内侧前额叶皮层5 -羟色胺1A和2A受体结合相互作用预测威胁相关的杏仁核反应。

Patrick M Fisher, Julie C Price, Carolyn C Meltzer, Eydie L Moses-Kolko, Carl Becker, Sarah L Berga, Ahmad R Hariri
{"title":"内侧前额叶皮层5 -羟色胺1A和2A受体结合相互作用预测威胁相关的杏仁核反应。","authors":"Patrick M Fisher,&nbsp;Julie C Price,&nbsp;Carolyn C Meltzer,&nbsp;Eydie L Moses-Kolko,&nbsp;Carl Becker,&nbsp;Sarah L Berga,&nbsp;Ahmad R Hariri","doi":"10.1186/2045-5380-1-2","DOIUrl":null,"url":null,"abstract":"<p><strong>Background: </strong>The amygdala and medial prefrontal cortex (mPFC) comprise a key corticolimbic circuit that helps shape individual differences in sensitivity to threat and the related risk for psychopathology. Although serotonin (5-HT) is known to be a key modulator of this circuit, the specific receptors mediating this modulation are unclear. The colocalization of 5-HT1A and 5-HT2A receptors on mPFC glutamatergic neurons suggests that their functional interactions may mediate 5-HT effects on this circuit through top-down regulation of amygdala reactivity. Using a multimodal neuroimaging strategy in 39 healthy volunteers, we determined whether threat-related amygdala reactivity, assessed with blood oxygen level-dependent functional magnetic resonance imaging, was significantly predicted by the interaction between mPFC 5-HT1A and 5-HT2A receptor levels, assessed by positron emission tomography.</p><p><strong>Results: </strong>5-HT1A binding in the mPFC significantly moderated an inverse correlation between mPFC 5-HT2A binding and threat-related amygdala reactivity. Specifically, mPFC 5-HT2A binding was significantly inversely correlated with amygdala reactivity only when mPFC 5-HT1A binding was relatively low.</p><p><strong>Conclusions: </strong>Our findings provide evidence that 5-HT1A and 5-HT2A receptors interact to shape serotonergic modulation of a functional circuit between the amygdala and mPFC. The effect of the interaction between mPFC 5-HT1A and 5-HT2A binding and amygdala reactivity is consistent with the colocalization of these receptors on glutamatergic neurons in the mPFC.</p>","PeriodicalId":89532,"journal":{"name":"Biology of mood & anxiety disorders","volume":"1 1","pages":"2"},"PeriodicalIF":0.0000,"publicationDate":"2011-09-27","publicationTypes":"Journal Article","fieldsOfStudy":null,"isOpenAccess":false,"openAccessPdf":"https://sci-hub-pdf.com/10.1186/2045-5380-1-2","citationCount":"47","resultStr":"{\"title\":\"Medial prefrontal cortex serotonin 1A and 2A receptor binding interacts to predict threat-related amygdala reactivity.\",\"authors\":\"Patrick M Fisher,&nbsp;Julie C Price,&nbsp;Carolyn C Meltzer,&nbsp;Eydie L Moses-Kolko,&nbsp;Carl Becker,&nbsp;Sarah L Berga,&nbsp;Ahmad R Hariri\",\"doi\":\"10.1186/2045-5380-1-2\",\"DOIUrl\":null,\"url\":null,\"abstract\":\"<p><strong>Background: </strong>The amygdala and medial prefrontal cortex (mPFC) comprise a key corticolimbic circuit that helps shape individual differences in sensitivity to threat and the related risk for psychopathology. Although serotonin (5-HT) is known to be a key modulator of this circuit, the specific receptors mediating this modulation are unclear. The colocalization of 5-HT1A and 5-HT2A receptors on mPFC glutamatergic neurons suggests that their functional interactions may mediate 5-HT effects on this circuit through top-down regulation of amygdala reactivity. Using a multimodal neuroimaging strategy in 39 healthy volunteers, we determined whether threat-related amygdala reactivity, assessed with blood oxygen level-dependent functional magnetic resonance imaging, was significantly predicted by the interaction between mPFC 5-HT1A and 5-HT2A receptor levels, assessed by positron emission tomography.</p><p><strong>Results: </strong>5-HT1A binding in the mPFC significantly moderated an inverse correlation between mPFC 5-HT2A binding and threat-related amygdala reactivity. Specifically, mPFC 5-HT2A binding was significantly inversely correlated with amygdala reactivity only when mPFC 5-HT1A binding was relatively low.</p><p><strong>Conclusions: </strong>Our findings provide evidence that 5-HT1A and 5-HT2A receptors interact to shape serotonergic modulation of a functional circuit between the amygdala and mPFC. The effect of the interaction between mPFC 5-HT1A and 5-HT2A binding and amygdala reactivity is consistent with the colocalization of these receptors on glutamatergic neurons in the mPFC.</p>\",\"PeriodicalId\":89532,\"journal\":{\"name\":\"Biology of mood & anxiety disorders\",\"volume\":\"1 1\",\"pages\":\"2\"},\"PeriodicalIF\":0.0000,\"publicationDate\":\"2011-09-27\",\"publicationTypes\":\"Journal Article\",\"fieldsOfStudy\":null,\"isOpenAccess\":false,\"openAccessPdf\":\"https://sci-hub-pdf.com/10.1186/2045-5380-1-2\",\"citationCount\":\"47\",\"resultStr\":null,\"platform\":\"Semanticscholar\",\"paperid\":null,\"PeriodicalName\":\"Biology of mood & anxiety disorders\",\"FirstCategoryId\":\"1085\",\"ListUrlMain\":\"https://doi.org/10.1186/2045-5380-1-2\",\"RegionNum\":0,\"RegionCategory\":null,\"ArticlePicture\":[],\"TitleCN\":null,\"AbstractTextCN\":null,\"PMCID\":null,\"EPubDate\":\"\",\"PubModel\":\"\",\"JCR\":\"\",\"JCRName\":\"\",\"Score\":null,\"Total\":0}","platform":"Semanticscholar","paperid":null,"PeriodicalName":"Biology of mood & anxiety disorders","FirstCategoryId":"1085","ListUrlMain":"https://doi.org/10.1186/2045-5380-1-2","RegionNum":0,"RegionCategory":null,"ArticlePicture":[],"TitleCN":null,"AbstractTextCN":null,"PMCID":null,"EPubDate":"","PubModel":"","JCR":"","JCRName":"","Score":null,"Total":0}
引用次数: 47

