Nef-M1,一种CXCR4肽拮抗剂,促进细胞凋亡,抑制乳腺癌原发肿瘤生长和转移。

Harvey Bumpers, Ming-Bo Huang, Venkat Katkoori, Upender Manne, Vincent Bond
{"title":"Nef-M1,一种CXCR4肽拮抗剂,促进细胞凋亡,抑制乳腺癌原发肿瘤生长和转移。","authors":"Harvey Bumpers,&nbsp;Ming-Bo Huang,&nbsp;Venkat Katkoori,&nbsp;Upender Manne,&nbsp;Vincent Bond","doi":"10.4236/jct.2013.44101","DOIUrl":null,"url":null,"abstract":"<p><p>Results from studies with animal models suggest that, in many cancers, CXCR4 is an important therapeutic target and that CXCR4 antagonists may be promising treatments for primary cancers and for metastases. The Nef protein effectively competes with CXCR4's natural ligand, SDF-1α, and induces apoptosis. As described in this report, the Nef-M1 peptide (Nef protein amino acids 50 - 60) inhibits primary tumor growth and metastasis of breast cancer (BC). Four BC cell lines (MDA-MB-231, MDA-MB-468, MCF 7, and DU4475) and primary human mammary epithelium (HME) cells were evaluated for their response to the Nef protein and to the Nef-M1 peptide. The presence of CXCR4 receptors in these cells was determined by RT-PCR, Western blot (WB), and immunohistochemical analyses. The apoptotic effect of Nef-M1 was assessed by terminal transferase dUTP nick-end labeling (TUNEL). WBs was used to assess caspase 3 activation. BC xenografts grown in SCID mice were evaluated for the presence of CXCR4 and for their metastatic potential. CXCR4 was presented in MDA-MB-231, MCF 7, and DU 4475 BC cells but not in MDA-MB-468 BC or HME cells. Cells expressing CXCR4 and treated with Nef-M1 peptide or the Nef protein had higher rates of apoptosis than untreated cells. Caspase-3 activation increased in MDA-MB 231 cells treated with the Nef protein, the Nef 41 - 60 peptide, or Nef-M1. Nef-M1, administered to mice starting at the time of xenograft implantation, inhibited growth of primary tumors and metastatic spread. Untreated mice developed diffuse intraperitoneal metastases. We conclude that, in BCs, Nef-M1, through interaction with CXCR4, inhibits primary tumor growth and metastasis by causing apoptosis.</p>","PeriodicalId":15267,"journal":{"name":"Journal of Cancer Therapy","volume":"4 4","pages":"898-906"},"PeriodicalIF":0.0000,"publicationDate":"2013-06-01","publicationTypes":"Journal Article","fieldsOfStudy":null,"isOpenAccess":false,"openAccessPdf":"https://www.ncbi.nlm.nih.gov/pmc/articles/PMC4181386/pdf/","citationCount":"16","resultStr":"{\"title\":\"Nef-M1, a CXCR4 Peptide Antagonist, Enhances Apoptosis and Inhibits Primary Tumor Growth and Metastasis in Breast Cancer.\",\"authors\":\"Harvey Bumpers,&nbsp;Ming-Bo Huang,&nbsp;Venkat Katkoori,&nbsp;Upender Manne,&nbsp;Vincent Bond\",\"doi\":\"10.4236/jct.2013.44101\",\"DOIUrl\":null,\"url\":null,\"abstract\":\"<p><p>Results from studies with animal models suggest that, in many cancers, CXCR4 is an important therapeutic target and that CXCR4 antagonists may be promising treatments for primary cancers and for metastases. The Nef protein effectively competes with CXCR4's natural ligand, SDF-1α, and induces apoptosis. As described in this report, the Nef-M1 peptide (Nef protein amino acids 50 - 60) inhibits primary tumor growth and metastasis of breast cancer (BC). Four BC cell lines (MDA-MB-231, MDA-MB-468, MCF 7, and DU4475) and primary human mammary epithelium (HME) cells were evaluated for their response to the Nef protein and to the Nef-M1 peptide. The presence of CXCR4 receptors in these cells was determined by RT-PCR, Western blot (WB), and immunohistochemical analyses. The apoptotic effect of Nef-M1 was assessed by terminal transferase dUTP nick-end labeling (TUNEL). WBs was used to assess caspase 3 activation. BC xenografts grown in SCID mice were evaluated for the presence of CXCR4 and for their metastatic potential. CXCR4 was presented in MDA-MB-231, MCF 7, and DU 4475 BC cells but not in MDA-MB-468 BC or HME cells. Cells expressing CXCR4 and treated with Nef-M1 peptide or the Nef protein had higher rates of apoptosis than untreated cells. Caspase-3 activation increased in MDA-MB 231 cells treated with the Nef protein, the Nef 41 - 60 peptide, or Nef-M1. Nef-M1, administered to mice starting at the time of xenograft implantation, inhibited growth of primary tumors and metastatic spread. Untreated mice developed diffuse intraperitoneal metastases. We conclude that, in BCs, Nef-M1, through interaction with CXCR4, inhibits primary tumor growth and metastasis by causing apoptosis.</p>\",\"PeriodicalId\":15267,\"journal\":{\"name\":\"Journal of Cancer Therapy\",\"volume\":\"4 4\",\"pages\":\"898-906\"},\"PeriodicalIF\":0.0000,\"publicationDate\":\"2013-06-01\",\"publicationTypes\":\"Journal Article\",\"fieldsOfStudy\":null,\"isOpenAccess\":false,\"openAccessPdf\":\"https://www.ncbi.nlm.nih.gov/pmc/articles/PMC4181386/pdf/\",\"citationCount\":\"16\",\"resultStr\":null,\"platform\":\"Semanticscholar\",\"paperid\":null,\"PeriodicalName\":\"Journal of Cancer Therapy\",\"FirstCategoryId\":\"1085\",\"ListUrlMain\":\"https://doi.org/10.4236/jct.2013.44101\",\"RegionNum\":0,\"RegionCategory\":null,\"ArticlePicture\":[],\"TitleCN\":null,\"AbstractTextCN\":null,\"PMCID\":null,\"EPubDate\":\"\",\"PubModel\":\"\",\"JCR\":\"\",\"JCRName\":\"\",\"Score\":null,\"Total\":0}","platform":"Semanticscholar","paperid":null,"PeriodicalName":"Journal of Cancer Therapy","FirstCategoryId":"1085","ListUrlMain":"https://doi.org/10.4236/jct.2013.44101","RegionNum":0,"RegionCategory":null,"ArticlePicture":[],"TitleCN":null,"AbstractTextCN":null,"PMCID":null,"EPubDate":"","PubModel":"","JCR":"","JCRName":"","Score":null,"Total":0}
引用次数: 16

