实验设计和模拟方法在局部HIV杀菌剂Stampidine和HI443的液相色谱分析中的应用。

Vivek Agrahari, Jianing Meng, Tao Zhang, Bi-Botti C Youan
{"title":"实验设计和模拟方法在局部HIV杀菌剂Stampidine和HI443的液相色谱分析中的应用。","authors":"Vivek Agrahari,&nbsp;Jianing Meng,&nbsp;Tao Zhang,&nbsp;Bi-Botti C Youan","doi":"10.4172/2155-9872.1000180","DOIUrl":null,"url":null,"abstract":"<p><p>This study intended to determine if experimental design and Monte Carlo simulation methods can be utilized to optimize the liquid chromatography (LC) analysis of active molecules. The method was applied for the simultaneous analysis of two topical microbicides, stampidine (STP) and HI443 in bulk and nanoformulations. The Plackett-Burman design was used for screening; whereas, Box-Behnken design was used to evaluate the main and interaction effects of the selected factors on the responses, namely peak area of STP (Y<sub>1</sub>), HI443 (Y<sub>2</sub>), tailing of STP (Y<sub>3</sub>), and HI443 (Y<sub>4</sub>). The Monte Carlo simulation was applied to get the minimum defect rate (DR) of the process. The optimized LC conditions were found to be X<sub>1</sub>; flow rate: 0.6 mL/min, X<sub>2</sub>; injection volume: 18 μL, and X<sub>3</sub>; initial gradient acetonitrile ratio: 92% v/v with a minimal DR of 0.077%. The optimized method was applied to determine the percent encapsulation efficiency (%EE) and <i>in vitro</i> release profile of STP and HI443 from solid lipid nanoparticles (SLNs). The %EE of STP and HI443 in SLNs was found to be 30.56 ± 9.44 and 94.80 ± 21.90% w/w, respectively, (n=3). It was observed that the release kinetics of STP followed the first order, whereas, HI443 followed the Peppas kinetic model in SLNs. The LC method was also applied for the estimation of molar extinction coefficients (<i>ε<sub>270</sub></i> ) of both drugs for the first time. These values were estimated to be 7,569.03 ± 217.96 and 17,823.67 ± 88.12 L/mol/cm for STP and HI443, respectively, (n=3). The results suggest that experimental design and Monte Carlo simulation can be effectively used to reduce the DR of a process and to optimize the chromatographic conditions for the analysis of bio-active agents as applied in this study.</p>","PeriodicalId":89684,"journal":{"name":"Journal of analytical & bioanalytical techniques","volume":"5 1","pages":""},"PeriodicalIF":0.0000,"publicationDate":"2014-02-01","publicationTypes":"Journal Article","fieldsOfStudy":null,"isOpenAccess":false,"openAccessPdf":"https://sci-hub-pdf.com/10.4172/2155-9872.1000180","citationCount":"14","resultStr":"{\"title\":\"Application of Design of Experiment and Simulation Methods to Liquid Chromatography Analysis of Topical HIV Microbicides Stampidine and HI443.\",\"authors\":\"Vivek Agrahari,&nbsp;Jianing Meng,&nbsp;Tao Zhang,&nbsp;Bi-Botti C Youan\",\"doi\":\"10.4172/2155-9872.1000180\",\"DOIUrl\":null,\"url\":null,\"abstract\":\"<p><p>This study intended to determine if experimental design and Monte Carlo simulation methods can be utilized to optimize the liquid chromatography (LC) analysis of active molecules. The method was applied for the simultaneous analysis of two topical microbicides, stampidine (STP) and HI443 in bulk and nanoformulations. The Plackett-Burman design was used for screening; whereas, Box-Behnken design was used to evaluate the main and interaction effects of the selected factors on the responses, namely peak area of STP (Y<sub>1</sub>), HI443 (Y<sub>2</sub>), tailing of STP (Y<sub>3</sub>), and HI443 (Y<sub>4</sub>). The Monte Carlo simulation was applied to get the minimum defect rate (DR) of the process. The optimized LC conditions were found to be X<sub>1</sub>; flow rate: 0.6 mL/min, X<sub>2</sub>; injection volume: 18 μL, and X<sub>3</sub>; initial gradient acetonitrile ratio: 92% v/v with a minimal DR of 0.077%. The optimized method was applied to determine the percent encapsulation efficiency (%EE) and <i>in vitro</i> release profile of STP and HI443 from solid lipid nanoparticles (SLNs). The %EE of STP and HI443 in SLNs was found to be 30.56 ± 9.44 and 94.80 ± 21.90% w/w, respectively, (n=3). It was observed that the release kinetics of STP followed the first order, whereas, HI443 followed the Peppas kinetic model in SLNs. The LC method was also applied for the estimation of molar extinction coefficients (<i>ε<sub>270</sub></i> ) of both drugs for the first time. These values were estimated to be 7,569.03 ± 217.96 and 17,823.67 ± 88.12 L/mol/cm for STP and HI443, respectively, (n=3). The results suggest that experimental design and Monte Carlo simulation can be effectively used to reduce the DR of a process and to optimize the chromatographic conditions for the analysis of bio-active agents as applied in this study.</p>\",\"PeriodicalId\":89684,\"journal\":{\"name\":\"Journal of analytical & bioanalytical techniques\",\"volume\":\"5 1\",\"pages\":\"\"},\"PeriodicalIF\":0.0000,\"publicationDate\":\"2014-02-01\",\"publicationTypes\":\"Journal Article\",\"fieldsOfStudy\":null,\"isOpenAccess\":false,\"openAccessPdf\":\"https://sci-hub-pdf.com/10.4172/2155-9872.1000180\",\"citationCount\":\"14\",\"resultStr\":null,\"platform\":\"Semanticscholar\",\"paperid\":null,\"PeriodicalName\":\"Journal of analytical & bioanalytical techniques\",\"FirstCategoryId\":\"1085\",\"ListUrlMain\":\"https://doi.org/10.4172/2155-9872.1000180\",\"RegionNum\":0,\"RegionCategory\":null,\"ArticlePicture\":[],\"TitleCN\":null,\"AbstractTextCN\":null,\"PMCID\":null,\"EPubDate\":\"\",\"PubModel\":\"\",\"JCR\":\"\",\"JCRName\":\"\",\"Score\":null,\"Total\":0}","platform":"Semanticscholar","paperid":null,"PeriodicalName":"Journal of analytical & bioanalytical techniques","FirstCategoryId":"1085","ListUrlMain":"https://doi.org/10.4172/2155-9872.1000180","RegionNum":0,"RegionCategory":null,"ArticlePicture":[],"TitleCN":null,"AbstractTextCN":null,"PMCID":null,"EPubDate":"","PubModel":"","JCR":"","JCRName":"","Score":null,"Total":0}
引用次数: 14

