稳态乳酸脱氢酶水平与镰状细胞并发症之间的关系:一项系统综述。

Avicenna Journal of Medicine Pub Date : 2025-09-26 eCollection Date: 2025-07-01 DOI:10.1055/s-0045-1811706
Sagad O O Mohamed, Amged Mohammed, Fatima S K Salih, Hozifa A M Elgadal, Ayman A A Elsamany, Mohamed S K Salih, Huda M A Mustafa, Israa Elawad, Mona G A Ahmedkaroum, Safaa G A Saeed, Rowa E A Ibrahim, Esraa A Mohamedien, Aya A H Babiker, Esraa T Suliman, Eman O E Mohamed
{"title":"稳态乳酸脱氢酶水平与镰状细胞并发症之间的关系:一项系统综述。","authors":"Sagad O O Mohamed, Amged Mohammed, Fatima S K Salih, Hozifa A M Elgadal, Ayman A A Elsamany, Mohamed S K Salih, Huda M A Mustafa, Israa Elawad, Mona G A Ahmedkaroum, Safaa G A Saeed, Rowa E A Ibrahim, Esraa A Mohamedien, Aya A H Babiker, Esraa T Suliman, Eman O E Mohamed","doi":"10.1055/s-0045-1811706","DOIUrl":null,"url":null,"abstract":"<p><p>Sickle cell disease (SCD) is a hereditary hemoglobin disorder characterized by vaso-occlusion and chronic hemolysis, leading to severe complications. Finding cost-effective and reliable biomarkers for predicting disease severity and identifying high-risk patients remains challenging, especially in resource-limited settings. This systematic review evaluates the association between lactate dehydrogenase (LDH) levels measured during clinical steady-state and various complications of SCD to assess its prognostic value. A systematic literature search, adhering to PRISMA guidelines, was conducted across Medline/PubMed, Web of Science, Embase, and ScienceDirect. Eligible studies included all observational studies examining the relationship between LDH levels and subsequent SCD complications. The statistical analyses were performed to calculate the pooled standardized mean difference (SMD) and its 95% confidence interval (CI). A total of 34 studies were included, highlighting significant associations between elevated LDH levels and various SCD-related complications. These included pulmonary arterial hypertension (SMD = 0.454, 95% CI: 0.032-0.875, <i>p</i>  = 0.035), stroke risk through transcranial Doppler velocities (SMD = 0.651, 95% CI: 0.459-0.843, <i>p</i>  < 0.001), and kidney involvement (SMD = 0.399, 95% CI: 0.014-0.785, <i>p</i>  = 0.042). This systematic review reveals a consistent association between elevated steady-state LDH levels and major complications of SCD. The findings suggest a potential role for LDH as a readily available biomarker for SCD severity, underlining its potential for inclusion in clinical assessments of SCD severity, risk stratification, and tailored interventions for high-risk patients.</p>","PeriodicalId":32889,"journal":{"name":"Avicenna Journal of Medicine","volume":"15 3","pages":"100-108"},"PeriodicalIF":0.0000,"publicationDate":"2025-09-26","publicationTypes":"Journal Article","fieldsOfStudy":null,"isOpenAccess":false,"openAccessPdf":"https://www.ncbi.nlm.nih.gov/pmc/articles/PMC12520757/pdf/","citationCount":"0","resultStr":"{\"title\":\"Association Between Steady-State Lactate Dehydrogenase Levels and Sickle Cell Complications: A Systematic Review.