超弹性剪切滞后模型

IF 2 4区 材料科学 Q2 MATERIALS SCIENCE, CHARACTERIZATION & TESTING
G. M. Sevastyanov, A. A. Burenin
{"title":"超弹性剪切滞后模型","authors":"G. M. Sevastyanov,&nbsp;A. A. Burenin","doi":"10.1134/S1029959924601830","DOIUrl":null,"url":null,"abstract":"<p>On the basis of the analysis of deformation of a representative volume element, a micromechanical model is derived to describe the elastic modulus of a unidirectional short-fiber composite under tension in the reinforcement direction. The analysis includes an exact solution to the hyperelastic equations for the deformed matrix and an approximate solution to the equations for the fiber material. The solution is provided for a neo-Hookean material. Formulas are derived to relate the elastic strain energy to the macroscopic longitudinal strain of the composite and to describe the longitudinal and radial deformation of the matrix and fiber material. The main result is a formula that relates the initial tangential elastic modulus of the composite (an analog of Young's modulus in linear elasticity) to the mechanical characteristics of the composite constituents (namely, the ratio of the elastic modulus of the matrix material to the elastic modulus of the fiber), as well as to the geometric characteristic (fiber length-to-diameter ratio) and volume fraction of fibers in the composite. The derived results are compared with other analytical models, as well as with the known results of finite element and boundary element modeling. The results generalize the well-known shear lag (SL) model to hyperelastic materials and are obtained via a more rigorous analysis than the original model.</p>","PeriodicalId":726,"journal":{"name":"Physical Mesomechanics","volume":"28 5","pages":"662 - 674"},"PeriodicalIF":2.0000,"publicationDate":"2025-10-17","publicationTypes":"Journal Article","fieldsOfStudy":null,"isOpenAccess":false,"openAccessPdf":"","citationCount":"0","resultStr":"{\"title\":\"Hyperelastic Shear Lag Model\",\"authors\":\"G. M. Sevastyanov,&nbsp;A. A. Burenin\",\"doi\":\"10.1134/S1029959924601830\",\"DOIUrl\":null,\"url\":null,\"abstract\":\"<p>On the basis of the analysis of deformation of a representative volume element, a micromechanical model is derived to describe the elastic modulus of a unidirectional short-fiber composite under tension in the reinforcement direction. The analysis includes an exact solution to the hyperelastic equations for the deformed matrix and an approximate solution to the equations for the fiber material. The solution is provided for a neo-Hookean material. Formulas are derived to relate the elastic strain energy to the macroscopic longitudinal strain of the composite and to describe the longitudinal and radial deformation of the matrix and fiber material. The main result is a formula that relates the initial tangential elastic modulus of the composite (an analog of Young's modulus in linear elasticity) to the mechanical characteristics of the composite constituents (namely, the ratio of the elastic modulus of the matrix material to the elastic modulus of the fiber), as well as to the geometric characteristic (fiber length-to-diameter ratio) and volume fraction of fibers in the composite. The derived results are compared with other analytical models, as well as with the known results of finite element and boundary element modeling. The results generalize the well-known shear lag (SL) model to hyperelastic materials and are obtained via a more rigorous analysis than the original model.</p>\",\"PeriodicalId\":726,\"journal\":{\"name\":\"Physical Mesomechanics\",\"volume\":\"28 5\",\"pages\":\"662 - 674\"},\"PeriodicalIF\":2.0000,\"publicationDate\":\"2025-10-17\",\"publicationTypes\":\"Journal Article\",\"fieldsOfStudy\":null,\"isOpenAccess\":false,\"openAccessPdf\":\"\",\"citationCount\":\"0\",\"resultStr\":null,\"platform\":\"Semanticscholar\",\"paperid\":null,\"PeriodicalName\":\"Physical Mesomechanics\",\"FirstCategoryId\":\"88\",\"ListUrlMain\":\"https://link.springer.com/article/10.1134/S1029959924601830\",\"RegionNum\":4,\"RegionCategory\":\"材料科学\",\"ArticlePicture\":[],\"TitleCN\":null,\"AbstractTextCN\":null,\"PMCID\":null,\"EPubDate\":\"\",\"PubModel\":\"\",\"JCR\":\"Q2\",\"JCRName\":\"MATERIALS SCIENCE, CHARACTERIZATION & TESTING\",\"Score\":null,\"Total\":0}","platform":"Semanticscholar","paperid":null,"PeriodicalName":"Physical Mesomechanics","FirstCategoryId":"88","ListUrlMain":"https://link.springer.com/article/10.1134/S1029959924601830","RegionNum":4,"RegionCategory":"材料科学","ArticlePicture":[],"TitleCN":null,"AbstractTextCN":null,"PMCID":null,"EPubDate":"","PubModel":"","JCR":"Q2","JCRName":"MATERIALS SCIENCE, CHARACTERIZATION & TESTING","Score":null,"Total":0}
引用次数: 0