摘要

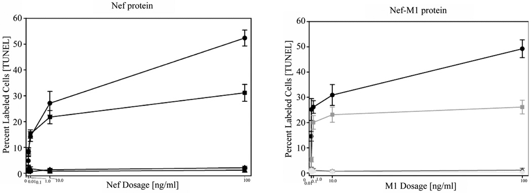
动物模型的研究结果表明,在许多癌症中,CXCR4是一个重要的治疗靶点,CXCR4拮抗剂可能是治疗原发性癌症和转移性癌症的有希望的治疗方法。Nef蛋白有效地与CXCR4的天然配体SDF-1α竞争,并诱导细胞凋亡。如本报告所述,Nef- m1肽(Nef蛋白氨基酸50 - 60)抑制乳腺癌(BC)的原发肿瘤生长和转移。四种BC细胞系(MDA-MB-231、MDA-MB-468、mcf7和DU4475)和原代人乳腺上皮细胞(HME)对Nef蛋白和Nef- m1肽的反应进行了评估。通过RT-PCR、Western blot (WB)和免疫组织化学分析确定这些细胞中CXCR4受体的存在。用末端转移酶dUTP镍端标记法(TUNEL)评价Nef-M1的凋亡作用。WBs用于评估caspase 3的激活。在SCID小鼠中生长的BC异种移植物评估了CXCR4的存在及其转移潜力。CXCR4存在于MDA-MB-231、mcf7和DU 4475 BC细胞中,但不存在于MDA-MB-468 BC或HME细胞中。表达CXCR4并经Nef- m1肽或Nef蛋白处理的细胞凋亡率高于未处理的细胞。在用Nef蛋白、Nef 41 - 60肽或Nef- m1处理的MDA-MB 231细胞中,Caspase-3激活增加。从异种移植物植入时开始给药,Nef-M1抑制原发肿瘤的生长和转移扩散。未经治疗的小鼠出现弥漫性腹腔内转移。我们得出结论,在bc中,Nef-M1通过与CXCR4的相互作用,通过引起细胞凋亡来抑制原发肿瘤的生长和转移。
本文章由计算机程序翻译,如有差异,请以英文原文为准。