\",\"authors\":\"Sagad O O Mohamed, Amged Mohammed, Fatima S K Salih, Hozifa A M Elgadal, Ayman A A Elsamany, Mohamed S K Salih, Huda M A Mustafa, Israa Elawad, Mona G A Ahmedkaroum, Safaa G A Saeed, Rowa E A Ibrahim, Esraa A Mohamedien, Aya A H Babiker, Esraa T Suliman, Eman O E Mohamed\",\"doi\":\"10.1055/s-0045-1811706\",\"DOIUrl\":null,\"url\":null,\"abstract\":\"<p><p>Sickle cell disease (SCD) is a hereditary hemoglobin disorder characterized by vaso-occlusion and chronic hemolysis, leading to severe complications. Finding cost-effective and reliable biomarkers for predicting disease severity and identifying high-risk patients remains challenging, especially in resource-limited settings. This systematic review evaluates the association between lactate dehydrogenase (LDH) levels measured during clinical steady-state and various complications of SCD to assess its prognostic value. A systematic literature search, adhering to PRISMA guidelines, was conducted across Medline/PubMed, Web of Science, Embase, and ScienceDirect. Eligible studies included all observational studies examining the relationship between LDH levels and subsequent SCD complications. The statistical analyses were performed to calculate the pooled standardized mean difference (SMD) and its 95% confidence interval (CI). A total of 34 studies were included, highlighting significant associations between elevated LDH levels and various SCD-related complications. These included pulmonary arterial hypertension (SMD = 0.454, 95% CI: 0.032-0.875, <i>p</i>  = 0.035), stroke risk through transcranial Doppler velocities (SMD = 0.651, 95% CI: 0.459-0.843, <i>p</i>  < 0.001), and kidney involvement (SMD = 0.399, 95% CI: 0.014-0.785, <i>p</i>  = 0.042). This systematic review reveals a consistent association between elevated steady-state LDH levels and major complications of SCD. The findings suggest a potential role for LDH as a readily available biomarker for SCD severity, underlining its potential for inclusion in clinical assessments of SCD severity, risk stratification, and tailored interventions for high-risk patients.</p>\",\"PeriodicalId\":32889,\"journal\":{\"name\":\"Avicenna Journal of Medicine\",\"volume\":\"15 3\",\"pages\":\"100-108\"},\"PeriodicalIF\":0.0000,\"publicationDate\":\"2025-09-26\",\"publicationTypes\":\"Journal Article\",\"fieldsOfStudy\":null,\"isOpenAccess\":false,\"openAccessPdf\":\"https://www.ncbi.nlm.nih.gov/pmc/articles/PMC12520757/pdf/\",\"citationCount\":\"0\",\"resultStr\":null,\"platform\":\"Semanticscholar\",\"paperid\":null,\"PeriodicalName\":\"Avicenna Journal of Medicine\",\"FirstCategoryId\":\"1085\",\"ListUrlMain\":\"https://doi.org/10.1055/s-0045-1811706\",\"RegionNum\":0,\"RegionCategory\":null,\"ArticlePicture\":[],\"TitleCN\":null,\"AbstractTextCN\":null,\"PMCID\":null,\"EPubDate\":\"2025/7/1 0:00:00\",\"PubModel\":\"eCollection\",\"JCR\":\"\",\"JCRName\":\"\",\"Score\":null,\"Total\":0}","platform":"Semanticscholar","paperid":null,"PeriodicalName":"Avicenna Journal of Medicine","FirstCategoryId":"1085","ListUrlMain":"https://doi.org/10.1055/s-0045-1811706","RegionNum":0,"RegionCategory":null,"ArticlePicture":[],"TitleCN":null,"AbstractTextCN":null,"PMCID":null,"EPubDate":"2025/7/1 0:00:00","PubModel":"eCollection","JCR":"","JCRName":"","Score":null,"Total":0}
引用次数: 0