摘要

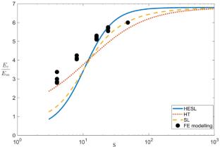
在分析具有代表性的体积元变形的基础上,导出了描述单向短纤维复合材料在拉伸作用下在增强方向上弹性模量的微观力学模型。该分析包括变形矩阵超弹性方程的精确解和纤维材料超弹性方程的近似解。解决方案是为新胡克材料提供的。导出了弹性应变能与复合材料宏观纵向应变的关系式,并描述了基体和纤维材料的纵向和径向变形。主要结果是一个公式,该公式将复合材料的初始切向弹性模量(类似于线弹性中的杨氏模量)与复合材料成分的机械特性(即基体材料的弹性模量与纤维的弹性模量之比)以及几何特性(纤维长径比)和复合材料中纤维的体积分数联系起来。将所得结果与其他解析模型进行了比较,并与已知的有限元和边界元建模结果进行了比较。结果将众所周知的剪切滞后(SL)模型推广到超弹性材料,并通过比原始模型更严格的分析得到。
本文章由计算机程序翻译,如有差异,请以英文原文为准。

Hyperelastic Shear Lag Model

Hyperelastic Shear Lag Model

On the basis of the analysis of deformation of a representative volume element, a micromechanical model is derived to describe the elastic modulus of a unidirectional short-fiber composite under tension in the reinforcement direction. The analysis includes an exact solution to the hyperelastic equations for the deformed matrix and an approximate solution to the equations for the fiber material. The solution is provided for a neo-Hookean material. Formulas are derived to relate the elastic strain energy to the macroscopic longitudinal strain of the composite and to describe the longitudinal and radial deformation of the matrix and fiber material. The main result is a formula that relates the initial tangential elastic modulus of the composite (an analog of Young's modulus in linear elasticity) to the mechanical characteristics of the composite constituents (namely, the ratio of the elastic modulus of the matrix material to the elastic modulus of the fiber), as well as to the geometric characteristic (fiber length-to-diameter ratio) and volume fraction of fibers in the composite. The derived results are compared with other analytical models, as well as with the known results of finite element and boundary element modeling. The results generalize the well-known shear lag (SL) model to hyperelastic materials and are obtained via a more rigorous analysis than the original model.

求助全文
通过发布文献求助,成功后即可免费获取论文全文。 去求助
来源期刊
Physical Mesomechanics
Physical Mesomechanics Materials Science-General Materials Science
CiteScore
3.50
自引率
18.80%
发文量
48
期刊介绍: The journal provides an international medium for the publication of theoretical and experimental studies and reviews related in the physical mesomechanics and also solid-state physics, mechanics, materials science, geodynamics, non-destructive testing and in a large number of other fields where the physical mesomechanics may be used extensively. Papers dealing with the processing, characterization, structure and physical properties and computational aspects of the mesomechanics of heterogeneous media, fracture mesomechanics, physical mesomechanics of materials, mesomechanics applications for geodynamics and tectonics, mesomechanics of smart materials and materials for electronics, non-destructive testing are viewed as suitable for publication.
×
引用
GB/T 7714-2015
复制
MLA
复制
APA
复制
导出至
BibTeX EndNote RefMan NoteFirst NoteExpress
×
提示
您的信息不完整,为了账户安全,请先补充。
现在去补充
×
提示
您因"违规操作"
具体请查看互助需知
我知道了
×
提示
确定
请完成安全验证×
copy
已复制链接
快去分享给好友吧!
我知道了
右上角分享
点击右上角分享
0
联系我们:info@booksci.cn Book学术提供免费学术资源搜索服务,方便国内外学者检索中英文文献。致力于提供最便捷和优质的服务体验。 Copyright © 2023 布克学术 All rights reserved.
京ICP备2023020795号-1
ghs 京公网安备 11010802042870号
Book学术文献互助
Book学术文献互助群
群 号:604180095
Book学术官方微信