风险分担协议的风险有多大?六种常见风险分担协议的均值方差权衡和意外后果。

IF 1.7
MDM policy & practice Pub Date : 2021-02-09 eCollection Date: 2021-01-01 DOI:10.1177/2381468321990404
Gregory S Zaric
{"title":"风险分担协议的风险有多大?六种常见风险分担协议的均值方差权衡和意外后果。","authors":"Gregory S Zaric","doi":"10.1177/2381468321990404","DOIUrl":null,"url":null,"abstract":"<p><p><b>Background.</b> Pharmaceutical risk sharing agreements (RSAs) are commonly used to manage uncertainties in costs and/or clinical benefits when new drugs are added to a formulary. However, existing mathematical models of RSAs ignore the impact of RSAs on clinical and financial risk. <b>Methods.</b> We develop a model in which the number of patients, total drug consumption per patient, and incremental health benefits per patient are uncertain at the time of the introduction of a new drug. We use the model to evaluate the impact of six common RSAs on total drug costs and total net monetary benefit (NMB). <b>Results.</b> We show that, relative to not having an RSA in place, each RSA reduces expected total drug costs and increases expected total NMB. Each RSA also improves two measures of risk by reducing the probability that total drug costs exceed any threshold and reducing the probability of obtaining negative NMB. However, the effects on variance in both NMB and total drug costs are mixed. In some cases, relative to not having an RSA in place, implementing an RSA can increase variability in total drug costs or total NMB. We also show that, for some RSAs, when their parameters are adjusted so that they have the same impact on expected total drug cost, they can be rank-ordered in terms of their impact on variance in drug costs. <b>Conclusions.</b> Although all RSAs reduce expected total drug costs and increase expected total NMB, some RSAs may actually have the undesirable effect of increasing risk. Payers and formulary managers should be aware of these mean-variance tradeoffs and the potentially unintended results of RSAs when designing and negotiating RSAs.</p>","PeriodicalId":520707,"journal":{"name":"MDM policy & practice","volume":" ","pages":"2381468321990404"},"PeriodicalIF":1.7000,"publicationDate":"2021-02-09","publicationTypes":"Journal Article","fieldsOfStudy":null,"isOpenAccess":false,"openAccessPdf":"https://sci-hub-pdf.com/10.1177/2381468321990404","citationCount":"8","resultStr":"{\"title\":\"How Risky Is That Risk Sharing Agreement? Mean-Variance Tradeoffs and Unintended Consequences of Six Common Risk Sharing Agreements.\",\"authors\":\"Gregory S Zaric\",\"doi\":\"10.1177/2381468321990404\",\"DOIUrl\":null,\"url\":null,\"abstract\":\"<p><p><b>Background.</b> Pharmaceutical risk sharing agreements (RSAs) are commonly used to manage uncertainties in costs and/or clinical benefits when new drugs are added to a formulary. However, existing mathematical models of RSAs ignore the impact of RSAs on clinical and financial risk. <b>Methods.</b> We develop a model in which the number of patients, total drug consumption per patient, and incremental health benefits per patient are uncertain at the time of the introduction of a new drug. We use the model to evaluate the impact of six common RSAs on total drug costs and total net monetary benefit (NMB). <b>Results.</b> We show that, relative to not having an RSA in place, each RSA reduces expected total drug costs and increases expected total NMB. Each RSA also improves two measures of risk by reducing the probability that total drug costs exceed any threshold and reducing the probability of obtaining negative NMB. However, the effects on variance in both NMB and total drug costs are mixed. In some cases, relative to not having an RSA in place, implementing an RSA can increase variability in total drug costs or total NMB. We also show that, for some RSAs, when their parameters are adjusted so that they have the same impact on expected total drug cost, they can be rank-ordered in terms of their impact on variance in drug costs. <b>Conclusions.</b> Although all RSAs reduce expected total drug costs and increase expected total NMB, some RSAs may actually have the undesirable effect of increasing risk. Payers and formulary managers should be aware of these mean-variance tradeoffs and the potentially unintended results of RSAs when designing and negotiating RSAs.</p>\",\"PeriodicalId\":520707,\"journal\":{\"name\":\"MDM policy & practice\",\"volume\":\" \",\"pages\":\"2381468321990404\"},\"PeriodicalIF\":1.7000,\"publicationDate\":\"2021-02-09\",\"publicationTypes\":\"Journal Article\",\"fieldsOfStudy\":null,\"isOpenAccess\":false,\"openAccessPdf\":\"https://sci-hub-pdf.com/10.1177/2381468321990404\",\"citationCount\":\"8\",\"resultStr\":null,\"platform\":\"Semanticscholar\",\"paperid\":null,\"PeriodicalName\":\"MDM policy & practice\",\"FirstCategoryId\":\"1085\",\"ListUrlMain\":\"https://doi.org/10.1177/2381468321990404\",\"RegionNum\":0,\"RegionCategory\":null,\"ArticlePicture\":[],\"TitleCN\":null,\"AbstractTextCN\":null,\"PMCID\":null,\"EPubDate\":\"2021/1/1 0:00:00\",\"PubModel\":\"eCollection\",\"JCR\":\"\",\"JCRName\":\"\",\"Score\":null,\"Total\":0}","platform":"Semanticscholar","paperid":null,"PeriodicalName":"MDM policy & practice","FirstCategoryId":"1085","ListUrlMain":"https://doi.org/10.1177/2381468321990404","RegionNum":0,"RegionCategory":null,"ArticlePicture":[],"TitleCN":null,"AbstractTextCN":null,"PMCID":null,"EPubDate":"2021/1/1 0:00:00","PubModel":"eCollection","JCR":"","JCRName":"","Score":null,"Total":0}
引用次数: 8

