4-苯胺喹啉衍生物作为强效细胞凋亡诱导剂和抗癌剂的2D和3D-QSAR研究。

Vivek Kumar Vyas, Manjunath Ghate, Hitesh Katariya
{"title":"4-苯胺喹啉衍生物作为强效细胞凋亡诱导剂和抗癌剂的2D和3D-QSAR研究。","authors":"Vivek Kumar Vyas,&nbsp;Manjunath Ghate,&nbsp;Hitesh Katariya","doi":"10.1186/2191-2858-1-13","DOIUrl":null,"url":null,"abstract":"<p><strong>Background: </strong>Apoptosis is known as programmed cell death that plays an important role in tumor biology.</p><p><strong>Methods: </strong>In this study, apoptosis-inducing activity is predicted by using a QSAR modeling approach for a series of 4-anilinoquinozaline derivatives. 2D-QSAR model for the prediction of apoptosis-inducing activity was obtained by applying multiple linear regression giving r2 = 0.8225 and q2 = 0.7626, principal component regression giving r2 = 0.7539 and q2 = 0.6669 and partial least squares giving r2 = 0.8237 and q2 = 0.6224.</p><p><strong>Results: </strong>QSAR study revealed that alignment-independent descriptors and distance-based topology index are the most important descriptors in predicting apoptosis-inducing activity. 3D-QSAR study was performed using k-nearest neighbor molecular field analysis (kNN-MFA) approach for both electrostatic and steric fields. Three different kNN-MFA 3D-QSAR methods (SW-FB, SA, and GA) were used for the development of models and tested successfully for internal (q2 > 0.62) and external (predictive r2 > 0.52) validation criteria. Thus, 3D-QSAR models showed that electrostatic effects dominantly determine the binding affinities.</p><p><strong>Conclusions: </strong>The QSAR models developed in this study would be useful for the development of new apoptosis inducer as anticancer agents.</p>","PeriodicalId":19639,"journal":{"name":"Organic and Medicinal Chemistry Letters","volume":" ","pages":"13"},"PeriodicalIF":0.0000,"publicationDate":"2011-10-04","publicationTypes":"Journal Article","fieldsOfStudy":null,"isOpenAccess":false,"openAccessPdf":"https://sci-hub-pdf.com/10.1186/2191-2858-1-13","citationCount":"7","resultStr":"{\"title\":\"2D and 3D-QSAR study on 4-anilinoquinozaline derivatives as potent apoptosis inducer and efficacious anticancer agent.\",\"authors\":\"Vivek Kumar Vyas,&nbsp;Manjunath Ghate,&nbsp;Hitesh Katariya\",\"doi\":\"10.1186/2191-2858-1-13\",\"DOIUrl\":null,\"url\":null,\"abstract\":\"<p><strong>Background: </strong>Apoptosis is known as programmed cell death that plays an important role in tumor biology.</p><p><strong>Methods: </strong>In this study, apoptosis-inducing activity is predicted by using a QSAR modeling approach for a series of 4-anilinoquinozaline derivatives. 2D-QSAR model for the prediction of apoptosis-inducing activity was obtained by applying multiple linear regression giving r2 = 0.8225 and q2 = 0.7626, principal component regression giving r2 = 0.7539 and q2 = 0.6669 and partial least squares giving r2 = 0.8237 and q2 = 0.6224.</p><p><strong>Results: </strong>QSAR study revealed that alignment-independent descriptors and distance-based topology index are the most important descriptors in predicting apoptosis-inducing activity. 3D-QSAR study was performed using k-nearest neighbor molecular field analysis (kNN-MFA) approach for both electrostatic and steric fields. Three different kNN-MFA 3D-QSAR methods (SW-FB, SA, and GA) were used for the development of models and tested successfully for internal (q2 > 0.62) and external (predictive r2 > 0.52) validation criteria. Thus, 3D-QSAR models showed that electrostatic effects dominantly determine the binding affinities.</p><p><strong>Conclusions: </strong>The QSAR models developed in this study would be useful for the development of new apoptosis inducer as anticancer agents.</p>\",\"PeriodicalId\":19639,\"journal\":{\"name\":\"Organic and Medicinal Chemistry Letters\",\"volume\":\" \",\"pages\":\"13\"},\"PeriodicalIF\":0.0000,\"publicationDate\":\"2011-10-04\",\"publicationTypes\":\"Journal Article\",\"fieldsOfStudy\":null,\"isOpenAccess\":false,\"openAccessPdf\":\"https://sci-hub-pdf.com/10.1186/2191-2858-1-13\",\"citationCount\":\"7\",\"resultStr\":null,\"platform\":\"Semanticscholar\",\"paperid\":null,\"PeriodicalName\":\"Organic and Medicinal Chemistry Letters\",\"FirstCategoryId\":\"1085\",\"ListUrlMain\":\"https://doi.org/10.1186/2191-2858-1-13\",\"RegionNum\":0,\"RegionCategory\":null,\"ArticlePicture\":[],\"TitleCN\":null,\"AbstractTextCN\":null,\"PMCID\":null,\"EPubDate\":\"\",\"PubModel\":\"\",\"JCR\":\"\",\"JCRName\":\"\",\"Score\":null,\"Total\":0}","platform":"Semanticscholar","paperid":null,"PeriodicalName":"Organic and Medicinal Chemistry Letters","FirstCategoryId":"1085","ListUrlMain":"https://doi.org/10.1186/2191-2858-1-13","RegionNum":0,"RegionCategory":null,"ArticlePicture":[],"TitleCN":null,"AbstractTextCN":null,"PMCID":null,"EPubDate":"","PubModel":"","JCR":"","JCRName":"","Score":null,"Total":0}
引用次数: 7

