急性缺氧对健康男性运动后副交感神经再激活的影响。

Frontiers in Physiology Pub Date : 2012-07-25 eCollection Date: 2012-01-01 DOI:10.3389/fphys.2012.00289
Hani Al Haddad, Alberto Mendez-Villanueva, Pitre C Bourdon, Martin Buchheit
{"title":"急性缺氧对健康男性运动后副交感神经再激活的影响。","authors":"Hani Al Haddad,&nbsp;Alberto Mendez-Villanueva,&nbsp;Pitre C Bourdon,&nbsp;Martin Buchheit","doi":"10.3389/fphys.2012.00289","DOIUrl":null,"url":null,"abstract":"<p><p>In this study we assessed the effect of acute hypoxia on post-exercise parasympathetic reactivation inferred from heart rate (HR) recovery (HRR) and HR variability (HRV) indices. Ten healthy males participated in this study. Following 10 min of seated rest, participants performed 5 min of submaximal running at the speed associated with the first ventilatory threshold (Sub) followed by a 20-s all-out supramaximal sprint (Supra). Both Sub and Supra runs were immediately followed by 15 min of seated passive recovery. The resting and exercise sequence were performed in both normoxia (N) and normobaric hypoxia (H; FiO(2) = 15.4%). HRR indices (e.g., heart beats recovered in the first minute after exercise cessation, HRR(60s)) and vagal-related HRV indices [i.e., natural logarithm of the square root of the mean of the sum of the squared differences between adjacent normal R-R intervals (Ln rMSSD)] were calculated for both conditions. Difference in the changes between N and H for all HR-derived indices were also calculated for both Sub and Supra. HRR(60s) was greater in N compared with H following Sub only (60 ± 14 vs. 52 ± 19 beats min(-1), P = 0.016). Ln rMSSD was greater in N compared with H (post Sub: 3.60 ± 0.45 vs. 3.28 ± 0.44 ms in N and H, respectively, and post Supra: 2.66 ± 0.54 vs. 2.65 ± 0.63 ms, main condition effect P = 0.02). When comparing the difference in the changes, hypoxia decreased HRR(60s) (-14.3% ± 17.2 vs. 5.2% ± 19.3; following Sub and Supra, respectively; P = 0.03) and Ln rMSSD (-8.6% ± 7.0 vs. 2.0% ± 13.3, following Sub and Supra, respectively; P = 0.08, Cohen's effect size = 0.62) more following Sub than Supra. While hypoxia may delay parasympathetic reactivation following submaximal exercise, its effect is not apparent following supramaximal exercise. This may suggest that the effect of blood O(2) partial pressure on parasympathetic reactivation is limited under heightened sympathetic activation.</p>","PeriodicalId":504973,"journal":{"name":"Frontiers in Physiology","volume":" ","pages":"289"},"PeriodicalIF":0.0000,"publicationDate":"2012-07-25","publicationTypes":"Journal Article","fieldsOfStudy":null,"isOpenAccess":false,"openAccessPdf":"https://sci-hub-pdf.com/10.3389/fphys.2012.00289","citationCount":"24","resultStr":"{\"title\":\"Effect of acute hypoxia on post-exercise parasympathetic reactivation in healthy men.