戊二酰辅酶a脱氢酶(GCDH)通过调节戊二酰肉碱水平提高肾脏恶性肿瘤的风险。

IF 2.9 4区 医学 Q3 ENDOCRINOLOGY & METABOLISM
Xuanshuo Liu, Bohua Chen, Jianghao Yuan, Shuhao Li, Lei Gao, Mingyan Chu, Shicang Fan, Weiwei Fan
{"title":"戊二酰辅酶a脱氢酶(GCDH)通过调节戊二酰肉碱水平提高肾脏恶性肿瘤的风险。","authors":"Xuanshuo Liu, Bohua Chen, Jianghao Yuan, Shuhao Li, Lei Gao, Mingyan Chu, Shicang Fan, Weiwei Fan","doi":"10.1007/s12672-025-03700-y","DOIUrl":null,"url":null,"abstract":"<p><strong>Background: </strong>Crotonylation, a recently identified lysine acylation, plays a critical role in post-translational modifications [1]. It has been implicated in tumorigenesis by modulating metabolic reprogramming [2], DNA repair, immune evasion [3], and oncogenic signaling pathways, including PKA-FAK-AKT and androgen receptor signaling [4]. The specific role of crotonylation in renal malignancy (RM) remains poorly understood, especially in interaction with gene expression and metabolic pathway interactions.</p><p><strong>Methods: </strong>This study integrates genome-wide association study (GWAS) summary statistics for RM from the FinnGen database, data on crotonylation-associated gene expression obtained from the eQTLGen consortium, and metabolite GWAS data obtained from the GWAS Catalog. A combined two-sample Mendelian randomization (MR), summary data-based Mendelian randomization (SMR), and mediation analyses were performed to investigate the causal link between Glutaryl-CoA dehydrogenase (GCDH) and RM, with a specific focus on glutarylcarnitine metabolism.</p><p><strong>Results: </strong>MR analysis demonstrated a significant association; increased expression of GCDH is likely to increase the risk of RM (OR = 1.25, P = 0.0045). Mediation analysis revealed that elevated GCDH expression significantly reduced glutarylcarnitine (C5-DC) levels, which in turn was inversely associated with RM risk. A three-step MR-based mediation confirmed a significant mediating effect of glutarylcarnitine (β₁₂ = 0.0680, P = 0.002), with 30.25% of the total effect attributable to it. The robustness of these findings was further demonstrated by sensitivity analyses and SMR results.</p><p><strong>Conclusion: </strong>This study represents the first evidence that GCDH might exert an indirect pro-RM effect via the downregulation of glutarylcarnitine, thus providing new insights into tumor metabolic pathways and positioning glutarylcarnitine as a potentially diagnostic biomarker and therapeutic target for RM.</p>","PeriodicalId":11148,"journal":{"name":"Discover. Oncology","volume":"16 1","pages":"1852"},"PeriodicalIF":2.9000,"publicationDate":"2025-10-10","publicationTypes":"Journal Article","fieldsOfStudy":null,"isOpenAccess":false,"openAccessPdf":"https://www.ncbi.nlm.nih.gov/pmc/articles/PMC12514084/pdf/","citationCount":"0","resultStr":"{\"title\":\"Glutaryl-CoA dehydrogenase (GCDH) enhances renal malignancy risk via modulating glutarylcarnitine levels.\",\"authors\":\"Xuanshuo Liu, Bohua Chen, Jianghao Yuan, Shuhao Li, Lei Gao, Mingyan Chu, Shicang Fan, Weiwei Fan\",\"doi\":\"10.1007/s12672-025-03700-y\",\"DOIUrl\":null,\"url\":null,\"abstract\":\"<p><strong>Background: </strong>Crotonylation, a recently identified lysine acylation, plays a critical role in post-translational modifications [1]. It has been implicated in tumorigenesis by modulating metabolic reprogramming [2], DNA repair, immune evasion [3], and oncogenic signaling pathways, including PKA-FAK-AKT and androgen receptor signaling [4]. The specific role of crotonylation in renal malignancy (RM) remains poorly understood, especially in interaction with gene expression and metabolic pathway interactions.</p><p><strong>Methods: </strong>This study integrates genome-wide association study (GWAS) summary statistics for RM from the FinnGen database, data on crotonylation-associated gene expression obtained from the eQTLGen consortium, and metabolite GWAS data obtained from the GWAS Catalog. A combined two-sample Mendelian randomization (MR), summary data-based Mendelian randomization (SMR), and mediation analyses were performed to investigate the causal link between Glutaryl-CoA dehydrogenase (GCDH) and RM, with a specific focus on glutarylcarnitine metabolism.</p><p><strong>Results: </strong>MR analysis demonstrated a significant association; increased expression of GCDH is likely to increase the risk of RM (OR = 1.25, P = 0.0045). Mediation analysis revealed that elevated GCDH expression significantly reduced glutarylcarnitine (C5-DC) levels, which in turn was inversely associated with RM risk. A three-step MR-based mediation confirmed a significant mediating effect of glutarylcarnitine (β₁₂ = 0.0680, P = 0.002), with 30.25% of the total effect attributable to it. The robustness of these findings was further demonstrated by sensitivity analyses and SMR results.</p><p><strong>Conclusion: </strong>This study represents the first evidence that GCDH might exert an indirect pro-RM effect via the downregulation of glutarylcarnitine, thus providing new insights into tumor metabolic pathways and positioning glutarylcarnitine as a potentially diagnostic biomarker and therapeutic target for RM.</p>\",\"PeriodicalId\":11148,\"journal\":{\"name\":\"Discover. Oncology\",\"volume\":\"16 1\",\"pages\":\"1852\"},\"PeriodicalIF\":2.9000,\"publicationDate\":\"2025-10-10\",\"publicationTypes\":\"Journal Article\",\"fieldsOfStudy\":null,\"isOpenAccess\":false,\"openAccessPdf\":\"https://www.ncbi.nlm.nih.gov/pmc/articles/PMC12514084/pdf/\",\"citationCount\":\"0\",\"resultStr\":null,\"platform\":\"Semanticscholar\",\"paperid\":null,\"PeriodicalName\":\"Discover. Oncology\",\"FirstCategoryId\":\"3\",\"ListUrlMain\":\"https://doi.org/10.1007/s12672-025-03700-y\",\"RegionNum\":4,\"RegionCategory\":\"医学\",\"ArticlePicture\":[],\"TitleCN\":null,\"AbstractTextCN\":null,\"PMCID\":null,\"EPubDate\":\"\",\"PubModel\":\"\",\"JCR\":\"Q3\",\"JCRName\":\"ENDOCRINOLOGY & METABOLISM\",\"Score\":null,\"Total\":0}","platform":"Semanticscholar","paperid":null,"PeriodicalName":"Discover. Oncology","FirstCategoryId":"3","ListUrlMain":"https://doi.org/10.1007/s12672-025-03700-y","RegionNum":4,"RegionCategory":"医学","ArticlePicture":[],"TitleCN":null,"AbstractTextCN":null,"PMCID":null,"EPubDate":"","PubModel":"","JCR":"Q3","JCRName":"ENDOCRINOLOGY & METABOLISM","Score":null,"Total":0}
引用次数: 0

