是好是坏:由于COVID-19大流行,自我报告的Kratom和其他物质使用变化。

IF 2.4 Q3 SUBSTANCE ABUSE
Substance Abuse: Research and Treatment Pub Date : 2022-09-28 eCollection Date: 2022-01-01 DOI:10.1177/11782218221123977
Jeffrey M Rogers, Kirsten E Smith, Destiny Schriefer, David H Epstein
{"title":"是好是坏:由于COVID-19大流行,自我报告的Kratom和其他物质使用变化。","authors":"Jeffrey M Rogers,&nbsp;Kirsten E Smith,&nbsp;Destiny Schriefer,&nbsp;David H Epstein","doi":"10.1177/11782218221123977","DOIUrl":null,"url":null,"abstract":"<p><strong>Background: </strong>Kratom is taken to self-treat pain and symptoms of psychiatric disorders, including substance-use disorders (SUDs) and opioid withdrawal. Before COVID-19, kratom use was increasing in the US, however, there are few published data on whether that trend continued during the COVID-19 pandemic, which could have affected kratom use in multiple ways.</p><p><strong>Aim: </strong>To examine COVID-19-related changes in kratom use and how these changes were experienced, relative to changes in other commonly used substances.</p><p><strong>Methods: </strong>Using Amazon Mechanical Turk, 2615 evaluable surveys were completed between September 2020 and March 2021. Responses from past-month and past-year kratom-using adults (N = 174) indicating changes for the better or worse were examined using generalized linear mixed effects models, and relevant open-text responses (n = 85) were thematically coded.</p><p><strong>Results: </strong>For kratom 33% (n = 58) reported a Covid-related increase and 24% (n = 42) reported a Covid-related decrease. Controlling for changes in amount used, alcohol (OR = 5.02), tobacco (OR = 4.72), and nonmedical opioid use (OR = 3.42) were all more likely to have changed for the worse, compared with kratom use. Relative to decreases in kratom use, decreases in alcohol (OR = 3.21) and tobacco (OR = 6.18) use were more likely to be changes for the better. Cannabis use was the only substance to display a probability lower than 50% of being a decrease for the better, and of the increases, cannabis use displayed the highest probability of being for the better.</p><p><strong>Conclusions: </strong>Increases in kratom and cannabis use were less likely than alcohol and tobacco to be reported as changes for the worse, and decreases in kratom and cannabis use were more likely than alcohol and tobacco to be reported as changes for the better. These findings indicate that people differently conceptualize their relationships with kratom and cannabis, compared to their relationships with alcohol and tobacco.</p>","PeriodicalId":22185,"journal":{"name":"Substance Abuse: Research and Treatment","volume":" ","pages":"11782218221123977"},"PeriodicalIF":2.4000,"publicationDate":"2022-09-28","publicationTypes":"Journal Article","fieldsOfStudy":null,"isOpenAccess":false,"openAccessPdf":"https://www.ncbi.nlm.nih.gov/pmc/articles/PMC9527987/pdf/","citationCount":"4","resultStr":"{\"title\":\"For Better or Worse: Self-reported Changes in Kratom and Other Substance Use as a Result of the COVID-19 Pandemic.\",\"authors\":\"Jeffrey M Rogers,&nbsp;Kirsten E Smith,&nbsp;Destiny Schriefer,&nbsp;David H Epstein\",\"doi\":\"10.1177/11782218221123977\",\"DOIUrl\":null,\"url\":null,\"abstract\":\"<p><strong>Background: </strong>Kratom is taken to self-treat pain and symptoms of psychiatric disorders, including substance-use disorders (SUDs) and opioid withdrawal. Before COVID-19, kratom use was increasing in the US, however, there are few published data on whether that trend continued during the COVID-19 pandemic, which could have affected kratom use in multiple ways.</p><p><strong>Aim: </strong>To examine COVID-19-related changes in kratom use and how these changes were experienced, relative to changes in other commonly used substances.</p><p><strong>Methods: </strong>Using Amazon Mechanical Turk, 2615 evaluable surveys were completed between September 2020 and March 2021. Responses from past-month and past-year kratom-using adults (N = 174) indicating changes for the better or worse were examined using generalized linear mixed effects models, and relevant open-text responses (n = 85) were thematically coded.</p><p><strong>Results: </strong>For kratom 33% (n = 58) reported a Covid-related increase and 24% (n = 42) reported a Covid-related decrease. Controlling for changes in amount used, alcohol (OR = 5.02), tobacco (OR = 4.72), and nonmedical opioid use (OR = 3.42) were all more likely to have changed for the worse, compared with kratom use. Relative to decreases in kratom use, decreases in alcohol (OR = 3.21) and tobacco (OR = 6.18) use were more likely to be changes for the better. Cannabis use was the only substance to display a probability lower than 50% of being a decrease for the better, and of the increases, cannabis use displayed the highest probability of being for the better.</p><p><strong>Conclusions: </strong>Increases in kratom and cannabis use were less likely than alcohol and tobacco to be reported as changes for the worse, and decreases in kratom and cannabis use were more likely than alcohol and tobacco to be reported as changes for the better. These findings indicate that people differently conceptualize their relationships with kratom and cannabis, compared to their relationships with alcohol and tobacco.</p>\",\"PeriodicalId\":22185,\"journal\":{\"name\":\"Substance Abuse: Research and Treatment\",\"volume\":\" \",\"pages\":\"11782218221123977\"},\"PeriodicalIF\":2.4000,\"publicationDate\":\"2022-09-28\",\"publicationTypes\":\"Journal Article\",\"fieldsOfStudy\":null,\"isOpenAccess\":false,\"openAccessPdf\":\"https://www.ncbi.nlm.nih.gov/pmc/articles/PMC9527987/pdf/\",\"citationCount\":\"4\",\"resultStr\":null,\"platform\":\"Semanticscholar\",\"paperid\":null,\"PeriodicalName\":\"Substance Abuse: Research and Treatment\",\"FirstCategoryId\":\"1085\",\"ListUrlMain\":\"https://doi.org/10.1177/11782218221123977\",\"RegionNum\":0,\"RegionCategory\":null,\"ArticlePicture\":[],\"TitleCN\":null,\"AbstractTextCN\":null,\"PMCID\":null,\"EPubDate\":\"2022/1/1 0:00:00\",\"PubModel\":\"eCollection\",\"JCR\":\"Q3\",\"JCRName\":\"SUBSTANCE ABUSE\",\"Score\":null,\"Total\":0}","platform":"Semanticscholar","paperid":null,"PeriodicalName":"Substance Abuse: Research and Treatment","FirstCategoryId":"1085","ListUrlMain":"https://doi.org/10.1177/11782218221123977","RegionNum":0,"RegionCategory":null,"ArticlePicture":[],"TitleCN":null,"AbstractTextCN":null,"PMCID":null,"EPubDate":"2022/1/1 0:00:00","PubModel":"eCollection","JCR":"Q3","JCRName":"SUBSTANCE ABUSE","Score":null,"Total":0}
引用次数: 4