摘要

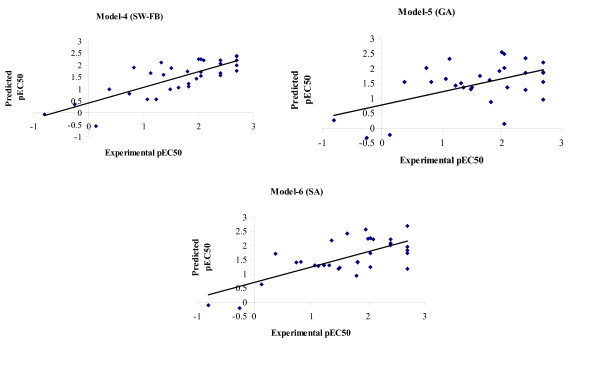
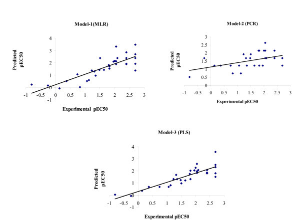
背景:细胞凋亡是一种程序性细胞死亡,在肿瘤生物学中起着重要作用。方法:采用QSAR建模方法对一系列4-苯胺喹诺唑啉衍生物进行细胞凋亡诱导活性预测。采用多元线性回归(r2 = 0.8225, q2 = 0.7626)、主成分回归(r2 = 0.7539, q2 = 0.6669)和偏最小二乘(r2 = 0.8237, q2 = 0.6224)分别建立了预测细胞凋亡诱导活性的2D-QSAR模型。结果:QSAR研究表明,与序列无关的描述符和基于距离的拓扑指数是预测细胞凋亡诱导活性的最重要描述符。3D-QSAR研究采用k近邻分子场分析(kNN-MFA)方法对静电场和空间场进行。三种不同的kNN-MFA 3D-QSAR方法(SW-FB、SA和GA)用于模型的开发,并成功地通过内部(q2 > 0.62)和外部(预测r2 > 0.52)验证标准进行了测试。因此,3D-QSAR模型表明,静电效应主要决定了结合亲和力。结论:本研究建立的QSAR模型可为开发新的细胞凋亡诱导剂作为抗癌药物提供参考。
本文章由计算机程序翻译,如有差异,请以英文原文为准。

2D and 3D-QSAR study on 4-anilinoquinozaline derivatives as potent apoptosis inducer and efficacious anticancer agent.

2D and 3D-QSAR study on 4-anilinoquinozaline derivatives as potent apoptosis inducer and efficacious anticancer agent.

2D and 3D-QSAR study on 4-anilinoquinozaline derivatives as potent apoptosis inducer and efficacious anticancer agent.

2D and 3D-QSAR study on 4-anilinoquinozaline derivatives as potent apoptosis inducer and efficacious anticancer agent.

Background: Apoptosis is known as programmed cell death that plays an important role in tumor biology.

Methods: In this study, apoptosis-inducing activity is predicted by using a QSAR modeling approach for a series of 4-anilinoquinozaline derivatives. 2D-QSAR model for the prediction of apoptosis-inducing activity was obtained by applying multiple linear regression giving r2 = 0.8225 and q2 = 0.7626, principal component regression giving r2 = 0.7539 and q2 = 0.6669 and partial least squares giving r2 = 0.8237 and q2 = 0.6224.

Results: QSAR study revealed that alignment-independent descriptors and distance-based topology index are the most important descriptors in predicting apoptosis-inducing activity. 3D-QSAR study was performed using k-nearest neighbor molecular field analysis (kNN-MFA) approach for both electrostatic and steric fields. Three different kNN-MFA 3D-QSAR methods (SW-FB, SA, and GA) were used for the development of models and tested successfully for internal (q2 > 0.62) and external (predictive r2 > 0.52) validation criteria. Thus, 3D-QSAR models showed that electrostatic effects dominantly determine the binding affinities.

Conclusions: The QSAR models developed in this study would be useful for the development of new apoptosis inducer as anticancer agents.

求助全文
通过发布文献求助,成功后即可免费获取论文全文。 去求助
来源期刊
自引率
0.00%
发文量
0
×
引用
GB/T 7714-2015
复制
MLA
复制
APA
复制
导出至
BibTeX EndNote RefMan NoteFirst NoteExpress
×
提示
您的信息不完整,为了账户安全,请先补充。
现在去补充
×
提示
您因"违规操作"
具体请查看互助需知
我知道了
×
提示
确定
请完成安全验证×
copy
已复制链接
快去分享给好友吧!
我知道了
右上角分享
点击右上角分享
0
联系我们:info@booksci.cn Book学术提供免费学术资源搜索服务,方便国内外学者检索中英文文献。致力于提供最便捷和优质的服务体验。 Copyright © 2023 布克学术 All rights reserved.
京ICP备2023020795号-1
ghs 京公网安备 11010802042870号
Book学术文献互助
Book学术文献互助群
群 号:604180095
Book学术官方微信