摘要

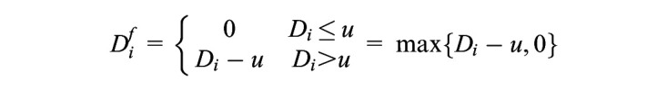
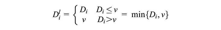
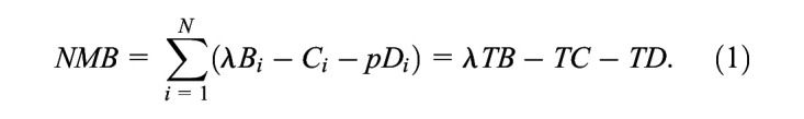
背景。药物风险分担协议(RSAs)通常用于管理在处方中添加新药时成本和/或临床效益的不确定性。然而,现有的RSAs数学模型忽略了RSAs对临床和财务风险的影响。方法。我们开发了一个模型,在该模型中,在引入新药时,患者数量、每位患者的总药物消耗量和每位患者的增量健康效益都是不确定的。我们使用该模型评估了六种常见的rsa对总药物成本和总净货币效益(NMB)的影响。结果。我们表明,相对于没有RSA,每个RSA降低了预期的总药物成本,增加了预期的总NMB。每个RSA还通过降低总药物成本超过任何阈值的概率和降低获得负NMB的概率来改善两种风险度量。然而,NMB和总药物成本对方差的影响是混合的。在某些情况下,相对于没有RSA,实施RSA会增加总药物成本或总NMB的可变性。我们还表明,对于某些rsa,当调整其参数使其对预期总药物成本具有相同的影响时,它们可以根据其对药物成本方差的影响进行排序。结论。尽管所有的rsa都降低了预期的总药物成本并增加了预期的总NMB,但一些rsa实际上可能具有增加风险的不良影响。在设计和协商rssa时,支付者和处方管理人员应该意识到这些平均方差权衡和rssa潜在的意外结果。
本文章由计算机程序翻译,如有差异,请以英文原文为准。

How Risky Is That Risk Sharing Agreement? Mean-Variance Tradeoffs and Unintended Consequences of Six Common Risk Sharing Agreements.

How Risky Is That Risk Sharing Agreement? Mean-Variance Tradeoffs and Unintended Consequences of Six Common Risk Sharing Agreements.

How Risky Is That Risk Sharing Agreement? Mean-Variance Tradeoffs and Unintended Consequences of Six Common Risk Sharing Agreements.

How Risky Is That Risk Sharing Agreement? Mean-Variance Tradeoffs and Unintended Consequences of Six Common Risk Sharing Agreements.

Background. Pharmaceutical risk sharing agreements (RSAs) are commonly used to manage uncertainties in costs and/or clinical benefits when new drugs are added to a formulary. However, existing mathematical models of RSAs ignore the impact of RSAs on clinical and financial risk. Methods. We develop a model in which the number of patients, total drug consumption per patient, and incremental health benefits per patient are uncertain at the time of the introduction of a new drug. We use the model to evaluate the impact of six common RSAs on total drug costs and total net monetary benefit (NMB). Results. We show that, relative to not having an RSA in place, each RSA reduces expected total drug costs and increases expected total NMB. Each RSA also improves two measures of risk by reducing the probability that total drug costs exceed any threshold and reducing the probability of obtaining negative NMB. However, the effects on variance in both NMB and total drug costs are mixed. In some cases, relative to not having an RSA in place, implementing an RSA can increase variability in total drug costs or total NMB. We also show that, for some RSAs, when their parameters are adjusted so that they have the same impact on expected total drug cost, they can be rank-ordered in terms of their impact on variance in drug costs. Conclusions. Although all RSAs reduce expected total drug costs and increase expected total NMB, some RSAs may actually have the undesirable effect of increasing risk. Payers and formulary managers should be aware of these mean-variance tradeoffs and the potentially unintended results of RSAs when designing and negotiating RSAs.

求助全文
通过发布文献求助,成功后即可免费获取论文全文。 去求助
来源期刊
自引率
0.00%
发文量
0
×
引用
GB/T 7714-2015
复制
MLA
复制
APA
复制
导出至
BibTeX EndNote RefMan NoteFirst NoteExpress
×
提示
您的信息不完整,为了账户安全,请先补充。
现在去补充
×
提示
您因"违规操作"
具体请查看互助需知
我知道了
×
提示
确定
请完成安全验证×
copy
已复制链接
快去分享给好友吧!
我知道了
右上角分享
点击右上角分享
0
联系我们:info@booksci.cn Book学术提供免费学术资源搜索服务,方便国内外学者检索中英文文献。致力于提供最便捷和优质的服务体验。 Copyright © 2023 布克学术 All rights reserved.
京ICP备2023020795号-1
ghs 京公网安备 11010802042870号
Book学术文献互助
Book学术文献互助群
群 号:604180095
Book学术官方微信