接受非心脏手术的老年患者术中低血压和主要心脏不良事件:回顾性队列研究。

IF 4.8 Q1 GERIATRICS & GERONTOLOGY
JMIR Aging Pub Date : 2025-10-16 DOI:10.2196/67177
Kai Zhang, Chang Liu, Meng Wang, Ting Zhang, Bingbing Meng, Siyi Yao, Jingsheng Lou, Qiang Fu, Yanhong Liu, Jiangbei Cao, Lulong Bo, Weidong Mi, Hao Li
{"title":"接受非心脏手术的老年患者术中低血压和主要心脏不良事件:回顾性队列研究。","authors":"Kai Zhang, Chang Liu, Meng Wang, Ting Zhang, Bingbing Meng, Siyi Yao, Jingsheng Lou, Qiang Fu, Yanhong Liu, Jiangbei Cao, Lulong Bo, Weidong Mi, Hao Li","doi":"10.2196/67177","DOIUrl":null,"url":null,"abstract":"<p><strong>Background: </strong>Intraoperative hypotension (IOH) is an important risk factor for major adverse cardiac events (MACE) in patients undergoing noncardiac surgery. However, the IOH threshold in older adult patients remains controversial.</p><p><strong>Objective: </strong>This study aimed to explore an appropriate IOH threshold in older adult patients to decrease the risk of MACE.</p><p><strong>Methods: </strong>This study involved older adult patients undergoing noncardiac surgery (age ≥65 y) from January 2012 to August 2019 in the Chinese People's Liberation Army General Hospital (PLAGH; 35,262 patients) and Shanghai Changhai Hospital from January 2024 to December 2024 (13,418 patients). Univariate moving-average plots and multivariate restricted cubic splines were used to determine the IOH thresholds associated with an increased risk of MACE. The relationship between the IOH threshold and MACE was assessed using univariate and multivariate logistic regression analyses by 3 different hypotension exposure forms (duration, area, and time-weighted average mean arterial pressure [MAP]).</p><p><strong>Results: </strong>Out of 35,262 patients, 874 developed MACE in PLAGH, and 296 of 13,418 patients developed MACE in Changhai Hospital. In PLAGH, MAP below an absolute threshold of 70 mm Hg was associated with MACE. When the IOH absolute threshold was 70 mm Hg, the risk of MACE demonstrated a \"dose-increasing\" effect with changes in IOH exposure, and the risk of MACE was significantly increased when the duration lasted >15 minutes (odds ratio 1.51, 95% CI 1.22-1.88; P<.001). The stratified analysis showed that in patients younger than 80 years, when intraoperative MAP dropped below 70 mm Hg for more than 15 minutes, the odds ratio was 1.38 (95% CI 0.86-2.28), P<.01. In Changhai hospital, intraoperative MAP <70 mm Hg was also significantly associated with MACE. Furthermore, IOH lasting longer than 15 minutes substantially increased the risk of MACE.</p><p><strong>Conclusions: </strong>For older adult patients undergoing noncardiac surgery, intraoperative MAP should be kept above 70 mm Hg to reduce the risk of postoperative MACE.</p>","PeriodicalId":36245,"journal":{"name":"JMIR Aging","volume":"8 ","pages":"e67177"},"PeriodicalIF":4.8000,"publicationDate":"2025-10-16","publicationTypes":"Journal Article","fieldsOfStudy":null,"isOpenAccess":false,"openAccessPdf":"https://www.ncbi.nlm.nih.gov/pmc/articles/PMC12530642/pdf/","citationCount":"0","resultStr":"{\"title\":\"Intraoperative Hypotension and Major Adverse Cardiac Events Among Older Adult Patients Undergoing Noncardiac Surgery: Retrospective Cohort Study.\",\"authors\":\"Kai Zhang, Chang Liu, Meng Wang, Ting Zhang, Bingbing Meng, Siyi Yao, Jingsheng Lou, Qiang Fu, Yanhong Liu, Jiangbei Cao, Lulong Bo, Weidong Mi, Hao Li\",\"doi\":\"10.2196/67177\",\"DOIUrl\":null,\"url\":null,\"abstract\":\"<p><strong>Background: </strong>Intraoperative hypotension (IOH) is an important risk factor for major adverse cardiac events (MACE) in patients undergoing noncardiac surgery. However, the IOH threshold in older adult patients remains controversial.</p><p><strong>Objective: </strong>This study aimed to explore an appropriate IOH threshold in older adult patients to decrease the risk of MACE.</p><p><strong>Methods: </strong>This study involved older adult patients undergoing noncardiac surgery (age ≥65 y) from January 2012 to August 2019 in the Chinese People's Liberation Army General Hospital (PLAGH; 35,262 patients) and Shanghai Changhai Hospital from January 2024 to December 2024 (13,418 patients). Univariate moving-average plots and multivariate restricted cubic splines were used to determine the IOH thresholds associated with an increased risk of MACE. The relationship between the IOH threshold and MACE was assessed using univariate and multivariate logistic regression analyses by 3 different hypotension exposure forms (duration, area, and time-weighted average mean arterial pressure [MAP]).</p><p><strong>Results: </strong>Out of 35,262 patients, 874 developed MACE in PLAGH, and 296 of 13,418 patients developed MACE in Changhai Hospital. In PLAGH, MAP below an absolute threshold of 70 mm Hg was associated with MACE. When the IOH absolute threshold was 70 mm Hg, the risk of MACE demonstrated a \\\"dose-increasing\\\" effect with changes in IOH exposure, and the risk of MACE was significantly increased when the duration lasted >15 minutes (odds ratio 1.51, 95% CI 1.22-1.88; P<.001). The stratified analysis showed that in patients younger than 80 years, when intraoperative MAP dropped below 70 mm Hg for more than 15 minutes, the odds ratio was 1.38 (95% CI 0.86-2.28), P<.01. In Changhai hospital, intraoperative MAP <70 mm Hg was also significantly associated with MACE. Furthermore, IOH lasting longer than 15 minutes substantially increased the risk of MACE.</p><p><strong>Conclusions: </strong>For older adult patients undergoing noncardiac surgery, intraoperative MAP should be kept above 70 mm Hg to reduce the risk of postoperative MACE.</p>\",\"PeriodicalId\":36245,\"journal\":{\"name\":\"JMIR Aging\",\"volume\":\"8 \",\"pages\":\"e67177\"},\"PeriodicalIF\":4.8000,\"publicationDate\":\"2025-10-16\",\"publicationTypes\":\"Journal Article\",\"fieldsOfStudy\":null,\"isOpenAccess\":false,\"openAccessPdf\":\"https://www.ncbi.nlm.nih.gov/pmc/articles/PMC12530642/pdf/\",\"citationCount\":\"0\",\"resultStr\":null,\"platform\":\"Semanticscholar\",\"paperid\":null,\"PeriodicalName\":\"JMIR Aging\",\"FirstCategoryId\":\"1085\",\"ListUrlMain\":\"https://doi.org/10.2196/67177\",\"RegionNum\":0,\"RegionCategory\":null,\"ArticlePicture\":[],\"TitleCN\":null,\"AbstractTextCN\":null,\"PMCID\":null,\"EPubDate\":\"\",\"PubModel\":\"\",\"JCR\":\"Q1\",\"JCRName\":\"GERIATRICS & GERONTOLOGY\",\"Score\":null,\"Total\":0}","platform":"Semanticscholar","paperid":null,"PeriodicalName":"JMIR Aging","FirstCategoryId":"1085","ListUrlMain":"https://doi.org/10.2196/67177","RegionNum":0,"RegionCategory":null,"ArticlePicture":[],"TitleCN":null,"AbstractTextCN":null,"PMCID":null,"EPubDate":"","PubModel":"","JCR":"Q1","JCRName":"GERIATRICS & GERONTOLOGY","Score":null,"Total":0}
引用次数: 0

