六方介孔二氧化硅固定化槲皮素修饰碳糊电极同时测定铜、铅和镉。

Fangquan Xia, Xin Zhang, Changli Zhou, Danzi Sun, Yanmin Dong, Zhen Liu
{"title":"六方介孔二氧化硅固定化槲皮素修饰碳糊电极同时测定铜、铅和镉。","authors":"Fangquan Xia,&nbsp;Xin Zhang,&nbsp;Changli Zhou,&nbsp;Danzi Sun,&nbsp;Yanmin Dong,&nbsp;Zhen Liu","doi":"10.1155/2010/824197","DOIUrl":null,"url":null,"abstract":"<p><p>A new method was developed for simultaneous determination of copper, lead, and cadmium, based on their voltammetric response at a carbon paste electrode modified with hexagonal mesoporous silica (HMS) immobilized quercetin (HMS-Qu/CPE). Compared with quercetin modified carbon paste electrode (Qu/CPE) and quercetin ionic liquid modified carbon paste electrode (Qu-IL/CPE), the HMS-Qu/CPE exhibited improved selectivity and high sensitivity toward the detection of copper, lead, and cadmium. The properties of the HMS-Qu/CPE in 0.1 M HCOONa-HCl buffer solution (pH 4.7) were investigated by adsorptive stripping voltammetry (ASV) and electrochemical impedance spectroscopy (EIS). The electrochemical behavior of copper, lead, and cadmium at the modified electrodes and factors affecting the preconcentration procedures were also investigated. Detection limits of 5.0, 0.8, 1.0 nM for copper, lead, and cadmium were obtained, respectively. The method is simple, fast, sensitive, and selective, and is successfully applied to soil sample.</p>","PeriodicalId":15248,"journal":{"name":"Journal of Automated Methods & Management in Chemistry","volume":"2010 ","pages":"824197"},"PeriodicalIF":0.0000,"publicationDate":"2010-01-01","publicationTypes":"Journal Article","fieldsOfStudy":null,"isOpenAccess":false,"openAccessPdf":"https://sci-hub-pdf.com/10.1155/2010/824197","citationCount":"27","resultStr":"{\"title\":\"Simultaneous determination of copper, lead, and cadmium at hexagonal mesoporous silica immobilized quercetin modified carbon paste electrode.\",\"authors\":\"Fangquan Xia,&nbsp;Xin Zhang,&nbsp;Changli Zhou,&nbsp;Danzi Sun,&nbsp;Yanmin Dong,&nbsp;Zhen Liu\",\"doi\":\"10.1155/2010/824197\",\"DOIUrl\":null,\"url\":null,\"abstract\":\"<p><p>A new method was developed for simultaneous determination of copper, lead, and cadmium, based on their voltammetric response at a carbon paste electrode modified with hexagonal mesoporous silica (HMS) immobilized quercetin (HMS-Qu/CPE). Compared with quercetin modified carbon paste electrode (Qu/CPE) and quercetin ionic liquid modified carbon paste electrode (Qu-IL/CPE), the HMS-Qu/CPE exhibited improved selectivity and high sensitivity toward the detection of copper, lead, and cadmium. The properties of the HMS-Qu/CPE in 0.1 M HCOONa-HCl buffer solution (pH 4.7) were investigated by adsorptive stripping voltammetry (ASV) and electrochemical impedance spectroscopy (EIS). The electrochemical behavior of copper, lead, and cadmium at the modified electrodes and factors affecting the preconcentration procedures were also investigated. Detection limits of 5.0, 0.8, 1.0 nM for copper, lead, and cadmium were obtained, respectively. The method is simple, fast, sensitive, and selective, and is successfully applied to soil sample.</p>\",\"PeriodicalId\":15248,\"journal\":{\"name\":\"Journal of Automated Methods & Management in Chemistry\",\"volume\":\"2010 \",\"pages\":\"824197\"},\"PeriodicalIF\":0.0000,\"publicationDate\":\"2010-01-01\",\"publicationTypes\":\"Journal Article\",\"fieldsOfStudy\":null,\"isOpenAccess\":false,\"openAccessPdf\":\"https://sci-hub-pdf.com/10.1155/2010/824197\",\"citationCount\":\"27\",\"resultStr\":null,\"platform\":\"Semanticscholar\",\"paperid\":null,\"PeriodicalName\":\"Journal of Automated Methods & Management in Chemistry\",\"FirstCategoryId\":\"1085\",\"ListUrlMain\":\"https://doi.org/10.1155/2010/824197\",\"RegionNum\":0,\"RegionCategory\":null,\"ArticlePicture\":[],\"TitleCN\":null,\"AbstractTextCN\":null,\"PMCID\":null,\"EPubDate\":\"2010/4/27 0:00:00\",\"PubModel\":\"Epub\",\"JCR\":\"\",\"JCRName\":\"\",\"Score\":null,\"Total\":0}","platform":"Semanticscholar","paperid":null,"PeriodicalName":"Journal of Automated Methods & Management in Chemistry","FirstCategoryId":"1085","ListUrlMain":"https://doi.org/10.1155/2010/824197","RegionNum":0,"RegionCategory":null,"ArticlePicture":[],"TitleCN":null,"AbstractTextCN":null,"PMCID":null,"EPubDate":"2010/4/27 0:00:00","PubModel":"Epub","JCR":"","JCRName":"","Score":null,"Total":0}
引用次数: 27