摘要

背景:Crotonylation是最近发现的赖氨酸酰化,在翻译后修饰[1]中起关键作用。它通过调节代谢重编程[2]、DNA修复、免疫逃避[3]和致癌信号通路(包括PKA-FAK-AKT和雄激素受体信号通路[4])参与肿瘤发生。巴豆酰化在肾恶性肿瘤(RM)中的具体作用尚不清楚,特别是与基因表达和代谢途径的相互作用。方法:本研究整合了FinnGen数据库中RM的全基因组关联研究(GWAS)汇总统计数据、eQTLGen联盟中巴豆酰化相关基因表达数据以及GWAS目录中代谢物GWAS数据。通过双样本孟德尔随机化(MR)、基于汇总数据的孟德尔随机化(SMR)和中介分析,研究戊二酰辅酶A脱氢酶(GCDH)与RM之间的因果关系,特别关注戊二酰肉碱代谢。结果:MR分析显示有显著相关性;GCDH表达增加可能增加RM的风险(OR = 1.25, P = 0.0045)。中介分析显示,GCDH表达升高可显著降低戊二酰肉碱(C5-DC)水平,从而与RM风险呈负相关。三步磁共振介导证实戊二酰肉碱具有显著的中介作用(β₁₂= 0.0680,P = 0.002),占总效应的30.25%。敏感性分析和SMR结果进一步证明了这些发现的稳健性。结论:本研究首次证明GCDH可能通过下调戊二酰肉碱间接促进RM的作用,从而为肿瘤代谢途径提供了新的认识,并将戊二酰肉碱定位为RM的潜在诊断生物标志物和治疗靶点。
本文章由计算机程序翻译,如有差异,请以英文原文为准。

