GRACE亚研究:达若那韦/利托那韦治疗48周后免疫功能和激活的改善

ISRN AIDS Pub Date : 2013-12-12 eCollection Date: 2013-01-01 DOI:10.1155/2013/358294
Christos Tsoukas, Louise Gilbert, Trevor Lewis, George Hatzakis, Ron Falcon, Joseph Mrus
{"title":"GRACE亚研究:达若那韦/利托那韦治疗48周后免疫功能和激活的改善","authors":"Christos Tsoukas,&nbsp;Louise Gilbert,&nbsp;Trevor Lewis,&nbsp;George Hatzakis,&nbsp;Ron Falcon,&nbsp;Joseph Mrus","doi":"10.1155/2013/358294","DOIUrl":null,"url":null,"abstract":"<p><p>Objective. During the course of HIV infection, progressive immune deficiency occurs. The aim of this prospective substudy was to evaluate the recovery of functional immunity in a subset of patients from the GRACE (Gender, Race, And Clinical Experience) study treated with a DRV/r-based regimen. Methods. The recovery of functional immunity with a darunavir/ritonavir-based regimen was assessed in a subset of treatment-experienced, HIV-1 infected patients from the GRACE study. Results. 19/32 patients (59%) enrolled in the substudy were virologically suppressed (<50 copies/mL). In these patients, median (range) CD4+ cell count increased from 222 (2, 398) cells/mm(3) at baseline to 398 (119, 812) cells/mm(3) at Week 48. CD8+% decreased significantly from baseline to Week 48 (P = .03). Proliferation of CD4+ lymphocytes in response to CD3+/CD28+, phytohemagglutinin, and pokeweed was significantly increased (P < .01) by Week 12. Proliferation in response to Candida and tetanus was significantly increased by Week 48 (P < .01 and P = .014, resp.). Staphylococcal enterotoxin B-stimulated tumor necrosis factor-alpha and interleukin-2 in CD4+ cells was significantly increased by Week 12 (P = .046) and Week 48 (P < .01), respectively. Conclusions. Darunavir/ritonavir-based therapy demonstrated improvements in CD4+ cell recovery and association with progressive functional immune recovery over 48 weeks. This trial is registered with NCT00381303. </p>","PeriodicalId":89950,"journal":{"name":"ISRN AIDS","volume":"2013 ","pages":"358294"},"PeriodicalIF":0.0000,"publicationDate":"2013-12-12","publicationTypes":"Journal Article","fieldsOfStudy":null,"isOpenAccess":false,"openAccessPdf":"https://sci-hub-pdf.com/10.1155/2013/358294","citationCount":"4","resultStr":"{\"title\":\"Improvements in Immune Function and Activation with 48-Week Darunavir/Ritonavir-Based Therapy: GRACE Substudy.\",\"authors\":\"Christos Tsoukas,&nbsp;Louise Gilbert,&nbsp;Trevor Lewis,&nbsp;George Hatzakis,&nbsp;Ron Falcon,&nbsp;Joseph Mrus\",\"doi\":\"10.1155/2013/358294\",\"DOIUrl\":null,\"url\":null,\"abstract\":\"<p><p>Objective. During the course of HIV infection, progressive immune deficiency occurs. The aim of this prospective substudy was to evaluate the recovery of functional immunity in a subset of patients from the GRACE (Gender, Race, And Clinical Experience) study treated with a DRV/r-based regimen. Methods. The recovery of functional immunity with a darunavir/ritonavir-based regimen was assessed in a subset of treatment-experienced, HIV-1 infected patients from the GRACE study. Results. 19/32 patients (59%) enrolled in the substudy were virologically suppressed (<50 copies/mL). In these patients, median (range) CD4+ cell count increased from 222 (2, 398) cells/mm(3) at baseline to 398 (119, 812) cells/mm(3) at Week 48. CD8+% decreased significantly from baseline to Week 48 (P = .03). Proliferation of CD4+ lymphocytes in response to CD3+/CD28+, phytohemagglutinin, and pokeweed was significantly increased (P < .01) by Week 12. Proliferation in response to Candida and tetanus was significantly increased by Week 48 (P < .01 and P = .014, resp.). Staphylococcal enterotoxin B-stimulated tumor necrosis factor-alpha and interleukin-2 in CD4+ cells was significantly increased by Week 12 (P = .046) and Week 48 (P < .01), respectively. Conclusions. Darunavir/ritonavir-based therapy demonstrated improvements in CD4+ cell recovery and association with progressive functional immune recovery over 48 weeks. This trial is registered with NCT00381303. </p>\",\"PeriodicalId\":89950,\"journal\":{\"name\":\"ISRN AIDS\",\"volume\":\"2013 \",\"pages\":\"358294\"},\"PeriodicalIF\":0.0000,\"publicationDate\":\"2013-12-12\",\"publicationTypes\":\"Journal Article\",\"fieldsOfStudy\":null,\"isOpenAccess\":false,\"openAccessPdf\":\"https://sci-hub-pdf.com/10.1155/2013/358294\",\"citationCount\":\"4\",\"resultStr\":null,\"platform\":\"Semanticscholar\",\"paperid\":null,\"PeriodicalName\":\"ISRN AIDS\",\"FirstCategoryId\":\"1085\",\"ListUrlMain\":\"https://doi.org/10.1155/2013/358294\",\"RegionNum\":0,\"RegionCategory\":null,\"ArticlePicture\":[],\"TitleCN\":null,\"AbstractTextCN\":null,\"PMCID\":null,\"EPubDate\":\"2013/1/1 0:00:00\",\"PubModel\":\"eCollection\",\"JCR\":\"\",\"JCRName\":\"\",\"Score\":null,\"Total\":0}","platform":"Semanticscholar","paperid":null,"PeriodicalName":"ISRN AIDS","FirstCategoryId":"1085","ListUrlMain":"https://doi.org/10.1155/2013/358294","RegionNum":0,"RegionCategory":null,"ArticlePicture":[],"TitleCN":null,"AbstractTextCN":null,"PMCID":null,"EPubDate":"2013/1/1 0:00:00","PubModel":"eCollection","JCR":"","JCRName":"","Score":null,"Total":0}
引用次数: 4