摘要

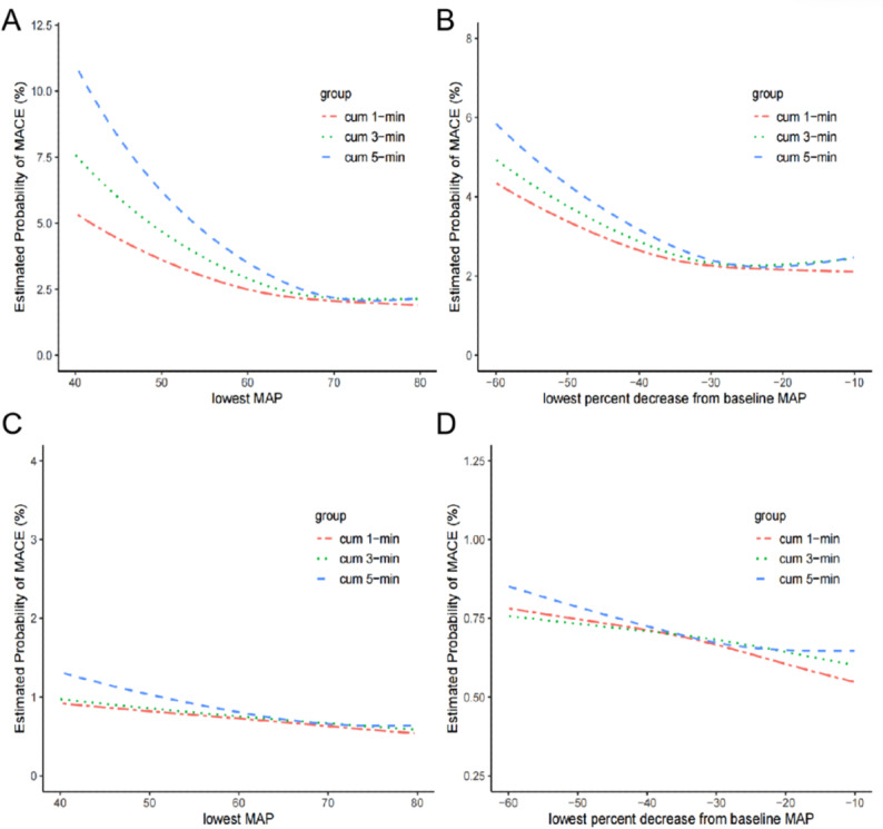
背景:术中低血压(IOH)是非心脏手术患者发生重大心脏不良事件(MACE)的重要危险因素。然而,老年患者的IOH阈值仍然存在争议。目的:本研究旨在探讨老年患者适当的IOH阈值,以降低MACE的风险。方法:本研究纳入2012年1月至2019年8月在中国人民解放军总医院(PLAGH, 35262例)和2024年1月至2024年12月在上海长海医院(13418例)接受非心脏手术的老年成人患者(年龄≥65岁)。使用单变量移动平均图和多变量受限三次样条来确定与MACE风险增加相关的IOH阈值。通过3种不同的低血压暴露形式(持续时间、面积和时间加权平均动脉压[MAP]),采用单因素和多因素logistic回归分析评估IOH阈值与MACE之间的关系。结果:35262例PLAGH患者中有874例发生MACE,长海医院13418例患者中有296例发生MACE。在PLAGH中,MAP低于70 mm Hg的绝对阈值与MACE相关。当IOH绝对阈值为70 mm Hg时,MACE的发生风险随IOH暴露时间的变化呈“剂量递增”的效应,且当IOH暴露时间持续bb0 ~ 15min时,MACE的发生风险显著增加(优势比1.51,95% CI 1.22 ~ 1.88)。结论:对于接受非心脏手术的老年患者,术中MAP应保持在70 mm Hg以上,以降低术后MACE的发生风险。
本文章由计算机程序翻译,如有差异,请以英文原文为准。