摘要

背景:Kratom被用于自我治疗精神疾病的疼痛和症状,包括物质使用障碍(SUDs)和阿片类药物戒断。在2019冠状病毒病之前,美国的克拉通使用量正在增加,然而,关于这一趋势在2019冠状病毒病大流行期间是否持续的公开数据很少,这可能以多种方式影响克拉通的使用。目的:研究与其他常用物质的变化相比,与covid -19相关的克拉通使用变化以及这些变化是如何经历的。方法:在2020年9月至2021年3月期间,使用Amazon Mechanical Turk完成2615项可评估调查。过去一个月和过去一年使用kratom的成年人(N = 174)的反应表明变化是好是坏,使用广义线性混合效应模型进行检查,相关的开放文本反应(N = 85)按主题编码。结果:33% (n = 58)的kratom报告了与covid相关的增加,24% (n = 42)报告了与covid相关的减少。在控制使用量变化的情况下,酒精(OR = 5.02)、烟草(OR = 4.72)和非医用阿片类药物使用(OR = 3.42)与克拉通的使用相比,都更有可能变得更糟。相对于kratom使用的减少,酒精(OR = 3.21)和烟草(OR = 6.18)使用的减少更有可能向好的方向改变。使用大麻是唯一一种显示减少的可能性低于50%的物质,而在增加的物质中,使用大麻显示出更好的可能性最高。结论:与酒精和烟草相比,kratom和大麻使用量的增加不太可能被报告为更糟的变化,而kratom和大麻使用量的减少比酒精和烟草更有可能被报告为更好的变化。这些发现表明,与与酒精和烟草的关系相比,人们对他们与克拉托姆和大麻的关系有不同的概念。
本文章由计算机程序翻译,如有差异,请以英文原文为准。

For Better or Worse: Self-reported Changes in Kratom and Other Substance Use as a Result of the COVID-19 Pandemic.