摘要

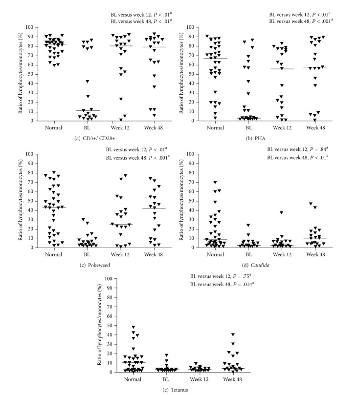
目标。在HIV感染过程中,会出现进行性免疫缺陷。这项前瞻性亚研究的目的是评估GRACE(性别、种族和临床经验)研究中接受基于DRV/r方案治疗的一部分患者的功能性免疫恢复情况。方法。GRACE研究对一组接受过治疗的HIV-1感染患者进行了基于darunavir/ ritonvir方案的功能性免疫恢复评估。结果:入选亚研究的32例患者中有19例(59%)得到病毒学抑制(
本文章由计算机程序翻译,如有差异,请以英文原文为准。

Improvements in Immune Function and Activation with 48-Week Darunavir/Ritonavir-Based Therapy: GRACE Substudy.

Improvements in Immune Function and Activation with 48-Week Darunavir/Ritonavir-Based Therapy: GRACE Substudy.

Improvements in Immune Function and Activation with 48-Week Darunavir/Ritonavir-Based Therapy: GRACE Substudy.

Improvements in Immune Function and Activation with 48-Week Darunavir/Ritonavir-Based Therapy: GRACE Substudy.

Objective. During the course of HIV infection, progressive immune deficiency occurs. The aim of this prospective substudy was to evaluate the recovery of functional immunity in a subset of patients from the GRACE (Gender, Race, And Clinical Experience) study treated with a DRV/r-based regimen. Methods. The recovery of functional immunity with a darunavir/ritonavir-based regimen was assessed in a subset of treatment-experienced, HIV-1 infected patients from the GRACE study. Results. 19/32 patients (59%) enrolled in the substudy were virologically suppressed (<50 copies/mL). In these patients, median (range) CD4+ cell count increased from 222 (2, 398) cells/mm(3) at baseline to 398 (119, 812) cells/mm(3) at Week 48. CD8+% decreased significantly from baseline to Week 48 (P = .03). Proliferation of CD4+ lymphocytes in response to CD3+/CD28+, phytohemagglutinin, and pokeweed was significantly increased (P < .01) by Week 12. Proliferation in response to Candida and tetanus was significantly increased by Week 48 (P < .01 and P = .014, resp.). Staphylococcal enterotoxin B-stimulated tumor necrosis factor-alpha and interleukin-2 in CD4+ cells was significantly increased by Week 12 (P = .046) and Week 48 (P < .01), respectively. Conclusions. Darunavir/ritonavir-based therapy demonstrated improvements in CD4+ cell recovery and association with progressive functional immune recovery over 48 weeks. This trial is registered with NCT00381303.

求助全文
通过发布文献求助,成功后即可免费获取论文全文。 去求助
来源期刊
自引率
0.00%
发文量
0
×
引用
GB/T 7714-2015
复制
MLA
复制
APA
复制
导出至
BibTeX EndNote RefMan NoteFirst NoteExpress
×
提示
您的信息不完整,为了账户安全,请先补充。
现在去补充
×
提示
您因"违规操作"
具体请查看互助需知
我知道了
×
提示
确定
请完成安全验证×
copy
已复制链接
快去分享给好友吧!
我知道了
右上角分享
点击右上角分享
0
联系我们:info@booksci.cn Book学术提供免费学术资源搜索服务,方便国内外学者检索中英文文献。致力于提供最便捷和优质的服务体验。 Copyright © 2023 布克学术 All rights reserved.
京ICP备2023020795号-1
ghs 京公网安备 11010802042870号
Book学术文献互助
Book学术文献互助群
群 号:604180095
Book学术官方微信