"},\"PeriodicalIF\":0.0000,\"publicationDate\":\"2018-03-28\",\"publicationTypes\":\"Journal Article\",\"fieldsOfStudy\":null,\"isOpenAccess\":false,\"openAccessPdf\":\"https://www.ncbi.nlm.nih.gov/pmc/articles/PMC5876924/pdf/\",\"citationCount\":\"2\",\"resultStr\":null,\"platform\":\"Semanticscholar\",\"paperid\":null,\"PeriodicalName\":\"Open Rheumatology Journal\",\"FirstCategoryId\":\"1085\",\"ListUrlMain\":\"https://doi.org/10.2174/1874312901812010030\",\"RegionNum\":0,\"RegionCategory\":null,\"ArticlePicture\":[],\"TitleCN\":null,\"AbstractTextCN\":null,\"PMCID\":null,\"EPubDate\":\"2018/1/1 0:00:00\",\"PubModel\":\"eCollection\",\"JCR\":\"Q4\",\"JCRName\":\"Medicine\",\"Score\":null,\"Total\":0}","platform":"Semanticscholar","paperid":null,"PeriodicalName":"Open Rheumatology Journal","FirstCategoryId":"1085","ListUrlMain":"https://doi.org/10.2174/1874312901812010030","RegionNum":0,"RegionCategory":null,"ArticlePicture":[],"TitleCN":null,"AbstractTextCN":null,"PMCID":null,"EPubDate":"2018/1/1 0:00:00","PubModel":"eCollection","JCR":"Q4","JCRName":"Medicine","Score":null,"Total":0}
引用次数: 2

摘要

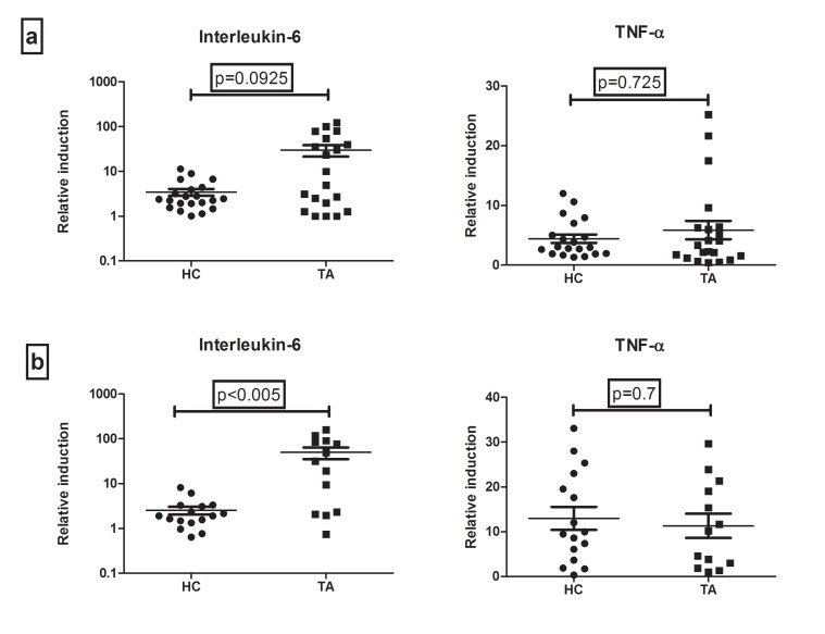
多年来,关于高须动脉炎(TA)与肺结核(TB)之间关系的怀疑一直很流行。据报道,TA地区的结核病患病率较高。我们旨在研究TA患者暴露于海藻糖-6,6-二霉酸酯(TDB)(海藻糖-6,6-二霉酸酯(TDM,也称为分枝杆菌脐带因子)的合成类似物)时的先天免疫反应,并与健康对照进行比较。材料和方法:招募符合1990年ACR标准的V型TA患者,年龄和性别匹配的健康对照。pbmc分别在含5µg/ml、50µg/ml或不含TDB的RPMI培养基中在5% Co2培养箱中培养48小时。IL-6、TNF-α和IL-17在细胞培养上清中测定,上清于孵育期结束时与细胞分离。利用特异性引物和SYBR绿色化学,实时荧光定量PCR检测IL-6、IL-8、TNFα、IFN-γ、MINCLE和BCL-10的基因表达。结果:纳入TA患者22例,健康对照21例。在TDB刺激下,患者和对照组均表现出分泌IL-6和TNF-α的反应。TA患者IL-6的相对诱导量(TDB刺激TA样本/未刺激对照)[31.88(0.74-168)]显著高于健康对照组[1.931(0.644-8.21)];结论:与健康对照组相比,结核分枝杆菌合成类似物刺激可导致TA患者PBMCs中IL-6的分泌增加和MINCLE的表达增加。
本文章由计算机程序翻译,如有差异,请以英文原文为准。