\",\"authors\":\"Hani Al Haddad,&nbsp;Alberto Mendez-Villanueva,&nbsp;Pitre C Bourdon,&nbsp;Martin Buchheit\",\"doi\":\"10.3389/fphys.2012.00289\",\"DOIUrl\":null,\"url\":null,\"abstract\":\"<p><p>In this study we assessed the effect of acute hypoxia on post-exercise parasympathetic reactivation inferred from heart rate (HR) recovery (HRR) and HR variability (HRV) indices. Ten healthy males participated in this study. Following 10 min of seated rest, participants performed 5 min of submaximal running at the speed associated with the first ventilatory threshold (Sub) followed by a 20-s all-out supramaximal sprint (Supra). Both Sub and Supra runs were immediately followed by 15 min of seated passive recovery. The resting and exercise sequence were performed in both normoxia (N) and normobaric hypoxia (H; FiO(2) = 15.4%). HRR indices (e.g., heart beats recovered in the first minute after exercise cessation, HRR(60s)) and vagal-related HRV indices [i.e., natural logarithm of the square root of the mean of the sum of the squared differences between adjacent normal R-R intervals (Ln rMSSD)] were calculated for both conditions. Difference in the changes between N and H for all HR-derived indices were also calculated for both Sub and Supra. HRR(60s) was greater in N compared with H following Sub only (60 ± 14 vs. 52 ± 19 beats min(-1), P = 0.016). Ln rMSSD was greater in N compared with H (post Sub: 3.60 ± 0.45 vs. 3.28 ± 0.44 ms in N and H, respectively, and post Supra: 2.66 ± 0.54 vs. 2.65 ± 0.63 ms, main condition effect P = 0.02). When comparing the difference in the changes, hypoxia decreased HRR(60s) (-14.3% ± 17.2 vs. 5.2% ± 19.3; following Sub and Supra, respectively; P = 0.03) and Ln rMSSD (-8.6% ± 7.0 vs. 2.0% ± 13.3, following Sub and Supra, respectively; P = 0.08, Cohen's effect size = 0.62) more following Sub than Supra. While hypoxia may delay parasympathetic reactivation following submaximal exercise, its effect is not apparent following supramaximal exercise. This may suggest that the effect of blood O(2) partial pressure on parasympathetic reactivation is limited under heightened sympathetic activation.</p>\",\"PeriodicalId\":504973,\"journal\":{\"name\":\"Frontiers in Physiology\",\"volume\":\" \",\"pages\":\"289\"},\"PeriodicalIF\":0.0000,\"publicationDate\":\"2012-07-25\",\"publicationTypes\":\"Journal Article\",\"fieldsOfStudy\":null,\"isOpenAccess\":false,\"openAccessPdf\":\"https://sci-hub-pdf.com/10.3389/fphys.2012.00289\",\"citationCount\":\"24\",\"resultStr\":null,\"platform\":\"Semanticscholar\",\"paperid\":null,\"PeriodicalName\":\"Frontiers in Physiology\",\"FirstCategoryId\":\"3\",\"ListUrlMain\":\"https://doi.org/10.3389/fphys.2012.00289\",\"RegionNum\":0,\"RegionCategory\":null,\"ArticlePicture\":[],\"TitleCN\":null,\"AbstractTextCN\":null,\"PMCID\":null,\"EPubDate\":\"2012/1/1 0:00:00\",\"PubModel\":\"eCollection\",\"JCR\":\"\",\"JCRName\":\"\",\"Score\":null,\"Total\":0}","platform":"Semanticscholar","paperid":null,"PeriodicalName":"Frontiers in Physiology","FirstCategoryId":"3","ListUrlMain":"https://doi.org/10.3389/fphys.2012.00289","RegionNum":0,"RegionCategory":null,"ArticlePicture":[],"TitleCN":null,"AbstractTextCN":null,"PMCID":null,"EPubDate":"2012/1/1 0:00:00","PubModel":"eCollection","JCR":"","JCRName":"","Score":null,"Total":0}
引用次数: 24

