用于耳科外科训练的Voxel-Man®模拟器的结构、面部和内容验证。

International Journal of Otolaryngology Pub Date : 2017-01-01 Epub Date: 2017-05-03 DOI:10.1155/2017/2707690
M Varoquier, C P Hoffmann, C Perrenot, N Tran, C Parietti-Winkler
{"title":"用于耳科外科训练的Voxel-Man®模拟器的结构、面部和内容验证。","authors":"M Varoquier,&nbsp;C P Hoffmann,&nbsp;C Perrenot,&nbsp;N Tran,&nbsp;C Parietti-Winkler","doi":"10.1155/2017/2707690","DOIUrl":null,"url":null,"abstract":"<p><p><i>Objective</i>. To assess the face, content, and construct validity of the Voxel-Man TempoSurg Virtual Reality simulator. <i>Participants and Methods</i>. 74 ear, nose, and throat (ENT) surgeons participated. They were assigned to one of two groups according to their level of expertise: the expert group (<i>n</i> = 16) and the novice group (<i>n</i> = 58). The participants performed four temporal bone dissection tasks on the simulator. Performances were assessed by a global score and then compared to assess the construct validity of the simulator. Finally, the expert group assessed the face and content validity by means of a five-point Likert-type scale. <i>Results</i>. experienced surgeons performed better (<i>p</i> < .01) and faster (<i>p</i> < .001) than the novices. However, the groups did not differ in terms of bone volume removed (<i>p</i> = .11) or number of injuries (<i>p</i> = .37). 93.7% of experienced surgeons stated they would recommend this simulator for anatomical learning. Most (87.5%) also thought that it could be integrated into surgical training. <i>Conclusion</i>. The Voxel-Man TempoSurg Virtual Reality simulator constitutes an interesting complementary tool to traditional teaching methods for training in otologic surgery.</p>","PeriodicalId":32361,"journal":{"name":"International Journal of Otolaryngology","volume":"2017 ","pages":"2707690"},"PeriodicalIF":0.0000,"publicationDate":"2017-01-01","publicationTypes":"Journal Article","fieldsOfStudy":null,"isOpenAccess":false,"openAccessPdf":"https://sci-hub-pdf.com/10.1155/2017/2707690","citationCount":"25","resultStr":"{\"title\":\"Construct, Face, and Content Validation on Voxel-Man® Simulator for Otologic Surgical Training.\",\"authors\":\"M Varoquier,&nbsp;C P Hoffmann,&nbsp;C Perrenot,&nbsp;N Tran,&nbsp;C Parietti-Winkler\",\"doi\":\"10.1155/2017/2707690\",\"DOIUrl\":null,\"url\":null,\"abstract\":\"<p><p><i>Objective</i>. To assess the face, content, and construct validity of the Voxel-Man TempoSurg Virtual Reality simulator. <i>Participants and Methods</i>. 74 ear, nose, and throat (ENT) surgeons participated. They were assigned to one of two groups according to their level of expertise: the expert group (<i>n</i> = 16) and the novice group (<i>n</i> = 58). The participants performed four temporal bone dissection tasks on the simulator. Performances were assessed by a global score and then compared to assess the construct validity of the simulator. Finally, the expert group assessed the face and content validity by means of a five-point Likert-type scale. <i>Results</i>. experienced surgeons performed better (<i>p</i> < .01) and faster (<i>p</i> < .001) than the novices. However, the groups did not differ in terms of bone volume removed (<i>p</i> = .11) or number of injuries (<i>p</i> = .37). 93.7% of experienced surgeons stated they would recommend this simulator for anatomical learning. Most (87.5%) also thought that it could be integrated into surgical training. <i>Conclusion</i>. The Voxel-Man TempoSurg Virtual Reality simulator constitutes an interesting complementary tool to traditional teaching methods for training in otologic surgery.</p>\",\"PeriodicalId\":32361,\"journal\":{\"name\":\"International Journal of Otolaryngology\",\"volume\":\"2017 \",\"pages\":\"2707690\"},\"PeriodicalIF\":0.0000,\"publicationDate\":\"2017-01-01\",\"publicationTypes\":\"Journal Article\",\"fieldsOfStudy\":null,\"isOpenAccess\":false,\"openAccessPdf\":\"https://sci-hub-pdf.com/10.1155/2017/2707690\",\"citationCount\":\"25\",\"resultStr\":null,\"platform\":\"Semanticscholar\",\"paperid\":null,\"PeriodicalName\":\"International Journal of Otolaryngology\",\"FirstCategoryId\":\"1085\",\"ListUrlMain\":\"https://doi.org/10.1155/2017/2707690\",\"RegionNum\":0,\"RegionCategory\":null,\"ArticlePicture\":[],\"TitleCN\":null,\"AbstractTextCN\":null,\"PMCID\":null,\"EPubDate\":\"2017/5/3 0:00:00\",\"PubModel\":\"Epub\",\"JCR\":\"\",\"JCRName\":\"\",\"Score\":null,\"Total\":0}","platform":"Semanticscholar","paperid":null,"PeriodicalName":"International Journal of Otolaryngology","FirstCategoryId":"1085","ListUrlMain":"https://doi.org/10.1155/2017/2707690","RegionNum":0,"RegionCategory":null,"ArticlePicture":[],"TitleCN":null,"AbstractTextCN":null,"PMCID":null,"EPubDate":"2017/5/3 0:00:00","PubModel":"Epub","JCR":"","JCRName":"","Score":null,"Total":0}
引用次数: 25

