小鼠乳腺癌易感性的上位性控制可能与饮食环境有关。

Larry J Leamy, Ryan R Gordon, Daniel Pomp
{"title":"小鼠乳腺癌易感性的上位性控制可能与饮食环境有关。","authors":"Larry J Leamy, Ryan R Gordon, Daniel Pomp","doi":"10.4172/2161-1041.1000108","DOIUrl":null,"url":null,"abstract":"<p><p>Recent studies have linked a high fat diet to the development of breast cancer, but any genetic basis for this association is poorly understood. We investigated this association with an epistatic analysis of seven cancer traits in a segregating population of mice with metastatic mammary cancer that were fed either a control or a high-fat diet. We used an interval mapping approach with single nucleotide polymorphisms to scan all 19 autosomes, and discovered a number of diet-independent epistatic interactions of quantitative trait loci (QTLs) affecting these traits. More importantly, we also discovered significant epistatic by diet interactions affecting some of the traits that suggested these epistatic effects varied depending on the dietary environment. An analysis of these interactions showed some were due to epistasis that occurred in mice fed only the control diet or only the high-fat diet whereas other interactions were generated by differential effects of epistasis in the two dietary environments. Some of the epistatic QTLs appeared to colocalize with cancer QTLs mapped in other mouse populations and with candidate genes identified from eQTLs previously mapped in this population, but others represented novel modifying loci affecting these cancer traits. It was concluded that these diet-dependent epistatic QTLs contribute to a genetic susceptibility of dietary effects on breast cancer, and their identification may eventually lead to a better understanding that will be needed for the design of more effective treatments for this disease.</p>","PeriodicalId":90176,"journal":{"name":"Hereditary genetics : current research","volume":"1 2","pages":"108"},"PeriodicalIF":0.0000,"publicationDate":"2012-06-01","publicationTypes":"Journal Article","fieldsOfStudy":null,"isOpenAccess":false,"openAccessPdf":"https://www.ncbi.nlm.nih.gov/pmc/articles/PMC3927415/pdf/","citationCount":"3","resultStr":"{\"title\":\"Epistatic Control of Mammary Cancer Susceptibility in Mice may Depend on the Dietary Environment.\",\"authors\":\"Larry J Leamy, Ryan R Gordon, Daniel Pomp\",\"doi\":\"10.4172/2161-1041.1000108\",\"DOIUrl\":null,\"url\":null,\"abstract\":\"<p><p>Recent studies have linked a high fat diet to the development of breast cancer, but any genetic basis for this association is poorly understood. We investigated this association with an epistatic analysis of seven cancer traits in a segregating population of mice with metastatic mammary cancer that were fed either a control or a high-fat diet. We used an interval mapping approach with single nucleotide polymorphisms to scan all 19 autosomes, and discovered a number of diet-independent epistatic interactions of quantitative trait loci (QTLs) affecting these traits. More importantly, we also discovered significant epistatic by diet interactions affecting some of the traits that suggested these epistatic effects varied depending on the dietary environment. An analysis of these interactions showed some were due to epistasis that occurred in mice fed only the control diet or only the high-fat diet whereas other interactions were generated by differential effects of epistasis in the two dietary environments. Some of the epistatic QTLs appeared to colocalize with cancer QTLs mapped in other mouse populations and with candidate genes identified from eQTLs previously mapped in this population, but others represented novel modifying loci affecting these cancer traits. It was concluded that these diet-dependent epistatic QTLs contribute to a genetic susceptibility of dietary effects on breast cancer, and their identification may eventually lead to a better understanding that will be needed for the design of more effective treatments for this disease.</p>\",\"PeriodicalId\":90176,\"journal\":{\"name\":\"Hereditary genetics : current research\",\"volume\":\"1 2\",\"pages\":\"108\"},\"PeriodicalIF\":0.0000,\"publicationDate\":\"2012-06-01\",\"publicationTypes\":\"Journal Article\",\"fieldsOfStudy\":null,\"isOpenAccess\":false,\"openAccessPdf\":\"https://www.ncbi.nlm.nih.gov/pmc/articles/PMC3927415/pdf/\",\"citationCount\":\"3\",\"resultStr\":null,\"platform\":\"Semanticscholar\",\"paperid\":null,\"PeriodicalName\":\"Hereditary genetics : current research\",\"FirstCategoryId\":\"1085\",\"ListUrlMain\":\"https://doi.org/10.4172/2161-1041.1000108\",\"RegionNum\":0,\"RegionCategory\":null,\"ArticlePicture\":[],\"TitleCN\":null,\"AbstractTextCN\":null,\"PMCID\":null,\"EPubDate\":\"\",\"PubModel\":\"\",\"JCR\":\"\",\"JCRName\":\"\",\"Score\":null,\"Total\":0}","platform":"Semanticscholar","paperid":null,"PeriodicalName":"Hereditary genetics : current research","FirstCategoryId":"1085","ListUrlMain":"https://doi.org/10.4172/2161-1041.1000108","RegionNum":0,"RegionCategory":null,"ArticlePicture":[],"TitleCN":null,"AbstractTextCN":null,"PMCID":null,"EPubDate":"","PubModel":"","JCR":"","JCRName":"","Score":null,"Total":0}
引用次数: 3