For Better or Worse: Self-reported Changes in Kratom and Other Substance Use as a Result of the COVID-19 Pandemic.

For Better or Worse: Self-reported Changes in Kratom and Other Substance Use as a Result of the COVID-19 Pandemic.

For Better or Worse: Self-reported Changes in Kratom and Other Substance Use as a Result of the COVID-19 Pandemic.

Background: Kratom is taken to self-treat pain and symptoms of psychiatric disorders, including substance-use disorders (SUDs) and opioid withdrawal. Before COVID-19, kratom use was increasing in the US, however, there are few published data on whether that trend continued during the COVID-19 pandemic, which could have affected kratom use in multiple ways.

Aim: To examine COVID-19-related changes in kratom use and how these changes were experienced, relative to changes in other commonly used substances.

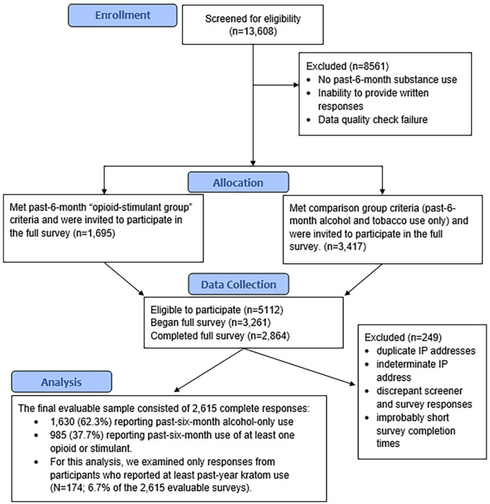
Methods: Using Amazon Mechanical Turk, 2615 evaluable surveys were completed between September 2020 and March 2021. Responses from past-month and past-year kratom-using adults (N = 174) indicating changes for the better or worse were examined using generalized linear mixed effects models, and relevant open-text responses (n = 85) were thematically coded.

Results: For kratom 33% (n = 58) reported a Covid-related increase and 24% (n = 42) reported a Covid-related decrease. Controlling for changes in amount used, alcohol (OR = 5.02), tobacco (OR = 4.72), and nonmedical opioid use (OR = 3.42) were all more likely to have changed for the worse, compared with kratom use. Relative to decreases in kratom use, decreases in alcohol (OR = 3.21) and tobacco (OR = 6.18) use were more likely to be changes for the better. Cannabis use was the only substance to display a probability lower than 50% of being a decrease for the better, and of the increases, cannabis use displayed the highest probability of being for the better.

Conclusions: Increases in kratom and cannabis use were less likely than alcohol and tobacco to be reported as changes for the worse, and decreases in kratom and cannabis use were more likely than alcohol and tobacco to be reported as changes for the better. These findings indicate that people differently conceptualize their relationships with kratom and cannabis, compared to their relationships with alcohol and tobacco.

求助全文
通过发布文献求助,成功后即可免费获取论文全文。 去求助
来源期刊
CiteScore
2.70
自引率
4.80%
发文量
50
审稿时长
8 weeks
×
引用
GB/T 7714-2015
复制
MLA
复制
APA
复制
导出至
BibTeX EndNote RefMan NoteFirst NoteExpress
×
提示
您的信息不完整,为了账户安全,请先补充。
现在去补充
×
提示
您因"违规操作"
具体请查看互助需知
我知道了
×
提示
确定
请完成安全验证×
copy
已复制链接
快去分享给好友吧!
我知道了
右上角分享
点击右上角分享
0
联系我们:info@booksci.cn Book学术提供免费学术资源搜索服务,方便国内外学者检索中英文文献。致力于提供最便捷和优质的服务体验。 Copyright © 2023 布克学术 All rights reserved.
京ICP备2023020795号-1
ghs 京公网安备 11010802042870号
Book学术文献互助
Book学术文献互助群
群 号:604180095
Book学术官方微信