一种新型多巴胺-β-羟化酶抑制剂依他司他的安全性、耐受性和药代动力学:在年轻健康受试者中进行的多剂量研究

Teresa Nunes, José F Rocha, Manuel Vaz-da-Silva, Bruno Igreja, Lyndon C Wright, Amílcar Falcão, Luis Almeida, Patricio Soares-da-Silva
{"title":"一种新型多巴胺-β-羟化酶抑制剂依他司他的安全性、耐受性和药代动力学:在年轻健康受试者中进行的多剂量研究","authors":"Teresa Nunes,&nbsp;José F Rocha,&nbsp;Manuel Vaz-da-Silva,&nbsp;Bruno Igreja,&nbsp;Lyndon C Wright,&nbsp;Amílcar Falcão,&nbsp;Luis Almeida,&nbsp;Patricio Soares-da-Silva","doi":"10.2165/11586310-000000000-00000","DOIUrl":null,"url":null,"abstract":"<p><strong>Background: </strong>Activation of the sympathetic nervous system is an important feature in hypertension and congestive heart failure. A strategy for directly modulating sympathetic nerve function is to reduce the biosynthesis of norepinephrine (noradrenaline) via inhibition of dopamine-β-hydroxylase (DβH).</p><p><strong>Objective: </strong>To assess the safety, tolerability, and pharmacokinetics of etamicastat (BIA 5-453), a new DβH inhibitor, following repeated dosing.</p><p><strong>Methods: </strong>A double-blind, randomized, placebo-controlled study was conducted in healthy young male volunteers. Participants received once-daily doses of placebo or etamicastat 25, 50, 100, 200, 400, or 600 mg, for 10 days.</p><p><strong>Results: </strong>Etamicastat underwent N-acetylation to its metabolite BIA 5-961. Etamicastat and BIA 5-961 maximum concentrations were achieved at 1-3 and 2-4 hours, respectively, after dosing. Elimination half-lives ranged from 18.1 to 25.7 hours for etamicastat and 6.7 to 22.5 hours for BIA 5-961. Both etamicastat and BIA 5-961 followed linear pharmacokinetics. The extent of systemic exposure to etamicastat and BIA 5-961 increased in an approximately dose-proportional manner, and steady-state plasma concentrations were attained up to 9 days of dosing. Etamicastat accumulated in plasma following repeated administration. The mean observed accumulation ratio was 1.3-1.9 for etamicastat and 1.3-1.6 for BIA 5-961. Approximately 40% of the etamicastat dose was recovered in urine in the form of parent compound and BIA 5-961. There was a high variability in pharmacokinetic parameters, attributable to different N-acetyltransferase-2 (NAT2) phenotype. Urinary excretion of norepinephrine decreased following repeated administration of etamicastat. Etamicastat was generally well tolerated. There was no serious adverse event or clinically significant abnormality in clinical laboratory tests, vital signs, or ECG parameters.</p><p><strong>Conclusion: </strong>Etamicastat was well tolerated. Etamicastat undergoes N-acetylation, which is markedly influenced by NAT2 phenotype. NAT2 genotyping could be a step toward personalized medicine for etamicastat.</p><p><strong>Trial registration: </strong>EudraCT No. 2007-004142-33.</p>","PeriodicalId":11373,"journal":{"name":"Drugs in R & D","volume":" ","pages":"225-42"},"PeriodicalIF":0.0000,"publicationDate":"2010-01-01","publicationTypes":"Journal Article","fieldsOfStudy":null,"isOpenAccess":false,"openAccessPdf":"https://sci-hub-pdf.com/10.2165/11586310-000000000-00000","citationCount":"23","resultStr":"{\"title\":\"Safety, tolerability, and pharmacokinetics of etamicastat, a novel dopamine-β-hydroxylase inhibitor, in a rising multiple-dose study in young healthy subjects.