摘要

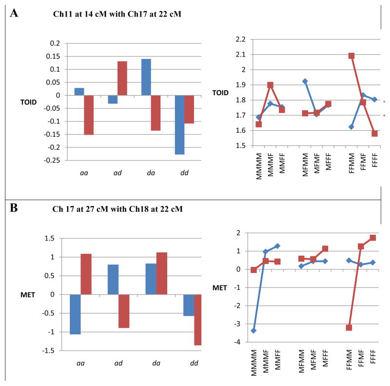
最近的研究将高脂肪饮食与乳腺癌的发展联系起来,但这种联系的遗传基础尚不清楚。我们通过对转移性乳腺癌小鼠分离群体的七种癌症特征的上位性分析来研究这种关联,这些转移性乳腺癌小鼠被喂食对照组或高脂肪饮食。我们使用单核苷酸多态性的区间作图方法扫描了所有19个常染色体,并发现了影响这些性状的数量性状位点(qtl)的一些饮食无关的上位相互作用。更重要的是,我们还发现了饮食相互作用对一些性状的显著上位性影响,这表明这些上位性影响因饮食环境而异。对这些相互作用的分析表明,一些相互作用是由于只喂食控制饮食或只喂食高脂肪饮食的小鼠发生的上位性,而其他相互作用是由两种饮食环境中上位性的不同影响产生的。一些上位性qtl似乎与在其他小鼠群体中定位的癌症qtl和从先前在该群体中定位的eqtl中鉴定的候选基因共定位,但其他qtl代表了影响这些癌症性状的新修饰位点。结论是,这些饮食依赖的上位性qtl有助于饮食对乳腺癌影响的遗传易感性,它们的鉴定可能最终导致更好地理解,这将需要设计更有效的治疗方法。
本文章由计算机程序翻译,如有差异,请以英文原文为准。

Epistatic Control of Mammary Cancer Susceptibility in Mice may Depend on the Dietary Environment.

Epistatic Control of Mammary Cancer Susceptibility in Mice may Depend on the Dietary Environment.

Epistatic Control of Mammary Cancer Susceptibility in Mice may Depend on the Dietary Environment.

Recent studies have linked a high fat diet to the development of breast cancer, but any genetic basis for this association is poorly understood. We investigated this association with an epistatic analysis of seven cancer traits in a segregating population of mice with metastatic mammary cancer that were fed either a control or a high-fat diet. We used an interval mapping approach with single nucleotide polymorphisms to scan all 19 autosomes, and discovered a number of diet-independent epistatic interactions of quantitative trait loci (QTLs) affecting these traits. More importantly, we also discovered significant epistatic by diet interactions affecting some of the traits that suggested these epistatic effects varied depending on the dietary environment. An analysis of these interactions showed some were due to epistasis that occurred in mice fed only the control diet or only the high-fat diet whereas other interactions were generated by differential effects of epistasis in the two dietary environments. Some of the epistatic QTLs appeared to colocalize with cancer QTLs mapped in other mouse populations and with candidate genes identified from eQTLs previously mapped in this population, but others represented novel modifying loci affecting these cancer traits. It was concluded that these diet-dependent epistatic QTLs contribute to a genetic susceptibility of dietary effects on breast cancer, and their identification may eventually lead to a better understanding that will be needed for the design of more effective treatments for this disease.

求助全文
通过发布文献求助,成功后即可免费获取论文全文。 去求助
来源期刊
自引率
0.00%
发文量
0
×
引用
GB/T 7714-2015
复制
MLA
复制
APA
复制
导出至
BibTeX EndNote RefMan NoteFirst NoteExpress
×
提示
您的信息不完整,为了账户安全,请先补充。
现在去补充
×
提示
您因"违规操作"
具体请查看互助需知
我知道了
×
提示
确定
请完成安全验证×
copy
已复制链接
快去分享给好友吧!
我知道了
右上角分享
点击右上角分享
0
联系我们:info@booksci.cn Book学术提供免费学术资源搜索服务,方便国内外学者检索中英文文献。致力于提供最便捷和优质的服务体验。 Copyright © 2023 布克学术 All rights reserved.
京ICP备2023020795号-1
ghs 京公网安备 11010802042870号
Book学术文献互助
Book学术文献互助群
群 号:604180095
Book学术官方微信