摘要

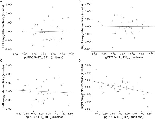
背景:杏仁核和内侧前额叶皮层(mPFC)组成了一个关键的皮质边缘回路,它有助于形成个体对威胁的敏感性差异和精神病理的相关风险。虽然已知5-羟色胺(5-HT)是该回路的关键调节剂,但介导这种调节的特定受体尚不清楚。5-HT1A和5-HT2A受体在mPFC谷氨酸能神经元上的共定位表明,它们的功能相互作用可能通过自上而下调节杏仁核反应性来介导5-HT对该回路的影响。通过对39名健康志愿者的多模式神经成像策略,我们确定了mPFC 5-HT1A和5-HT2A受体水平之间的相互作用是否能显著预测与威胁相关的杏仁核反应性(通过血氧水平依赖的功能磁共振成像评估),并通过正电子发射断层扫描评估。结果:5-HT1A在mPFC中的结合显著调节了mPFC 5-HT2A结合与威胁相关杏仁核反应性之间的负相关。具体来说,只有当mPFC 5-HT1A结合水平相对较低时,mPFC 5-HT2A结合才与杏仁核反应性呈显著负相关。结论:我们的研究结果提供了证据,证明5-HT1A和5-HT2A受体相互作用,形成杏仁核和mPFC之间功能回路的血清素能调节。mPFC 5-HT1A和5-HT2A结合与杏仁核反应性相互作用的影响与这些受体在mPFC谷氨酸能神经元上的共定位一致。
本文章由计算机程序翻译,如有差异,请以英文原文为准。

Medial prefrontal cortex serotonin 1A and 2A receptor binding interacts to predict threat-related amygdala reactivity.

Medial prefrontal cortex serotonin 1A and 2A receptor binding interacts to predict threat-related amygdala reactivity.

Medial prefrontal cortex serotonin 1A and 2A receptor binding interacts to predict threat-related amygdala reactivity.

Medial prefrontal cortex serotonin 1A and 2A receptor binding interacts to predict threat-related amygdala reactivity.

Background: The amygdala and medial prefrontal cortex (mPFC) comprise a key corticolimbic circuit that helps shape individual differences in sensitivity to threat and the related risk for psychopathology. Although serotonin (5-HT) is known to be a key modulator of this circuit, the specific receptors mediating this modulation are unclear. The colocalization of 5-HT1A and 5-HT2A receptors on mPFC glutamatergic neurons suggests that their functional interactions may mediate 5-HT effects on this circuit through top-down regulation of amygdala reactivity. Using a multimodal neuroimaging strategy in 39 healthy volunteers, we determined whether threat-related amygdala reactivity, assessed with blood oxygen level-dependent functional magnetic resonance imaging, was significantly predicted by the interaction between mPFC 5-HT1A and 5-HT2A receptor levels, assessed by positron emission tomography.

Results: 5-HT1A binding in the mPFC significantly moderated an inverse correlation between mPFC 5-HT2A binding and threat-related amygdala reactivity. Specifically, mPFC 5-HT2A binding was significantly inversely correlated with amygdala reactivity only when mPFC 5-HT1A binding was relatively low.

Conclusions: Our findings provide evidence that 5-HT1A and 5-HT2A receptors interact to shape serotonergic modulation of a functional circuit between the amygdala and mPFC. The effect of the interaction between mPFC 5-HT1A and 5-HT2A binding and amygdala reactivity is consistent with the colocalization of these receptors on glutamatergic neurons in the mPFC.

求助全文
通过发布文献求助,成功后即可免费获取论文全文。 去求助
来源期刊
自引率
0.00%
发文量
0
×
引用
GB/T 7714-2015
复制
MLA
复制
APA
复制
导出至
BibTeX EndNote RefMan NoteFirst NoteExpress
×
提示
您的信息不完整,为了账户安全,请先补充。
现在去补充
×
提示
您因"违规操作"
具体请查看互助需知
我知道了
×
提示
确定
请完成安全验证×
copy
已复制链接
快去分享给好友吧!
我知道了
右上角分享
点击右上角分享
0
联系我们:info@booksci.cn Book学术提供免费学术资源搜索服务,方便国内外学者检索中英文文献。致力于提供最便捷和优质的服务体验。 Copyright © 2023 布克学术 All rights reserved.
京ICP备2023020795号-1
ghs 京公网安备 11010802042870号
Book学术文献互助
Book学术文献互助群
群 号:604180095
Book学术官方微信