全面性惊厥发作的检测和网络动力学:走向闭环神经调节的合理设计。

Neuroscience journal Pub Date : 2017-01-01 Epub Date: 2017-12-13 DOI:10.1155/2017/9606213
Puneet Dheer, Ganne Chaitanya, Diana Pizarro, Rosana Esteller, Kaushik Majumdar, Sandipan Pati
{"title":"全面性惊厥发作的检测和网络动力学:走向闭环神经调节的合理设计。","authors":"Puneet Dheer,&nbsp;Ganne Chaitanya,&nbsp;Diana Pizarro,&nbsp;Rosana Esteller,&nbsp;Kaushik Majumdar,&nbsp;Sandipan Pati","doi":"10.1155/2017/9606213","DOIUrl":null,"url":null,"abstract":"<p><strong>Objective: </strong>Studies have demonstrated the utility of closed-loop neuromodulation in treating focal onset seizures. There is an utmost need of neurostimulation therapy for generalized tonic-clonic seizures. The study goals are to map the thalamocortical network dynamics during the generalized convulsive seizures and identify targets for reliable seizure detection.</p><p><strong>Methods: </strong>Local field potentials were recorded from bilateral cortex, hippocampi, and centromedian thalami in Sprague-Dawley rats. Pentylenetetrazol was used to induce multiple convulsive seizures. The performances of two automated seizure detection methods (line length and P-operators) as a function of different cortical and subcortical structures were estimated. Multiple linear correlations-Granger's Causality was used to determine the effective connectivity.</p><p><strong>Results: </strong>Of the 29 generalized tonic-clonic seizures analyzed, line length detected 100% of seizures in all the channels while the P-operator detected only 35% of seizures. The detection latencies were shortest in the thalamus in comparison to the cortex. There was a decrease in amplitude correlation within the thalamocortical network during the seizure, and flow of information was decreased from thalamus to hippocampal-parietal nodes.</p><p><strong>Significance: </strong>The preclinical study confirms thalamus as a superior target for automated detection of generalized seizures and modulation of synchrony to increase coupling may be a strategy to abate seizures.</p>","PeriodicalId":91144,"journal":{"name":"Neuroscience journal","volume":"2017 ","pages":"9606213"},"PeriodicalIF":0.0000,"publicationDate":"2017-01-01","publicationTypes":"Journal Article","fieldsOfStudy":null,"isOpenAccess":false,"openAccessPdf":"https://sci-hub-pdf.com/10.1155/2017/9606213","citationCount":"3","resultStr":"{\"title\":\"Seizure Detection and Network Dynamics of Generalized Convulsive Seizures: Towards Rational Designing of Closed-Loop Neuromodulation.\",\"authors\":\"Puneet Dheer,&nbsp;Ganne Chaitanya,&nbsp;Diana Pizarro,&nbsp;Rosana Esteller,&nbsp;Kaushik Majumdar,&nbsp;Sandipan Pati\",\"doi\":\"10.1155/2017/9606213\",\"DOIUrl\":null,\"url\":null,\"abstract\":\"<p><strong>Objective: </strong>Studies have demonstrated the utility of closed-loop neuromodulation in treating focal onset seizures. There is an utmost need of neurostimulation therapy for generalized tonic-clonic seizures. The study goals are to map the thalamocortical network dynamics during the generalized convulsive seizures and identify targets for reliable seizure detection.</p><p><strong>Methods: </strong>Local field potentials were recorded from bilateral cortex, hippocampi, and centromedian thalami in Sprague-Dawley rats. Pentylenetetrazol was used to induce multiple convulsive seizures. The performances of two automated seizure detection methods (line length and P-operators) as a function of different cortical and subcortical structures were estimated. Multiple linear correlations-Granger's Causality was used to determine the effective connectivity.</p><p><strong>Results: </strong>Of the 29 generalized tonic-clonic seizures analyzed, line length detected 100% of seizures in all the channels while the P-operator detected only 35% of seizures. The detection latencies were shortest in the thalamus in comparison to the cortex. There was a decrease in amplitude correlation within the thalamocortical network during the seizure, and flow of information was decreased from thalamus to hippocampal-parietal nodes.</p><p><strong>Significance: </strong>The preclinical study confirms thalamus as a superior target for automated detection of generalized seizures and modulation of synchrony to increase coupling may be a strategy to abate seizures.</p>\",\"PeriodicalId\":91144,\"journal\":{\"name\":\"Neuroscience journal\",\"volume\":\"2017 \",\"pages\":\"9606213\"},\"PeriodicalIF\":0.0000,\"publicationDate\":\"2017-01-01\",\"publicationTypes\":\"Journal Article\",\"fieldsOfStudy\":null,\"isOpenAccess\":false,\"openAccessPdf\":\"https://sci-hub-pdf.com/10.1155/2017/9606213\",\"citationCount\":\"3\",\"resultStr\":null,\"platform\":\"Semanticscholar\",\"paperid\":null,\"PeriodicalName\":\"Neuroscience journal\",\"FirstCategoryId\":\"1085\",\"ListUrlMain\":\"https://doi.org/10.1155/2017/9606213\",\"RegionNum\":0,\"RegionCategory\":null,\"ArticlePicture\":[],\"TitleCN\":null,\"AbstractTextCN\":null,\"PMCID\":null,\"EPubDate\":\"2017/12/13 0:00:00\",\"PubModel\":\"Epub\",\"JCR\":\"\",\"JCRName\":\"\",\"Score\":null,\"Total\":0}","platform":"Semanticscholar","paperid":null,"PeriodicalName":"Neuroscience journal","FirstCategoryId":"1085","ListUrlMain":"https://doi.org/10.1155/2017/9606213","RegionNum":0,"RegionCategory":null,"ArticlePicture":[],"TitleCN":null,"AbstractTextCN":null,"PMCID":null,"EPubDate":"2017/12/13 0:00:00","PubModel":"Epub","JCR":"","JCRName":"","Score":null,"Total":0}
引用次数: 3

