一项I期开放标签研究,评估capivasertib单用或联合紫杉醇治疗中国晚期实体瘤患者的药代动力学、安全性和耐受性。

IF 3.4 2区 医学 Q2 ONCOLOGY
Jian Zhang, Xiaojun Liu, Yiqun Du, Yuxin Mu, Yanchun Meng, Yan Sun, Ling Zhang, Chris Chen, Marie Cullberg, Ethan Fan, Xichun Hu
{"title":"一项I期开放标签研究,评估capivasertib单用或联合紫杉醇治疗中国晚期实体瘤患者的药代动力学、安全性和耐受性。","authors":"Jian Zhang, Xiaojun Liu, Yiqun Du, Yuxin Mu, Yanchun Meng, Yan Sun, Ling Zhang, Chris Chen, Marie Cullberg, Ethan Fan, Xichun Hu","doi":"10.1186/s12885-025-14982-4","DOIUrl":null,"url":null,"abstract":"<p><strong>Background: </strong>Capivasertib is recommended, plus fulvestrant, for hormone receptor-positive/human epidermal growth factor receptor 2-negative advanced breast cancer with PIK3CA/AKT1/PTEN alterations and is under development for further breast and prostate cancer indications. Pharmacokinetics in Western and Japanese patients have been previously characterized. We conducted a Phase I trial assessing the pharmacokinetics and safety of capivasertib, alone or plus paclitaxel, in Chinese patients with advanced solid tumors.</p><p><strong>Methods: </strong>In this open-label, fixed-sequence Phase I trial, Chinese patients with advanced solid tumors refractory or resistant to standard therapy received capivasertib alone (Part A) and then plus paclitaxel (Part B). The primary endpoint comprised capivasertib pharmacokinetics after a single dose (480 mg), or multiple doses given alone (480 mg twice daily [4 days on, 3 days off]) or plus paclitaxel (capivasertib 400 mg twice daily [4 days on, 3 days off], paclitaxel 80 mg/m<sup>2</sup> once weekly; both 3 weeks on, 1 week off). Safety was a secondary endpoint. Investigator-assessed best objective response was an exploratory endpoint.</p><p><strong>Results: </strong>Overall, 16 patients (median age 55.5 years, median weight 58.9 kg, 81.3% breast primary tumor location) received capivasertib alone in Part A and then capivasertib plus paclitaxel in Part B. The median time to maximum concentration, the geometric mean maximum plasma concentration, and the geometric mean area under the curve from time 0 to the last quantifiable concentration of capivasertib were: after a single dose (n = 16): 1.0 h, 1465 ng/mL, and 7243 h×ng/mL; after multiple doses (n = 15): 0.9 h, 2535 ng/mL, and 12,080 h×ng/mL; after multiple doses plus paclitaxel (n = 8): 1.9 h, 2467 ng/mL, and 12,830 h×ng/mL, respectively. After a single dose, the geometric mean terminal elimination half-life was 9.7 h. Hyperglycemia, diarrhea, and rash were the most common adverse events (reported for all patients). Most adverse events were Grade 1-2. Four (25.0%) patients achieved confirmed partial response and four (25.0%) stable disease as best objective response.</p><p><strong>Conclusions: </strong>Consistent with previous findings, capivasertib was absorbed rapidly and eliminated with a half-life of approximately 10 h. The manageable safety profile and preliminary antitumor activity support further investigation of capivasertib-containing combinations in Chinese patients with advanced solid tumors.</p><p><strong>Trial registration: </strong>The trial was registered at ClinicalTrials.gov with identifier no. NCT04742036. Date of registration: February 4, 2021.</p>","PeriodicalId":9131,"journal":{"name":"BMC Cancer","volume":"25 1","pages":"1562"},"PeriodicalIF":3.4000,"publicationDate":"2025-10-14","publicationTypes":"Journal Article","fieldsOfStudy":null,"isOpenAccess":false,"openAccessPdf":"https://www.ncbi.nlm.nih.gov/pmc/articles/PMC12519771/pdf/","citationCount":"0","resultStr":"{\"title\":\"A Phase I open-label study to assess the pharmacokinetics, safety, and tolerability of capivasertib alone or in combination with paclitaxel in Chinese patients with advanced solid tumors.