加纳上西部地区艾滋病毒/艾滋病患者抗逆转录病毒治疗依从性的预测因素

ISRN AIDS Pub Date : 2013-12-10 eCollection Date: 2013-01-01 DOI:10.1155/2013/873939
Christian Obirikorang, Peter Kuugemah Selleh, Jubilant Kwame Abledu, Chris Opoku Fofie
{"title":"加纳上西部地区艾滋病毒/艾滋病患者抗逆转录病毒治疗依从性的预测因素","authors":"Christian Obirikorang,&nbsp;Peter Kuugemah Selleh,&nbsp;Jubilant Kwame Abledu,&nbsp;Chris Opoku Fofie","doi":"10.1155/2013/873939","DOIUrl":null,"url":null,"abstract":"<p><p>Background. The effectiveness of ART interventions is only realized in maximal levels of adherence. A near perfect adherence level of >95% is required for the effective suppression of HIV/AIDS virus. The main objective of this study was to identify the sociodemographic and socioeconomic factors that facilitate adherence to antiretroviral therapy among HIV/AIDS patients. Methods. This descriptive cross-sectional study was conducted between March and May 2013 at the Upper West Regional Hospital, Wa. A total of 201 confirmed HIV 1 seropositive subjects (mean age 36.6 ± 9.9 years) receiving antiretroviral therapy were interviewed using a structured questionnaire. The collected data was analyzed using GraphPad Prism version 5. A P value of <0.05 was considered statistically significant for all statistical analyses. Results. Overall lifetime adherence was found to be 62.2% while medication adherence in the last six months, last three months, last month, and last week were 73.6%, 87.1%, 91.0%, and 86.0%, respectively. The study revealed a positive association between adherence to ART and immunological success, with nonadherence increasing the risk (OR (95% CI): 9.2 (3.2-26.9)) of immunological failure. Univariate logistic regression analysis of the data showed that other ailments and side effects of drug were negatively associated with adherence to ART whereas self-perceived wellness, family support, and regular followup were positively associated with adherence to ART. Conclusion. Regular attendance at followup and family support are vital factors for 100% lifetime medication adherence. Effective counseling sessions on adherence for patients on antiretroviral therapy are paramount for the realization of the purpose of antiretroviral therapy programmes in Ghana. </p>","PeriodicalId":89950,"journal":{"name":"ISRN AIDS","volume":"2013 ","pages":"873939"},"PeriodicalIF":0.0000,"publicationDate":"2013-12-10","publicationTypes":"Journal Article","fieldsOfStudy":null,"isOpenAccess":false,"openAccessPdf":"https://sci-hub-pdf.com/10.1155/2013/873939","citationCount":"64","resultStr":"{\"title\":\"Predictors of Adherence to Antiretroviral Therapy among HIV/AIDS Patients in the Upper West Region of Ghana.\",\"authors\":\"Christian Obirikorang,&nbsp;Peter Kuugemah Selleh,&nbsp;Jubilant Kwame Abledu,&nbsp;Chris Opoku Fofie\",\"doi\":\"10.1155/2013/873939\",\"DOIUrl\":null,\"url\":null,\"abstract\":\"<p><p>Background. The effectiveness of ART interventions is only realized in maximal levels of adherence. A near perfect adherence level of >95% is required for the effective suppression of HIV/AIDS virus. The main objective of this study was to identify the sociodemographic and socioeconomic factors that facilitate adherence to antiretroviral therapy among HIV/AIDS patients. Methods. This descriptive cross-sectional study was conducted between March and May 2013 at the Upper West Regional Hospital, Wa. A total of 201 confirmed HIV 1 seropositive subjects (mean age 36.6 ± 9.9 years) receiving antiretroviral therapy were interviewed using a structured questionnaire. The collected data was analyzed using GraphPad Prism version 5. A P value of <0.05 was considered statistically significant for all statistical analyses. Results. Overall lifetime adherence was found to be 62.2% while medication adherence in the last six months, last three months, last month, and last week were 73.6%, 87.1%, 91.0%, and 86.0%, respectively. The study revealed a positive association between adherence to ART and immunological success, with nonadherence increasing the risk (OR (95% CI): 9.2 (3.2-26.9)) of immunological failure. Univariate logistic regression analysis of the data showed that other ailments and side effects of drug were negatively associated with adherence to ART whereas self-perceived wellness, family support, and regular followup were positively associated with adherence to ART. Conclusion. Regular attendance at followup and family support are vital factors for 100% lifetime medication adherence. Effective counseling sessions on adherence for patients on antiretroviral therapy are paramount for the realization of the purpose of antiretroviral therapy programmes in Ghana. </p>\",\"PeriodicalId\":89950,\"journal\":{\"name\":\"ISRN AIDS\",\"volume\":\"2013 \",\"pages\":\"873939\"},\"PeriodicalIF\":0.0000,\"publicationDate\":\"2013-12-10\",\"publicationTypes\":\"Journal Article\",\"fieldsOfStudy\":null,\"isOpenAccess\":false,\"openAccessPdf\":\"https://sci-hub-pdf.com/10.1155/2013/873939\",\"citationCount\":\"64\",\"resultStr\":null,\"platform\":\"Semanticscholar\",\"paperid\":null,\"PeriodicalName\":\"ISRN AIDS\",\"FirstCategoryId\":\"1085\",\"ListUrlMain\":\"https://doi.org/10.1155/2013/873939\",\"RegionNum\":0,\"RegionCategory\":null,\"ArticlePicture\":[],\"TitleCN\":null,\"AbstractTextCN\":null,\"PMCID\":null,\"EPubDate\":\"2013/1/1 0:00:00\",\"PubModel\":\"eCollection\",\"JCR\":\"\",\"JCRName\":\"\",\"Score\":null,\"Total\":0}","platform":"Semanticscholar","paperid":null,"PeriodicalName":"ISRN AIDS","FirstCategoryId":"1085","ListUrlMain":"https://doi.org/10.1155/2013/873939","RegionNum":0,"RegionCategory":null,"ArticlePicture":[],"TitleCN":null,"AbstractTextCN":null,"PMCID":null,"EPubDate":"2013/1/1 0:00:00","PubModel":"eCollection","JCR":"","JCRName":"","Score":null,"Total":0}
引用次数: 64