\",\"authors\":\"Teresa Nunes,&nbsp;José F Rocha,&nbsp;Manuel Vaz-da-Silva,&nbsp;Bruno Igreja,&nbsp;Lyndon C Wright,&nbsp;Amílcar Falcão,&nbsp;Luis Almeida,&nbsp;Patricio Soares-da-Silva\",\"doi\":\"10.2165/11586310-000000000-00000\",\"DOIUrl\":null,\"url\":null,\"abstract\":\"<p><strong>Background: </strong>Activation of the sympathetic nervous system is an important feature in hypertension and congestive heart failure. A strategy for directly modulating sympathetic nerve function is to reduce the biosynthesis of norepinephrine (noradrenaline) via inhibition of dopamine-β-hydroxylase (DβH).</p><p><strong>Objective: </strong>To assess the safety, tolerability, and pharmacokinetics of etamicastat (BIA 5-453), a new DβH inhibitor, following repeated dosing.</p><p><strong>Methods: </strong>A double-blind, randomized, placebo-controlled study was conducted in healthy young male volunteers. Participants received once-daily doses of placebo or etamicastat 25, 50, 100, 200, 400, or 600 mg, for 10 days.</p><p><strong>Results: </strong>Etamicastat underwent N-acetylation to its metabolite BIA 5-961. Etamicastat and BIA 5-961 maximum concentrations were achieved at 1-3 and 2-4 hours, respectively, after dosing. Elimination half-lives ranged from 18.1 to 25.7 hours for etamicastat and 6.7 to 22.5 hours for BIA 5-961. Both etamicastat and BIA 5-961 followed linear pharmacokinetics. The extent of systemic exposure to etamicastat and BIA 5-961 increased in an approximately dose-proportional manner, and steady-state plasma concentrations were attained up to 9 days of dosing. Etamicastat accumulated in plasma following repeated administration. The mean observed accumulation ratio was 1.3-1.9 for etamicastat and 1.3-1.6 for BIA 5-961. Approximately 40% of the etamicastat dose was recovered in urine in the form of parent compound and BIA 5-961. There was a high variability in pharmacokinetic parameters, attributable to different N-acetyltransferase-2 (NAT2) phenotype. Urinary excretion of norepinephrine decreased following repeated administration of etamicastat. Etamicastat was generally well tolerated. There was no serious adverse event or clinically significant abnormality in clinical laboratory tests, vital signs, or ECG parameters.</p><p><strong>Conclusion: </strong>Etamicastat was well tolerated. Etamicastat undergoes N-acetylation, which is markedly influenced by NAT2 phenotype. NAT2 genotyping could be a step toward personalized medicine for etamicastat.</p><p><strong>Trial registration: </strong>EudraCT No. 2007-004142-33.</p>\",\"PeriodicalId\":11373,\"journal\":{\"name\":\"Drugs in R & D\",\"volume\":\" \",\"pages\":\"225-42\"},\"PeriodicalIF\":0.0000,\"publicationDate\":\"2010-01-01\",\"publicationTypes\":\"Journal Article\",\"fieldsOfStudy\":null,\"isOpenAccess\":false,\"openAccessPdf\":\"https://sci-hub-pdf.com/10.2165/11586310-000000000-00000\",\"citationCount\":\"23\",\"resultStr\":null,\"platform\":\"Semanticscholar\",\"paperid\":null,\"PeriodicalName\":\"Drugs in R & D\",\"FirstCategoryId\":\"3\",\"ListUrlMain\":\"https://doi.org/10.2165/11586310-000000000-00000\",\"RegionNum\":0,\"RegionCategory\":null,\"ArticlePicture\":[],\"TitleCN\":null,\"AbstractTextCN\":null,\"PMCID\":null,\"EPubDate\":\"\",\"PubModel\":\"\",\"JCR\":\"\",\"JCRName\":\"\",\"Score\":null,\"Total\":0}","platform":"Semanticscholar","paperid":null,"PeriodicalName":"Drugs in R & D","FirstCategoryId":"3","ListUrlMain":"https://doi.org/10.2165/11586310-000000000-00000","RegionNum":0,"RegionCategory":null,"ArticlePicture":[],"TitleCN":null,"AbstractTextCN":null,"PMCID":null,"EPubDate":"","PubModel":"","JCR":"","JCRName":"","Score":null,"Total":0}
引用次数: 23