High Secretion of Interleukin-6 and Increased MINCLE Receptor Expression Upon Exposure to Mycobacterial Cord Factor Analog Trehalose-6, 6-Dibehenate (TDB) in Patients with Takayasu Arteritis.

High Secretion of Interleukin-6 and Increased MINCLE Receptor Expression Upon Exposure to Mycobacterial Cord Factor Analog Trehalose-6, 6-Dibehenate (TDB) in Patients with Takayasu Arteritis.

Introduction: Suspicion on the association between Takayasu Arteritis (TA) and Tubcerculosis (TB) has been in vogue for years. Prevalence of TB in TA is reported to be higher. We aimed to study innate immune responses in patients with TA on exposure to Trehalose-6,6-dibehenate (TDB), a synthetic analogue of Trehalose-6,6-Dimycolate (TDM, also known as mycobacterial cord factor) in comparison with healthy controls.

Materials and methods: Patients with type V TA, satisfying 1990 ACR criteria, and age and sex matched healthy controls were recruited. PBMCs were cultured with 5µg/ml, 50µg/ml or without any TDB for 48 hours in RPMI medium inside a 5% Co2 incubator. IL-6, TNF-α and IL-17 were measured in cell culture supernatant, which was separated from the cells at the end of the incubation period. Gene expressions of IL-6, IL-8, TNFα, IFN-γ, MINCLE and BCL-10 were quantified in real time PCR using specific primers and SYBR green chemistry.

Results: Twenty two TA patients and 21 healthy controls were recruited. Both patients and controls showed response by secreting IL-6 and TNF-α upon stimulation by TDB. Relative induction (TDB stimulated TA sample / unstimulated control) of IL-6 was significantly higher in TA [31.88(0.74-168)] patients as compared to healthy controls [1.931(0.644-8.21); p<0.002], when co-cultured with 50µg/ml TDB. The expression of MINCLE, the TDB receptor was higher in TA samples than healthy controls upon TDB stimulation.

Conclusion: Stimulation with mycobacterial synthetic analogue led to higher secretion of IL-6 and higher expression of MINCLE in PBMCs of patients with TA as compared to healthy controls.

求助全文
通过发布文献求助,成功后即可免费获取论文全文。 去求助
来源期刊
Open Rheumatology Journal
Open Rheumatology Journal Medicine-Rheumatology
CiteScore
0.80
自引率
0.00%
发文量
2
期刊介绍: ENTHAM Open publishes a number of peer-reviewed, open access journals. These free-to-view online journals cover all major disciplines of science, medicine, technology and social sciences. BENTHAM Open provides researchers a platform to rapidly publish their research in a good-quality peer-reviewed journal. All peer-reviewed accepted submissions meeting high research and ethical standards are published with free access to all.
×
引用
GB/T 7714-2015
复制
MLA
复制
APA
复制
导出至
BibTeX EndNote RefMan NoteFirst NoteExpress
×
提示
您的信息不完整,为了账户安全,请先补充。
现在去补充
×
提示
您因"违规操作"
具体请查看互助需知
我知道了
×
提示
确定
请完成安全验证×
copy
已复制链接
快去分享给好友吧!
我知道了
右上角分享
点击右上角分享
0
联系我们:info@booksci.cn Book学术提供免费学术资源搜索服务,方便国内外学者检索中英文文献。致力于提供最便捷和优质的服务体验。 Copyright © 2023 布克学术 All rights reserved.
京ICP备2023020795号-1
ghs 京公网安备 11010802042870号
Book学术文献互助
Book学术文献互助群
群 号:604180095
Book学术官方微信