摘要

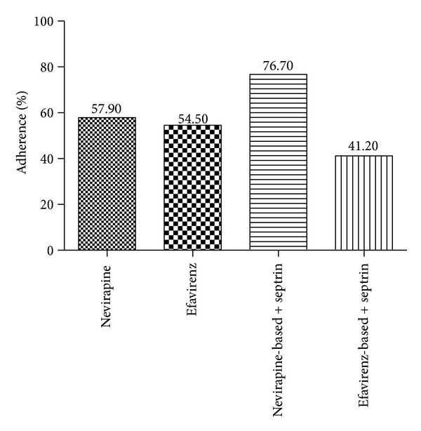
背景。ART干预措施的有效性只有在最大程度的坚持下才能实现。有效抑制艾滋病毒/艾滋病需要接近完美的依从性水平>95%。本研究的主要目的是确定促进艾滋病毒/艾滋病患者坚持抗逆转录病毒治疗的社会人口和社会经济因素。方法。这项描述性横断面研究于2013年3月至5月在华盛顿州上西部地区医院进行。采用结构化问卷对201例接受抗逆转录病毒治疗的HIV 1血清阳性患者(平均年龄36.6±9.9岁)进行访谈。收集的数据使用GraphPad Prism版本5进行分析。的P值
本文章由计算机程序翻译,如有差异,请以英文原文为准。

Predictors of Adherence to Antiretroviral Therapy among HIV/AIDS Patients in the Upper West Region of Ghana.

Predictors of Adherence to Antiretroviral Therapy among HIV/AIDS Patients in the Upper West Region of Ghana.

Background. The effectiveness of ART interventions is only realized in maximal levels of adherence. A near perfect adherence level of >95% is required for the effective suppression of HIV/AIDS virus. The main objective of this study was to identify the sociodemographic and socioeconomic factors that facilitate adherence to antiretroviral therapy among HIV/AIDS patients. Methods. This descriptive cross-sectional study was conducted between March and May 2013 at the Upper West Regional Hospital, Wa. A total of 201 confirmed HIV 1 seropositive subjects (mean age 36.6 ± 9.9 years) receiving antiretroviral therapy were interviewed using a structured questionnaire. The collected data was analyzed using GraphPad Prism version 5. A P value of <0.05 was considered statistically significant for all statistical analyses. Results. Overall lifetime adherence was found to be 62.2% while medication adherence in the last six months, last three months, last month, and last week were 73.6%, 87.1%, 91.0%, and 86.0%, respectively. The study revealed a positive association between adherence to ART and immunological success, with nonadherence increasing the risk (OR (95% CI): 9.2 (3.2-26.9)) of immunological failure. Univariate logistic regression analysis of the data showed that other ailments and side effects of drug were negatively associated with adherence to ART whereas self-perceived wellness, family support, and regular followup were positively associated with adherence to ART. Conclusion. Regular attendance at followup and family support are vital factors for 100% lifetime medication adherence. Effective counseling sessions on adherence for patients on antiretroviral therapy are paramount for the realization of the purpose of antiretroviral therapy programmes in Ghana.

求助全文
通过发布文献求助,成功后即可免费获取论文全文。 去求助
来源期刊
自引率
0.00%
发文量
0
×
引用
GB/T 7714-2015
复制
MLA
复制
APA
复制
导出至
BibTeX EndNote RefMan NoteFirst NoteExpress
×
提示
您的信息不完整,为了账户安全,请先补充。
现在去补充
×
提示
您因"违规操作"
具体请查看互助需知
我知道了
×
提示
确定
请完成安全验证×
copy
已复制链接
快去分享给好友吧!
我知道了
右上角分享
点击右上角分享
0
联系我们:info@booksci.cn Book学术提供免费学术资源搜索服务,方便国内外学者检索中英文文献。致力于提供最便捷和优质的服务体验。 Copyright © 2023 布克学术 All rights reserved.
京ICP备2023020795号-1
ghs 京公网安备 11010802042870号
Book学术文献互助
Book学术文献互助群
群 号:604180095
Book学术官方微信