\",\"authors\":\"Jian Zhang, Xiaojun Liu, Yiqun Du, Yuxin Mu, Yanchun Meng, Yan Sun, Ling Zhang, Chris Chen, Marie Cullberg, Ethan Fan, Xichun Hu\",\"doi\":\"10.1186/s12885-025-14982-4\",\"DOIUrl\":null,\"url\":null,\"abstract\":\"<p><strong>Background: </strong>Capivasertib is recommended, plus fulvestrant, for hormone receptor-positive/human epidermal growth factor receptor 2-negative advanced breast cancer with PIK3CA/AKT1/PTEN alterations and is under development for further breast and prostate cancer indications. Pharmacokinetics in Western and Japanese patients have been previously characterized. We conducted a Phase I trial assessing the pharmacokinetics and safety of capivasertib, alone or plus paclitaxel, in Chinese patients with advanced solid tumors.</p><p><strong>Methods: </strong>In this open-label, fixed-sequence Phase I trial, Chinese patients with advanced solid tumors refractory or resistant to standard therapy received capivasertib alone (Part A) and then plus paclitaxel (Part B). The primary endpoint comprised capivasertib pharmacokinetics after a single dose (480 mg), or multiple doses given alone (480 mg twice daily [4 days on, 3 days off]) or plus paclitaxel (capivasertib 400 mg twice daily [4 days on, 3 days off], paclitaxel 80 mg/m<sup>2</sup> once weekly; both 3 weeks on, 1 week off). Safety was a secondary endpoint. Investigator-assessed best objective response was an exploratory endpoint.</p><p><strong>Results: </strong>Overall, 16 patients (median age 55.5 years, median weight 58.9 kg, 81.3% breast primary tumor location) received capivasertib alone in Part A and then capivasertib plus paclitaxel in Part B. The median time to maximum concentration, the geometric mean maximum plasma concentration, and the geometric mean area under the curve from time 0 to the last quantifiable concentration of capivasertib were: after a single dose (n = 16): 1.0 h, 1465 ng/mL, and 7243 h×ng/mL; after multiple doses (n = 15): 0.9 h, 2535 ng/mL, and 12,080 h×ng/mL; after multiple doses plus paclitaxel (n = 8): 1.9 h, 2467 ng/mL, and 12,830 h×ng/mL, respectively. After a single dose, the geometric mean terminal elimination half-life was 9.7 h. Hyperglycemia, diarrhea, and rash were the most common adverse events (reported for all patients). Most adverse events were Grade 1-2. Four (25.0%) patients achieved confirmed partial response and four (25.0%) stable disease as best objective response.</p><p><strong>Conclusions: </strong>Consistent with previous findings, capivasertib was absorbed rapidly and eliminated with a half-life of approximately 10 h. The manageable safety profile and preliminary antitumor activity support further investigation of capivasertib-containing combinations in Chinese patients with advanced solid tumors.</p><p><strong>Trial registration: </strong>The trial was registered at ClinicalTrials.gov with identifier no. NCT04742036. Date of registration: February 4, 2021.</p>\",\"PeriodicalId\":9131,\"journal\":{\"name\":\"BMC Cancer\",\"volume\":\"25 1\",\"pages\":\"1562\"},\"PeriodicalIF\":3.4000,\"publicationDate\":\"2025-10-14\",\"publicationTypes\":\"Journal Article\",\"fieldsOfStudy\":null,\"isOpenAccess\":false,\"openAccessPdf\":\"https://www.ncbi.nlm.nih.gov/pmc/articles/PMC12519771/pdf/\",\"citationCount\":\"0\",\"resultStr\":null,\"platform\":\"Semanticscholar\",\"paperid\":null,\"PeriodicalName\":\"BMC Cancer\",\"FirstCategoryId\":\"3\",\"ListUrlMain\":\"https://doi.org/10.1186/s12885-025-14982-4\",\"RegionNum\":2,\"RegionCategory\":\"医学\",\"ArticlePicture\":[],\"TitleCN\":null,\"AbstractTextCN\":null,\"PMCID\":null,\"EPubDate\":\"\",\"PubModel\":\"\",\"JCR\":\"Q2\",\"JCRName\":\"ONCOLOGY\",\"Score\":null,\"Total\":0}","platform":"Semanticscholar","paperid":null,"PeriodicalName":"BMC Cancer","FirstCategoryId":"3","ListUrlMain":"https://doi.org/10.1186/s12885-025-14982-4","RegionNum":2,"RegionCategory":"医学","ArticlePicture":[],"TitleCN":null,"AbstractTextCN":null,"PMCID":null,"EPubDate":"","PubModel":"","JCR":"Q2","JCRName":"ONCOLOGY","Score":null,"Total":0}
引用次数: 0