摘要

背景:交感神经系统的激活是高血压和充血性心力衰竭的重要特征。直接调节交感神经功能的策略是通过抑制多巴胺-β-羟化酶(d -β h)来减少去甲肾上腺素(去甲肾上腺素)的生物合成。目的:评价新型DβH抑制剂依他司他(BIA 5-453)重复给药后的安全性、耐受性和药代动力学。方法:在健康的年轻男性志愿者中进行双盲、随机、安慰剂对照研究。参与者每天服用一次安慰剂或依他司他25、50、100、200、400或600毫克,持续10天。结果:依他司他的代谢产物BIA 5-961发生了n -乙酰化。依他司他和BIA 5-961分别在给药后1-3和2-4小时达到最大浓度。依他司他的半衰期为18.1至25.7小时,BIA 5-961的半衰期为6.7至22.5小时。依他司他和BIA 5-961均符合线性药代动力学。全身暴露于依他司他和BIA 5-961的程度以近似剂量正比的方式增加,并且在给药后9天内达到稳态血浆浓度。反复给药后,依他司他在血浆中积累。依他司他的平均累积比为1.3 ~ 1.9,BIA 5-961的平均累积比为1.3 ~ 1.6。大约40%的依他司他剂量以母体化合物和BIA 5-961的形式从尿液中回收。由于不同的n -乙酰转移酶-2 (NAT2)表型,药代动力学参数具有很高的可变性。尿中去甲肾上腺素的排泄在反复服用依他司他后减少。依他司他总体耐受良好。临床实验室检查、生命体征、心电图参数均无严重不良事件或临床显著异常。结论:依他司他耐受性良好。依替司他经历n -乙酰化,这明显受到NAT2表型的影响。NAT2基因分型可能是对依他司他进行个体化治疗的一步。试验注册:审稿号2007-004142-33。
本文章由计算机程序翻译,如有差异,请以英文原文为准。

Safety, tolerability, and pharmacokinetics of etamicastat, a novel dopamine-β-hydroxylase inhibitor, in a rising multiple-dose study in young healthy subjects.

Safety, tolerability, and pharmacokinetics of etamicastat, a novel dopamine-β-hydroxylase inhibitor, in a rising multiple-dose study in young healthy subjects.

Safety, tolerability, and pharmacokinetics of etamicastat, a novel dopamine-β-hydroxylase inhibitor, in a rising multiple-dose study in young healthy subjects.

Safety, tolerability, and pharmacokinetics of etamicastat, a novel dopamine-β-hydroxylase inhibitor, in a rising multiple-dose study in young healthy subjects.

Background: Activation of the sympathetic nervous system is an important feature in hypertension and congestive heart failure. A strategy for directly modulating sympathetic nerve function is to reduce the biosynthesis of norepinephrine (noradrenaline) via inhibition of dopamine-β-hydroxylase (DβH).

Objective: To assess the safety, tolerability, and pharmacokinetics of etamicastat (BIA 5-453), a new DβH inhibitor, following repeated dosing.

Methods: A double-blind, randomized, placebo-controlled study was conducted in healthy young male volunteers. Participants received once-daily doses of placebo or etamicastat 25, 50, 100, 200, 400, or 600 mg, for 10 days.