Nef-M1, a CXCR4 Peptide Antagonist, Enhances Apoptosis and Inhibits Primary Tumor Growth and Metastasis in Breast Cancer.

Nef-M1, a CXCR4 Peptide Antagonist, Enhances Apoptosis and Inhibits Primary Tumor Growth and Metastasis in Breast Cancer.

Nef-M1, a CXCR4 Peptide Antagonist, Enhances Apoptosis and Inhibits Primary Tumor Growth and Metastasis in Breast Cancer.

Nef-M1, a CXCR4 Peptide Antagonist, Enhances Apoptosis and Inhibits Primary Tumor Growth and Metastasis in Breast Cancer.

Results from studies with animal models suggest that, in many cancers, CXCR4 is an important therapeutic target and that CXCR4 antagonists may be promising treatments for primary cancers and for metastases. The Nef protein effectively competes with CXCR4's natural ligand, SDF-1α, and induces apoptosis. As described in this report, the Nef-M1 peptide (Nef protein amino acids 50 - 60) inhibits primary tumor growth and metastasis of breast cancer (BC). Four BC cell lines (MDA-MB-231, MDA-MB-468, MCF 7, and DU4475) and primary human mammary epithelium (HME) cells were evaluated for their response to the Nef protein and to the Nef-M1 peptide. The presence of CXCR4 receptors in these cells was determined by RT-PCR, Western blot (WB), and immunohistochemical analyses. The apoptotic effect of Nef-M1 was assessed by terminal transferase dUTP nick-end labeling (TUNEL). WBs was used to assess caspase 3 activation. BC xenografts grown in SCID mice were evaluated for the presence of CXCR4 and for their metastatic potential. CXCR4 was presented in MDA-MB-231, MCF 7, and DU 4475 BC cells but not in MDA-MB-468 BC or HME cells. Cells expressing CXCR4 and treated with Nef-M1 peptide or the Nef protein had higher rates of apoptosis than untreated cells. Caspase-3 activation increased in MDA-MB 231 cells treated with the Nef protein, the Nef 41 - 60 peptide, or Nef-M1. Nef-M1, administered to mice starting at the time of xenograft implantation, inhibited growth of primary tumors and metastatic spread. Untreated mice developed diffuse intraperitoneal metastases. We conclude that, in BCs, Nef-M1, through interaction with CXCR4, inhibits primary tumor growth and metastasis by causing apoptosis.

求助全文
通过发布文献求助,成功后即可免费获取论文全文。 去求助
来源期刊
自引率
0.00%
发文量
0
×
引用
GB/T 7714-2015
复制
MLA
复制
APA
复制
导出至
BibTeX EndNote RefMan NoteFirst NoteExpress
×
提示
您的信息不完整,为了账户安全,请先补充。
现在去补充
×
提示
您因"违规操作"
具体请查看互助需知
我知道了
×
提示
确定
请完成安全验证×
copy
已复制链接
快去分享给好友吧!
我知道了
右上角分享
点击右上角分享
0
联系我们:info@booksci.cn Book学术提供免费学术资源搜索服务,方便国内外学者检索中英文文献。致力于提供最便捷和优质的服务体验。 Copyright © 2023 布克学术 All rights reserved.
京ICP备2023020795号-1
ghs 京公网安备 11010802042870号
Book学术文献互助
Book学术文献互助群
群 号:604180095
Book学术官方微信