摘要

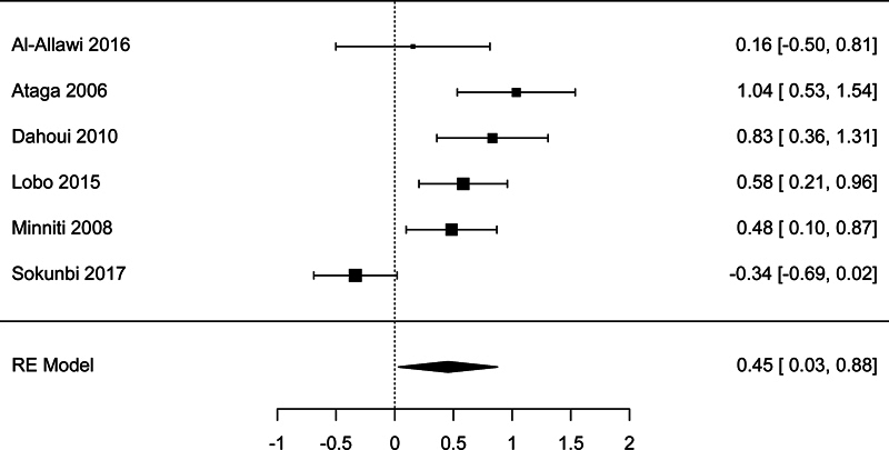
镰状细胞病(SCD)是一种以血管闭塞和慢性溶血为特征的遗传性血红蛋白疾病,可导致严重的并发症。寻找具有成本效益和可靠的生物标志物来预测疾病严重程度和识别高风险患者仍然具有挑战性,特别是在资源有限的环境中。本系统综述评估了临床稳定状态下乳酸脱氢酶(LDH)水平与SCD各种并发症之间的关系,以评估其预后价值。根据PRISMA指南,通过Medline/PubMed、Web of Science、Embase和ScienceDirect进行了系统的文献检索。符合条件的研究包括所有检查LDH水平与随后SCD并发症之间关系的观察性研究。进行统计分析,计算合并标准化平均差(SMD)及其95%置信区间(CI)。共纳入34项研究,强调了LDH水平升高与各种scd相关并发症之间的显著关联。其中包括肺动脉高压(SMD = 0.454, 95% CI: 0.032-0.875, p = 0.035),通过经颅多普勒速度判断卒中风险(SMD = 0.651, 95% CI: 0.459-0.843, p = 0.042)。该系统综述揭示了稳态LDH水平升高与SCD主要并发症之间的一致关联。研究结果表明,LDH作为SCD严重程度的生物标志物具有潜在的作用,强调了其在SCD严重程度的临床评估、风险分层和高危患者定制干预方面的潜力。
本文章由计算机程序翻译,如有差异,请以英文原文为准。

Association Between Steady-State Lactate Dehydrogenase Levels and Sickle Cell Complications: A Systematic Review.

Association Between Steady-State Lactate Dehydrogenase Levels and Sickle Cell Complications: A Systematic Review.

Association Between Steady-State Lactate Dehydrogenase Levels and Sickle Cell Complications: A Systematic Review.

Association Between Steady-State Lactate Dehydrogenase Levels and Sickle Cell Complications: A Systematic Review.

Sickle cell disease (SCD) is a hereditary hemoglobin disorder characterized by vaso-occlusion and chronic hemolysis, leading to severe complications. Finding cost-effective and reliable biomarkers for predicting disease severity and identifying high-risk patients remains challenging, especially in resource-limited settings. This systematic review evaluates the association between lactate dehydrogenase (LDH) levels measured during clinical steady-state and various complications of SCD to assess its prognostic value. A systematic literature search, adhering to PRISMA guidelines, was conducted across Medline/PubMed, Web of Science, Embase, and ScienceDirect. Eligible studies included all observational studies examining the relationship between LDH levels and subsequent SCD complications. The statistical analyses were performed to calculate the pooled standardized mean difference (SMD) and its 95% confidence interval (CI). A total of 34 studies were included, highlighting significant associations between elevated LDH levels and various SCD-related complications. These included pulmonary arterial hypertension (SMD = 0.454, 95% CI: 0.032-0.875, p  = 0.035), stroke risk through transcranial Doppler velocities (SMD = 0.651, 95% CI: 0.459-0.843, p  < 0.001), and kidney involvement (SMD = 0.399, 95% CI: 0.014-0.785, p  = 0.042). This systematic review reveals a consistent association between elevated steady-state LDH levels and major complications of SCD. The findings suggest a potential role for LDH as a readily available biomarker for SCD severity, underlining its potential for inclusion in clinical assessments of SCD severity, risk stratification, and tailored interventions for high-risk patients.

求助全文
通过发布文献求助,成功后即可免费获取论文全文。 去求助
来源期刊
自引率
0.00%
发文量
28
审稿时长
26 weeks
×
引用
GB/T 7714-2015
复制
MLA
复制
APA
复制
导出至
BibTeX EndNote RefMan NoteFirst NoteExpress
×
提示
您的信息不完整,为了账户安全,请先补充。
现在去补充
×
提示
您因"违规操作"
具体请查看互助需知
我知道了
×
提示
确定
请完成安全验证×
copy
已复制链接
快去分享给好友吧!
我知道了
右上角分享
点击右上角分享
0
联系我们:info@booksci.cn Book学术提供免费学术资源搜索服务,方便国内外学者检索中英文文献。致力于提供最便捷和优质的服务体验。 Copyright © 2023 布克学术 All rights reserved.
京ICP备2023020795号-1
ghs 京公网安备 11010802042870号
Book学术文献互助
Book学术文献互助群
群 号:604180095
Book学术官方微信