Intraoperative Hypotension and Major Adverse Cardiac Events Among Older Adult Patients Undergoing Noncardiac Surgery: Retrospective Cohort Study.

Intraoperative Hypotension and Major Adverse Cardiac Events Among Older Adult Patients Undergoing Noncardiac Surgery: Retrospective Cohort Study.

Intraoperative Hypotension and Major Adverse Cardiac Events Among Older Adult Patients Undergoing Noncardiac Surgery: Retrospective Cohort Study.

Background: Intraoperative hypotension (IOH) is an important risk factor for major adverse cardiac events (MACE) in patients undergoing noncardiac surgery. However, the IOH threshold in older adult patients remains controversial.

Objective: This study aimed to explore an appropriate IOH threshold in older adult patients to decrease the risk of MACE.

Methods: This study involved older adult patients undergoing noncardiac surgery (age ≥65 y) from January 2012 to August 2019 in the Chinese People's Liberation Army General Hospital (PLAGH; 35,262 patients) and Shanghai Changhai Hospital from January 2024 to December 2024 (13,418 patients). Univariate moving-average plots and multivariate restricted cubic splines were used to determine the IOH thresholds associated with an increased risk of MACE. The relationship between the IOH threshold and MACE was assessed using univariate and multivariate logistic regression analyses by 3 different hypotension exposure forms (duration, area, and time-weighted average mean arterial pressure [MAP]).

Results: Out of 35,262 patients, 874 developed MACE in PLAGH, and 296 of 13,418 patients developed MACE in Changhai Hospital. In PLAGH, MAP below an absolute threshold of 70 mm Hg was associated with MACE. When the IOH absolute threshold was 70 mm Hg, the risk of MACE demonstrated a "dose-increasing" effect with changes in IOH exposure, and the risk of MACE was significantly increased when the duration lasted >15 minutes (odds ratio 1.51, 95% CI 1.22-1.88; P<.001). The stratified analysis showed that in patients younger than 80 years, when intraoperative MAP dropped below 70 mm Hg for more than 15 minutes, the odds ratio was 1.38 (95% CI 0.86-2.28), P<.01. In Changhai hospital, intraoperative MAP <70 mm Hg was also significantly associated with MACE. Furthermore, IOH lasting longer than 15 minutes substantially increased the risk of MACE.

Conclusions: For older adult patients undergoing noncardiac surgery, intraoperative MAP should be kept above 70 mm Hg to reduce the risk of postoperative MACE.

求助全文
通过发布文献求助,成功后即可免费获取论文全文。 去求助
来源期刊
JMIR Aging
JMIR Aging Social Sciences-Health (social science)
CiteScore
6.50
自引率
4.10%
发文量
71
审稿时长
12 weeks
×
引用
GB/T 7714-2015
复制
MLA
复制
APA
复制
导出至
BibTeX EndNote RefMan NoteFirst NoteExpress
×
提示
您的信息不完整,为了账户安全,请先补充。
现在去补充
×
提示
您因"违规操作"
具体请查看互助需知
我知道了
×
提示
确定
请完成安全验证×
copy
已复制链接
快去分享给好友吧!
我知道了
右上角分享
点击右上角分享
0
联系我们:info@booksci.cn Book学术提供免费学术资源搜索服务,方便国内外学者检索中英文文献。致力于提供最便捷和优质的服务体验。 Copyright © 2023 布克学术 All rights reserved.
京ICP备2023020795号-1
ghs 京公网安备 11010802042870号
Book学术文献互助
Book学术文献互助群
群 号:604180095
Book学术官方微信