摘要

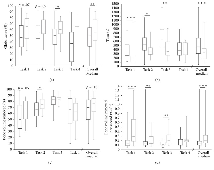
目标。评估体素-人TempoSurg虚拟现实模拟器的面部、内容和结构有效性。参与者和方法:74名耳鼻喉外科医生参与研究。根据他们的专业水平,他们被分为两组:专家组(n = 16)和新手组(n = 58)。参与者在模拟器上执行了四项颞骨解剖任务。通过整体评分来评估性能,然后进行比较,以评估模拟器的构造有效性。最后,专家组采用李克特五分制量表对面孔效度和内容效度进行评估。结果。经验丰富的外科医生比新手表现更好(p < 0.01),速度更快(p < 0.001)。然而,两组在骨移除量(p = 0.11)或损伤数(p = 0.37)方面没有差异。93.7%的经验丰富的外科医生表示他们会推荐使用该模拟器进行解剖学习。大多数(87.5%)还认为可以将其纳入外科培训。结论。Voxel-Man TempoSurg虚拟现实模拟器是传统耳外科培训教学方法的有趣补充工具。
本文章由计算机程序翻译,如有差异,请以英文原文为准。

Construct, Face, and Content Validation on Voxel-Man® Simulator for Otologic Surgical Training.

Construct, Face, and Content Validation on Voxel-Man® Simulator for Otologic Surgical Training.

Construct, Face, and Content Validation on Voxel-Man® Simulator for Otologic Surgical Training.

Construct, Face, and Content Validation on Voxel-Man® Simulator for Otologic Surgical Training.

Objective. To assess the face, content, and construct validity of the Voxel-Man TempoSurg Virtual Reality simulator. Participants and Methods. 74 ear, nose, and throat (ENT) surgeons participated. They were assigned to one of two groups according to their level of expertise: the expert group (n = 16) and the novice group (n = 58). The participants performed four temporal bone dissection tasks on the simulator. Performances were assessed by a global score and then compared to assess the construct validity of the simulator. Finally, the expert group assessed the face and content validity by means of a five-point Likert-type scale. Results. experienced surgeons performed better (p < .01) and faster (p < .001) than the novices. However, the groups did not differ in terms of bone volume removed (p = .11) or number of injuries (p = .37). 93.7% of experienced surgeons stated they would recommend this simulator for anatomical learning. Most (87.5%) also thought that it could be integrated into surgical training. Conclusion. The Voxel-Man TempoSurg Virtual Reality simulator constitutes an interesting complementary tool to traditional teaching methods for training in otologic surgery.

求助全文
通过发布文献求助,成功后即可免费获取论文全文。 去求助
来源期刊
自引率
0.00%
发文量
9
审稿时长
22 weeks
×
引用
GB/T 7714-2015
复制
MLA
复制
APA
复制
导出至
BibTeX EndNote RefMan NoteFirst NoteExpress
×
提示
您的信息不完整,为了账户安全,请先补充。
现在去补充
×
提示
您因"违规操作"
具体请查看互助需知
我知道了
×
提示
确定
请完成安全验证×
copy
已复制链接
快去分享给好友吧!
我知道了
右上角分享
点击右上角分享
0
联系我们:info@booksci.cn Book学术提供免费学术资源搜索服务,方便国内外学者检索中英文文献。致力于提供最便捷和优质的服务体验。 Copyright © 2023 布克学术 All rights reserved.
京ICP备2023020795号-1
ghs 京公网安备 11010802042870号
Book学术文献互助
Book学术文献互助群
群 号:604180095
Book学术官方微信