摘要

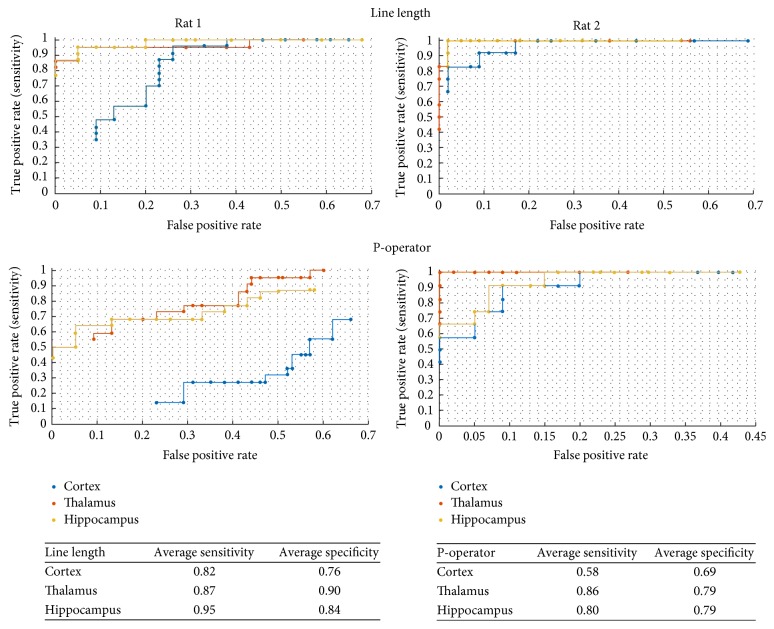
目的:研究表明闭环神经调节在治疗局灶性癫痫发作中的作用。对于全身性强直阵挛性癫痫,迫切需要神经刺激治疗。研究的目的是绘制全身性惊厥发作时丘脑皮质网络的动态,并确定可靠的癫痫发作检测的目标。方法:分别记录sd大鼠双侧皮质、海马和丘脑中央区的局部场电位。戊四唑用于诱导多次惊厥发作。估计了两种自动癫痫检测方法(线长和p算子)作为不同皮层和皮层下结构函数的性能。多重线性相关-格兰杰因果关系用于确定有效连通性。结果:在分析的29例全身性强直阵挛发作中,线长检测到所有通道中100%的癫痫发作,而p算子仅检测到35%的癫痫发作。与大脑皮层相比,丘脑的检测潜伏期最短。在癫痫发作期间,丘脑皮质网络内的振幅相关性降低,从丘脑到海马顶叶节点的信息流减少。意义:临床前研究证实丘脑是自动检测全身性癫痫发作的优越靶点,调节同步以增加耦合可能是减轻癫痫发作的一种策略。
本文章由计算机程序翻译,如有差异,请以英文原文为准。

Seizure Detection and Network Dynamics of Generalized Convulsive Seizures: Towards Rational Designing of Closed-Loop Neuromodulation.

Seizure Detection and Network Dynamics of Generalized Convulsive Seizures: Towards Rational Designing of Closed-Loop Neuromodulation.

Seizure Detection and Network Dynamics of Generalized Convulsive Seizures: Towards Rational Designing of Closed-Loop Neuromodulation.

Seizure Detection and Network Dynamics of Generalized Convulsive Seizures: Towards Rational Designing of Closed-Loop Neuromodulation.

Objective: Studies have demonstrated the utility of closed-loop neuromodulation in treating focal onset seizures. There is an utmost need of neurostimulation therapy for generalized tonic-clonic seizures. The study goals are to map the thalamocortical network dynamics during the generalized convulsive seizures and identify targets for reliable seizure detection.

Methods: Local field potentials were recorded from bilateral cortex, hippocampi, and centromedian thalami in Sprague-Dawley rats. Pentylenetetrazol was used to induce multiple convulsive seizures. The performances of two automated seizure detection methods (line length and P-operators) as a function of different cortical and subcortical structures were estimated. Multiple linear correlations-Granger's Causality was used to determine the effective connectivity.

Results: Of the 29 generalized tonic-clonic seizures analyzed, line length detected 100% of seizures in all the channels while the P-operator detected only 35% of seizures. The detection latencies were shortest in the thalamus in comparison to the cortex. There was a decrease in amplitude correlation within the thalamocortical network during the seizure, and flow of information was decreased from thalamus to hippocampal-parietal nodes.

Significance: The preclinical study confirms thalamus as a superior target for automated detection of generalized seizures and modulation of synchrony to increase coupling may be a strategy to abate seizures.

求助全文
通过发布文献求助,成功后即可免费获取论文全文。 去求助
来源期刊
自引率
0.00%
发文量
0
×
引用
GB/T 7714-2015
复制
MLA
复制
APA
复制
导出至
BibTeX EndNote RefMan NoteFirst NoteExpress
×
提示
您的信息不完整,为了账户安全,请先补充。
现在去补充
×
提示
您因"违规操作"
具体请查看互助需知
我知道了
×
提示
确定
请完成安全验证×
copy
已复制链接
快去分享给好友吧!
我知道了
右上角分享
点击右上角分享
0
联系我们:info@booksci.cn Book学术提供免费学术资源搜索服务,方便国内外学者检索中英文文献。致力于提供最便捷和优质的服务体验。 Copyright © 2023 布克学术 All rights reserved.
京ICP备2023020795号-1
ghs 京公网安备 11010802042870号
Book学术文献互助
Book学术文献互助群
群 号:604180095
Book学术官方微信