Glutaryl-CoA dehydrogenase (GCDH) enhances renal malignancy risk via modulating glutarylcarnitine levels.

Glutaryl-CoA dehydrogenase (GCDH) enhances renal malignancy risk via modulating glutarylcarnitine levels.

Glutaryl-CoA dehydrogenase (GCDH) enhances renal malignancy risk via modulating glutarylcarnitine levels.

Glutaryl-CoA dehydrogenase (GCDH) enhances renal malignancy risk via modulating glutarylcarnitine levels.

Background: Crotonylation, a recently identified lysine acylation, plays a critical role in post-translational modifications [1]. It has been implicated in tumorigenesis by modulating metabolic reprogramming [2], DNA repair, immune evasion [3], and oncogenic signaling pathways, including PKA-FAK-AKT and androgen receptor signaling [4]. The specific role of crotonylation in renal malignancy (RM) remains poorly understood, especially in interaction with gene expression and metabolic pathway interactions.

Methods: This study integrates genome-wide association study (GWAS) summary statistics for RM from the FinnGen database, data on crotonylation-associated gene expression obtained from the eQTLGen consortium, and metabolite GWAS data obtained from the GWAS Catalog. A combined two-sample Mendelian randomization (MR), summary data-based Mendelian randomization (SMR), and mediation analyses were performed to investigate the causal link between Glutaryl-CoA dehydrogenase (GCDH) and RM, with a specific focus on glutarylcarnitine metabolism.

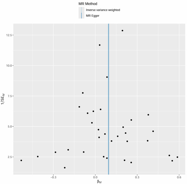
Results: MR analysis demonstrated a significant association; increased expression of GCDH is likely to increase the risk of RM (OR = 1.25, P = 0.0045). Mediation analysis revealed that elevated GCDH expression significantly reduced glutarylcarnitine (C5-DC) levels, which in turn was inversely associated with RM risk. A three-step MR-based mediation confirmed a significant mediating effect of glutarylcarnitine (β₁₂ = 0.0680, P = 0.002), with 30.25% of the total effect attributable to it. The robustness of these findings was further demonstrated by sensitivity analyses and SMR results.

Conclusion: This study represents the first evidence that GCDH might exert an indirect pro-RM effect via the downregulation of glutarylcarnitine, thus providing new insights into tumor metabolic pathways and positioning glutarylcarnitine as a potentially diagnostic biomarker and therapeutic target for RM.

求助全文
通过发布文献求助,成功后即可免费获取论文全文。 去求助
来源期刊
Discover. Oncology
Discover. Oncology Medicine-Endocrinology, Diabetes and Metabolism
CiteScore
2.40
自引率
9.10%
发文量
122
审稿时长
5 weeks
×
引用
GB/T 7714-2015
复制
MLA
复制
APA
复制
导出至
BibTeX EndNote RefMan NoteFirst NoteExpress
×
提示
您的信息不完整,为了账户安全,请先补充。
现在去补充
×
提示
您因"违规操作"
具体请查看互助需知
我知道了
×
提示
确定
请完成安全验证×
copy
已复制链接
快去分享给好友吧!
我知道了
右上角分享
点击右上角分享
0
联系我们:info@booksci.cn Book学术提供免费学术资源搜索服务,方便国内外学者检索中英文文献。致力于提供最便捷和优质的服务体验。 Copyright © 2023 布克学术 All rights reserved.
京ICP备2023020795号-1
ghs 京公网安备 11010802042870号
Book学术文献互助
Book学术文献互助群
群 号:604180095
Book学术官方微信