摘要

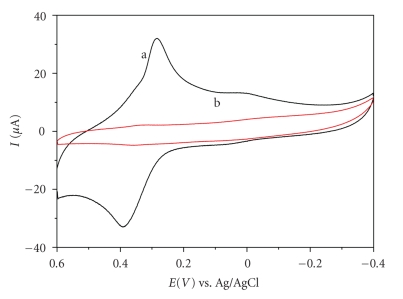
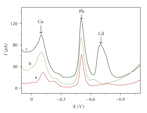
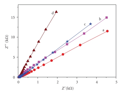
采用六方介孔二氧化硅(HMS)固定化槲皮素(HMS- qu /CPE)修饰碳膏电极,建立了同时测定铜、铅和镉的伏安响应方法。与槲皮素修饰碳糊电极(Qu/CPE)和槲皮素离子液体修饰碳糊电极(Qu- il /CPE)相比,HMS-Qu/CPE对铜、铅和镉的检测具有更高的选择性和灵敏度。采用吸附溶出伏安法(ASV)和电化学阻抗谱法(EIS)研究了HMS-Qu/CPE在0.1 M HCOONa-HCl缓冲溶液(pH 4.7)中的性能。研究了铜、铅和镉在改性电极上的电化学行为以及影响预富集过程的因素。铜、铅、镉的检出限分别为5.0、0.8、1.0 nM。该方法简便、快速、灵敏、选择性好,可成功应用于土壤样品分析。
本文章由计算机程序翻译,如有差异,请以英文原文为准。

Simultaneous determination of copper, lead, and cadmium at hexagonal mesoporous silica immobilized quercetin modified carbon paste electrode.

Simultaneous determination of copper, lead, and cadmium at hexagonal mesoporous silica immobilized quercetin modified carbon paste electrode.

Simultaneous determination of copper, lead, and cadmium at hexagonal mesoporous silica immobilized quercetin modified carbon paste electrode.

Simultaneous determination of copper, lead, and cadmium at hexagonal mesoporous silica immobilized quercetin modified carbon paste electrode.

A new method was developed for simultaneous determination of copper, lead, and cadmium, based on their voltammetric response at a carbon paste electrode modified with hexagonal mesoporous silica (HMS) immobilized quercetin (HMS-Qu/CPE). Compared with quercetin modified carbon paste electrode (Qu/CPE) and quercetin ionic liquid modified carbon paste electrode (Qu-IL/CPE), the HMS-Qu/CPE exhibited improved selectivity and high sensitivity toward the detection of copper, lead, and cadmium. The properties of the HMS-Qu/CPE in 0.1 M HCOONa-HCl buffer solution (pH 4.7) were investigated by adsorptive stripping voltammetry (ASV) and electrochemical impedance spectroscopy (EIS). The electrochemical behavior of copper, lead, and cadmium at the modified electrodes and factors affecting the preconcentration procedures were also investigated. Detection limits of 5.0, 0.8, 1.0 nM for copper, lead, and cadmium were obtained, respectively. The method is simple, fast, sensitive, and selective, and is successfully applied to soil sample.

求助全文
通过发布文献求助,成功后即可免费获取论文全文。 去求助
来源期刊
自引率
0.00%
发文量
0
审稿时长
>12 weeks
×
引用
GB/T 7714-2015
复制
MLA
复制
APA
复制
导出至
BibTeX EndNote RefMan NoteFirst NoteExpress
×
提示
您的信息不完整,为了账户安全,请先补充。
现在去补充
×
提示
您因"违规操作"
具体请查看互助需知
我知道了
×
提示
确定
请完成安全验证×
copy
已复制链接
快去分享给好友吧!
我知道了
右上角分享
点击右上角分享
0
联系我们:info@booksci.cn Book学术提供免费学术资源搜索服务,方便国内外学者检索中英文文献。致力于提供最便捷和优质的服务体验。 Copyright © 2023 布克学术 All rights reserved.
京ICP备2023020795号-1
ghs 京公网安备 11010802042870号
Book学术文献互助
Book学术文献互助群
群 号:604180095
Book学术官方微信