摘要

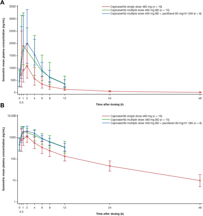
背景:Capivasertib和氟维司汀被推荐用于激素受体阳性/人表皮生长因子受体2阴性的晚期乳腺癌,并伴有PIK3CA/AKT1/PTEN改变,并且正在开发用于进一步的乳腺癌和前列腺癌适应症。西方和日本患者的药代动力学先前已被描述。我们进行了一项I期试验,评估capivasertib单独或联合紫杉醇在中国晚期实体瘤患者中的药代动力学和安全性。方法:在这项开放标签、固定序列的I期临床试验中,中国晚期实体瘤患者对标准治疗难以治愈或耐药,分别接受capivasertib (A部分)和紫杉醇(B部分)联合治疗。主要终点包括capivasertib单剂量(480 mg)或多次单独给药(480 mg每天两次[4天,休息3天])或加用紫杉醇(capivasertib 400 mg每天两次[4天,休息3天],紫杉醇80 mg/m2每周一次;均为3周,休息1周)后的药代动力学。安全性是次要终点。研究者评估的最佳客观反应是一个探索性终点。结果:总的来说,16例患者(中位年龄55.5岁,中位体重58.9 kg,乳房原发肿瘤位置81.3%)在A部分单独接受capivasertib,然后在b部分接受capivasertib加紫杉醇治疗。从时间0到capivasertib最大浓度的中位时间、几何平均最大血浆浓度和几何平均曲线下面积为:单次给药后(n = 16): 1.0 h, 1465 ng/mL和7243 h×ng/mL;多次给药后(n = 15): 0.9 h, 2535 ng/mL, 12080 h×ng/mL;多次给药后加紫杉醇(n = 8): 1.9 h, 2467 ng/mL, 12,830 h×ng/mL。单次给药后,几何平均终末消除半衰期为9.7小时。高血糖、腹泻和皮疹是最常见的不良事件(所有患者均有报告)。不良事件以1-2级为主。4例(25.0%)患者获得部分缓解,4例(25.0%)患者病情稳定为最佳客观缓解。结论:与先前的研究结果一致,capivasertib被快速吸收并消除,半衰期约为10小时。可管理的安全性和初步抗肿瘤活性支持进一步研究含capivasertib联合治疗中国晚期实体瘤患者。试验注册:该试验在ClinicalTrials.gov注册,识别码为。NCT04742036。注册日期:2021年2月4日。
本文章由计算机程序翻译,如有差异,请以英文原文为准。

A Phase I open-label study to assess the pharmacokinetics, safety, and tolerability of capivasertib alone or in combination with paclitaxel in Chinese patients with advanced solid tumors.

A Phase I open-label study to assess the pharmacokinetics, safety, and tolerability of capivasertib alone or in combination with paclitaxel in Chinese patients with advanced solid tumors.