摘要

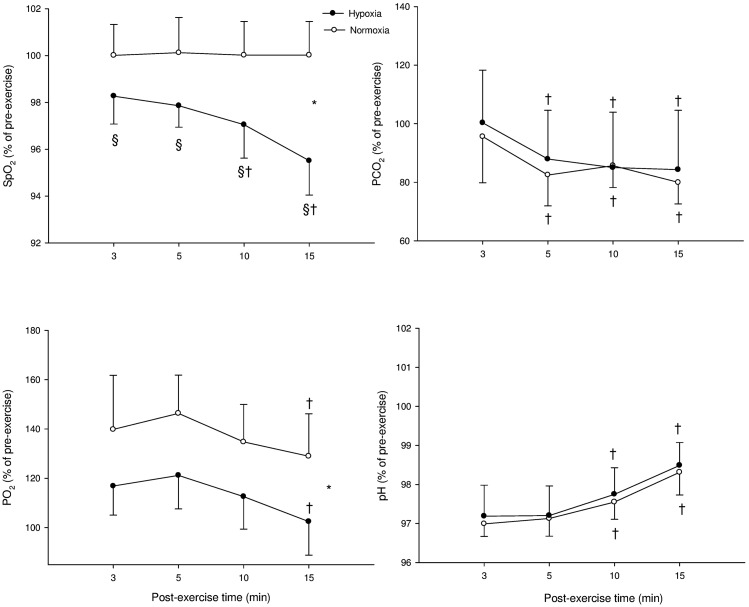
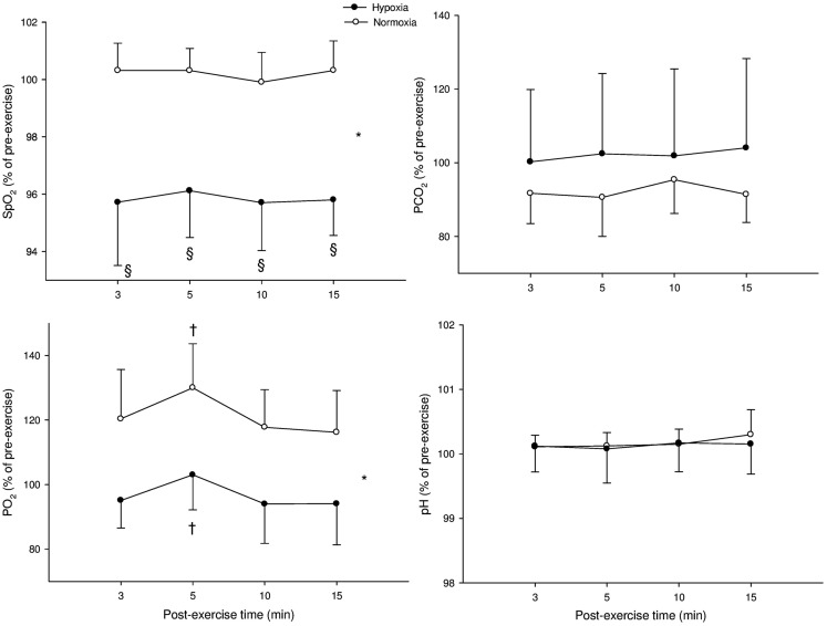
在这项研究中,我们通过心率(HR)恢复(HRR)和心率变异性(HRV)指数来评估急性缺氧对运动后副交感神经再激活的影响。10名健康男性参加了这项研究。静坐休息10分钟后,参与者以与第一次呼吸阈值(Sub)相关的速度进行5分钟的亚极限跑步,然后进行20秒的全力以赴超极限冲刺(Supra)。Sub和Supra均立即进行15分钟的坐式被动恢复。静息和运动顺序分别在常氧(N)和常压低氧(H;(2) = 15.4%)。计算两种情况下的HRR指数(例如,停止运动后第一分钟恢复的心跳,HRR(60s))和迷走神经相关HRV指数[即相邻正常R-R区间(Ln rMSSD)之间的平方差和均值的平方根的自然对数]。还计算了Sub和Supra中所有hr衍生指数的N和H之间的变化差异。N组HRR(60s)高于H组(60±14 vs 52±19)(-1),P = 0.016)。Ln rMSSD在N和H组分别为3.60±0.45 vs. 3.28±0.44 ms, Supra组分别为2.66±0.54 vs. 2.65±0.63 ms,主要条件效应P = 0.02)。比较变化的差异,缺氧降低HRR(60s)(-14.3%±17.2 vs. 5.2%±19.3;分别在Sub和Supra之后;P = 0.03)和Ln rMSSD(-8.6%±7.0 vs. 2.0%±13.3,分别紧随Sub和Supra;P = 0.08, Cohen's效应值= 0.62)Sub比Supra更多。虽然缺氧可以延迟次极大运动后副交感神经的再激活,但其效果在最大运动后并不明显。这可能表明在交感神经激活增强的情况下,血O(2)分压对副交感神经再激活的影响是有限的。
本文章由计算机程序翻译,如有差异,请以英文原文为准。