摘要

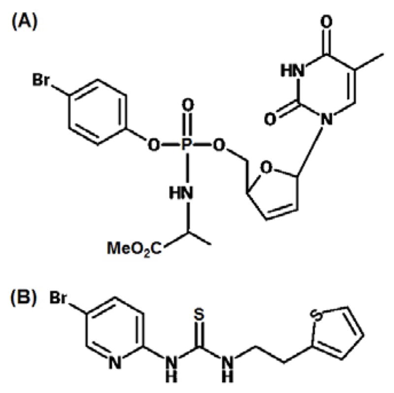
本研究旨在确定是否可以利用实验设计和蒙特卡罗模拟方法来优化活性分子的液相色谱分析。该方法用于同时分析两种外用杀菌剂stampidine (STP)和HI443的散装和纳米剂型。采用Plackett-Burman设计进行筛选;采用Box-Behnken设计评价了所选因子STP (Y1)、HI443 (Y2)、STP (Y3)和HI443 (Y4)对响应的主效应和交互效应。采用蒙特卡罗模拟得到了该工艺的最小缺陷率(DR)。优化后的LC条件为X1;流速:0.6 mL/min, X2;注射量:18 μL, X3;初始梯度乙腈比:92% v/v,最小DR为0.077%。利用优化后的方法测定了STP和HI443在固体脂质纳米颗粒(SLNs)上的包封率(%EE)和体外释放谱。sln中STP和HI443的EE %分别为30.56±9.44和94.80±21.90% w/w (n=3)。结果表明,STP的释放动力学符合一级动力学,而HI443在sln中符合Peppas动力学模型。并首次应用液相色谱法估算了两种药物的摩尔消光系数ε270。结果表明,STP和HI443分别为7,569.03±217.96和17,823.67±88.12 L/mol/cm (n=3)。结果表明,实验设计和蒙特卡罗模拟可以有效地降低过程的DR,并优化本研究应用的生物活性物质分析的色谱条件。
本文章由计算机程序翻译,如有差异,请以英文原文为准。