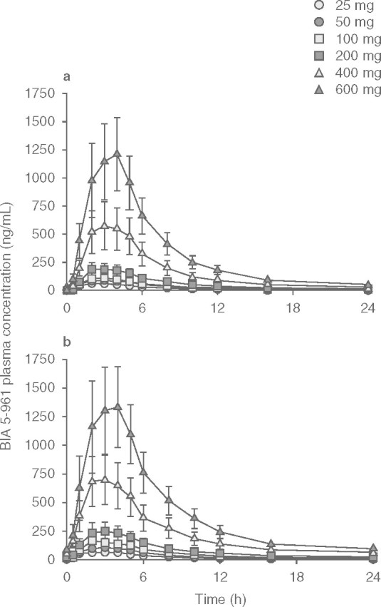
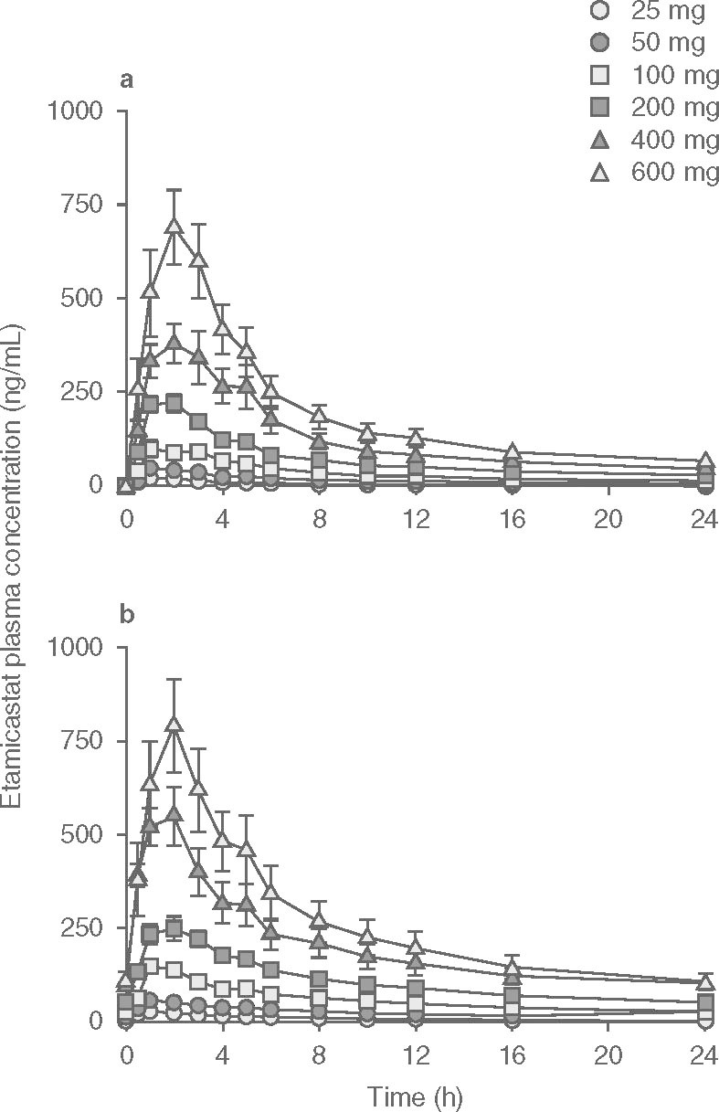
Results: Etamicastat underwent N-acetylation to its metabolite BIA 5-961. Etamicastat and BIA 5-961 maximum concentrations were achieved at 1-3 and 2-4 hours, respectively, after dosing. Elimination half-lives ranged from 18.1 to 25.7 hours for etamicastat and 6.7 to 22.5 hours for BIA 5-961. Both etamicastat and BIA 5-961 followed linear pharmacokinetics. The extent of systemic exposure to etamicastat and BIA 5-961 increased in an approximately dose-proportional manner, and steady-state plasma concentrations were attained up to 9 days of dosing. Etamicastat accumulated in plasma following repeated administration. The mean observed accumulation ratio was 1.3-1.9 for etamicastat and 1.3-1.6 for BIA 5-961. Approximately 40% of the etamicastat dose was recovered in urine in the form of parent compound and BIA 5-961. There was a high variability in pharmacokinetic parameters, attributable to different N-acetyltransferase-2 (NAT2) phenotype. Urinary excretion of norepinephrine decreased following repeated administration of etamicastat. Etamicastat was generally well tolerated. There was no serious adverse event or clinically significant abnormality in clinical laboratory tests, vital signs, or ECG parameters.

Conclusion: Etamicastat was well tolerated. Etamicastat undergoes N-acetylation, which is markedly influenced by NAT2 phenotype. NAT2 genotyping could be a step toward personalized medicine for etamicastat.

Trial registration: EudraCT No. 2007-004142-33.

求助全文
通过发布文献求助,成功后即可免费获取论文全文。 去求助
来源期刊
自引率
0.00%
发文量
0
×
引用
GB/T 7714-2015
复制
MLA
复制
APA
复制
导出至
BibTeX EndNote RefMan NoteFirst NoteExpress
×
提示
您的信息不完整,为了账户安全,请先补充。
现在去补充
×
提示
您因"违规操作"
具体请查看互助需知
我知道了
×
提示
确定
请完成安全验证×
copy
已复制链接
快去分享给好友吧!
我知道了
右上角分享
点击右上角分享
0
联系我们:info@booksci.cn Book学术提供免费学术资源搜索服务,方便国内外学者检索中英文文献。致力于提供最便捷和优质的服务体验。 Copyright © 2023 布克学术 All rights reserved.
京ICP备2023020795号-1
ghs 京公网安备 11010802042870号
Book学术文献互助
Book学术文献互助群
群 号:604180095
Book学术官方微信