Effect of acute hypoxia on post-exercise parasympathetic reactivation in healthy men.

Effect of acute hypoxia on post-exercise parasympathetic reactivation in healthy men.

Effect of acute hypoxia on post-exercise parasympathetic reactivation in healthy men.

Effect of acute hypoxia on post-exercise parasympathetic reactivation in healthy men.

In this study we assessed the effect of acute hypoxia on post-exercise parasympathetic reactivation inferred from heart rate (HR) recovery (HRR) and HR variability (HRV) indices. Ten healthy males participated in this study. Following 10 min of seated rest, participants performed 5 min of submaximal running at the speed associated with the first ventilatory threshold (Sub) followed by a 20-s all-out supramaximal sprint (Supra). Both Sub and Supra runs were immediately followed by 15 min of seated passive recovery. The resting and exercise sequence were performed in both normoxia (N) and normobaric hypoxia (H; FiO(2) = 15.4%). HRR indices (e.g., heart beats recovered in the first minute after exercise cessation, HRR(60s)) and vagal-related HRV indices [i.e., natural logarithm of the square root of the mean of the sum of the squared differences between adjacent normal R-R intervals (Ln rMSSD)] were calculated for both conditions. Difference in the changes between N and H for all HR-derived indices were also calculated for both Sub and Supra. HRR(60s) was greater in N compared with H following Sub only (60 ± 14 vs. 52 ± 19 beats min(-1), P = 0.016). Ln rMSSD was greater in N compared with H (post Sub: 3.60 ± 0.45 vs. 3.28 ± 0.44 ms in N and H, respectively, and post Supra: 2.66 ± 0.54 vs. 2.65 ± 0.63 ms, main condition effect P = 0.02). When comparing the difference in the changes, hypoxia decreased HRR(60s) (-14.3% ± 17.2 vs. 5.2% ± 19.3; following Sub and Supra, respectively; P = 0.03) and Ln rMSSD (-8.6% ± 7.0 vs. 2.0% ± 13.3, following Sub and Supra, respectively; P = 0.08, Cohen's effect size = 0.62) more following Sub than Supra. While hypoxia may delay parasympathetic reactivation following submaximal exercise, its effect is not apparent following supramaximal exercise. This may suggest that the effect of blood O(2) partial pressure on parasympathetic reactivation is limited under heightened sympathetic activation.

求助全文
通过发布文献求助,成功后即可免费获取论文全文。 去求助
来源期刊
自引率
0.00%
发文量
0
×
引用
GB/T 7714-2015
复制
MLA
复制
APA
复制
导出至
BibTeX EndNote RefMan NoteFirst NoteExpress
×
提示
您的信息不完整,为了账户安全,请先补充。
现在去补充
×
提示
您因"违规操作"
具体请查看互助需知
我知道了
×
提示
确定
请完成安全验证×
copy
已复制链接
快去分享给好友吧!
我知道了
右上角分享
点击右上角分享
0
联系我们:info@booksci.cn Book学术提供免费学术资源搜索服务,方便国内外学者检索中英文文献。致力于提供最便捷和优质的服务体验。 Copyright © 2023 布克学术 All rights reserved.
京ICP备2023020795号-1
ghs 京公网安备 11010802042870号
Book学术文献互助
Book学术文献互助群
群 号:604180095
Book学术官方微信