Application of Design of Experiment and Simulation Methods to Liquid Chromatography Analysis of Topical HIV Microbicides Stampidine and HI443.

Application of Design of Experiment and Simulation Methods to Liquid Chromatography Analysis of Topical HIV Microbicides Stampidine and HI443.

Application of Design of Experiment and Simulation Methods to Liquid Chromatography Analysis of Topical HIV Microbicides Stampidine and HI443.

Application of Design of Experiment and Simulation Methods to Liquid Chromatography Analysis of Topical HIV Microbicides Stampidine and HI443.

This study intended to determine if experimental design and Monte Carlo simulation methods can be utilized to optimize the liquid chromatography (LC) analysis of active molecules. The method was applied for the simultaneous analysis of two topical microbicides, stampidine (STP) and HI443 in bulk and nanoformulations. The Plackett-Burman design was used for screening; whereas, Box-Behnken design was used to evaluate the main and interaction effects of the selected factors on the responses, namely peak area of STP (Y1), HI443 (Y2), tailing of STP (Y3), and HI443 (Y4). The Monte Carlo simulation was applied to get the minimum defect rate (DR) of the process. The optimized LC conditions were found to be X1; flow rate: 0.6 mL/min, X2; injection volume: 18 μL, and X3; initial gradient acetonitrile ratio: 92% v/v with a minimal DR of 0.077%. The optimized method was applied to determine the percent encapsulation efficiency (%EE) and in vitro release profile of STP and HI443 from solid lipid nanoparticles (SLNs). The %EE of STP and HI443 in SLNs was found to be 30.56 ± 9.44 and 94.80 ± 21.90% w/w, respectively, (n=3). It was observed that the release kinetics of STP followed the first order, whereas, HI443 followed the Peppas kinetic model in SLNs. The LC method was also applied for the estimation of molar extinction coefficients (ε270 ) of both drugs for the first time. These values were estimated to be 7,569.03 ± 217.96 and 17,823.67 ± 88.12 L/mol/cm for STP and HI443, respectively, (n=3). The results suggest that experimental design and Monte Carlo simulation can be effectively used to reduce the DR of a process and to optimize the chromatographic conditions for the analysis of bio-active agents as applied in this study.

求助全文
通过发布文献求助,成功后即可免费获取论文全文。 去求助
来源期刊
自引率
0.00%
发文量
0
×
引用
GB/T 7714-2015
复制
MLA
复制
APA
复制
导出至
BibTeX EndNote RefMan NoteFirst NoteExpress
×
提示
您的信息不完整,为了账户安全,请先补充。
现在去补充
×
提示
您因"违规操作"
具体请查看互助需知
我知道了
×
提示
确定
请完成安全验证×
copy
已复制链接
快去分享给好友吧!
我知道了
右上角分享
点击右上角分享
0
联系我们:info@booksci.cn Book学术提供免费学术资源搜索服务,方便国内外学者检索中英文文献。致力于提供最便捷和优质的服务体验。 Copyright © 2023 布克学术 All rights reserved.
京ICP备2023020795号-1
ghs 京公网安备 11010802042870号
Book学术文献互助
Book学术文献互助群
群 号:604180095
Book学术官方微信