A Phase I open-label study to assess the pharmacokinetics, safety, and tolerability of capivasertib alone or in combination with paclitaxel in Chinese patients with advanced solid tumors.

Background: Capivasertib is recommended, plus fulvestrant, for hormone receptor-positive/human epidermal growth factor receptor 2-negative advanced breast cancer with PIK3CA/AKT1/PTEN alterations and is under development for further breast and prostate cancer indications. Pharmacokinetics in Western and Japanese patients have been previously characterized. We conducted a Phase I trial assessing the pharmacokinetics and safety of capivasertib, alone or plus paclitaxel, in Chinese patients with advanced solid tumors.

Methods: In this open-label, fixed-sequence Phase I trial, Chinese patients with advanced solid tumors refractory or resistant to standard therapy received capivasertib alone (Part A) and then plus paclitaxel (Part B). The primary endpoint comprised capivasertib pharmacokinetics after a single dose (480 mg), or multiple doses given alone (480 mg twice daily [4 days on, 3 days off]) or plus paclitaxel (capivasertib 400 mg twice daily [4 days on, 3 days off], paclitaxel 80 mg/m2 once weekly; both 3 weeks on, 1 week off). Safety was a secondary endpoint. Investigator-assessed best objective response was an exploratory endpoint.

Results: Overall, 16 patients (median age 55.5 years, median weight 58.9 kg, 81.3% breast primary tumor location) received capivasertib alone in Part A and then capivasertib plus paclitaxel in Part B. The median time to maximum concentration, the geometric mean maximum plasma concentration, and the geometric mean area under the curve from time 0 to the last quantifiable concentration of capivasertib were: after a single dose (n = 16): 1.0 h, 1465 ng/mL, and 7243 h×ng/mL; after multiple doses (n = 15): 0.9 h, 2535 ng/mL, and 12,080 h×ng/mL; after multiple doses plus paclitaxel (n = 8): 1.9 h, 2467 ng/mL, and 12,830 h×ng/mL, respectively. After a single dose, the geometric mean terminal elimination half-life was 9.7 h. Hyperglycemia, diarrhea, and rash were the most common adverse events (reported for all patients). Most adverse events were Grade 1-2. Four (25.0%) patients achieved confirmed partial response and four (25.0%) stable disease as best objective response.

Conclusions: Consistent with previous findings, capivasertib was absorbed rapidly and eliminated with a half-life of approximately 10 h. The manageable safety profile and preliminary antitumor activity support further investigation of capivasertib-containing combinations in Chinese patients with advanced solid tumors.

Trial registration: The trial was registered at ClinicalTrials.gov with identifier no. NCT04742036. Date of registration: February 4, 2021.

求助全文
通过发布文献求助,成功后即可免费获取论文全文。 去求助
来源期刊
BMC Cancer
BMC Cancer 医学-肿瘤学
CiteScore
6.00
自引率
2.60%
发文量
1204
审稿时长
6.8 months
期刊介绍: BMC Cancer is an open access, peer-reviewed journal that considers articles on all aspects of cancer research, including the pathophysiology, prevention, diagnosis and treatment of cancers. The journal welcomes submissions concerning molecular and cellular biology, genetics, epidemiology, and clinical trials.
×
引用
GB/T 7714-2015
复制
MLA
复制
APA
复制
导出至
BibTeX EndNote RefMan NoteFirst NoteExpress
×
提示
您的信息不完整,为了账户安全,请先补充。
现在去补充
×
提示
您因"违规操作"
具体请查看互助需知
我知道了
×
提示
确定
请完成安全验证×
copy
已复制链接
快去分享给好友吧!
我知道了
右上角分享
点击右上角分享
0
联系我们:info@booksci.cn Book学术提供免费学术资源搜索服务,方便国内外学者检索中英文文献。致力于提供最便捷和优质的服务体验。 Copyright © 2023 布克学术 All rights reserved.
京ICP备2023020795号-1
ghs 京公网安备 11010802042870号
Book学术文献互助
Book学术文献互助群
群 号:604180095
Book学术官方微信