Côte科特迪瓦的塔博多代出生队列:建立纵向多代出生队列以指导卫生政策的议定书。

IF 1.5 Q3 HEALTH CARE SCIENCES & SERVICES
Siaka Koné, Nicole Probst-Hensch, Daouda Dao, Jürg Utzinger, Martial Laubet, Abou Marie-Chantal Tobo, Günther Fink
{"title":"Côte科特迪瓦的塔博多代出生队列:建立纵向多代出生队列以指导卫生政策的议定书。","authors":"Siaka Koné, Nicole Probst-Hensch, Daouda Dao, Jürg Utzinger, Martial Laubet, Abou Marie-Chantal Tobo, Günther Fink","doi":"10.2196/70771","DOIUrl":null,"url":null,"abstract":"<p><strong>Background: </strong>A large number of sociodemographic, economic, environmental, and psychosocial changes have contributed to the epidemiological transition of African countries and fundamentally shifted the primary drivers of health. Cohort studies are essential for understanding and improving population health but remain scarce in sub-Saharan Africa.</p><p><strong>Objective: </strong>The main objective of the Taabo Multigenerational Cohort (MGC) project is to establish a large, regionally representative multigenerational cohort. The cohort will be established within the Taabo Health and Demographic Surveillance System (HDSS) and used for studying the life course and intergenerational dynamics of disease in the south-central part of Côte d'Ivoire.</p><p><strong>Methods: </strong>The Taabo MGC project focuses on children born between January 1, 2024, and December 31, 2025, in the Taabo HDSS, as well as their parents, grandparents, and great-grandparents. Eligible women and their children are enrolled during pregnancy, and women who do not report during pregnancy are enrolled after the birth. After enrollment of pregnant women, biological ancestors of the index child who are still alive and living in the study area are recruited into the cohort. The cohort is expected to enroll at least 3000 pregnant women and their children, as well as the infants' fathers, grandparents, and great-grandparents, with an expected sample size of approximately 15,000 individuals. To ensure the entire local population is covered in this study, we will also include 100 adults without children. The baseline assessments cover data on demographics, household wealth, tobacco and alcohol consumption, diet, physical activity, health history, quality of life, environmental exposures, depression, anxiety, stress, resilience, obstetric history, birth outcomes, cognitive function, and, for older adults, physical performance. We will also collect anthropometric measurements, blood pressure, and hemoglobin levels and check for Plasmodium infection (the causative agent of malaria) among all participants.</p><p><strong>Results: </strong>As of December 2024, the Taabo MGC project has enrolled 3239 women and 6501 family members. The enrollment of pregnant women and their children's biological ancestors will continue until the end of 2025, aiming to reach at least 15,000 adults.</p><p><strong>Conclusions: </strong>The Taabo MGC project is designed to become one of the largest cohort studies in the region. Once established, the Taabo MGC project should become a platform for future observational and interventional studies at the local level and contribute to the much-needed evidence base on lifetime disease risk in this part of Côte d'Ivoire. We hope that our work will stimulate research and guide health policy elsewhere in sub-Saharan Africa.</p>","PeriodicalId":14755,"journal":{"name":"JMIR Research Protocols","volume":"14 ","pages":"e70771"},"PeriodicalIF":1.5000,"publicationDate":"2025-10-07","publicationTypes":"Journal Article","fieldsOfStudy":null,"isOpenAccess":false,"openAccessPdf":"https://www.ncbi.nlm.nih.gov/pmc/articles/PMC12505403/pdf/","citationCount":"0","resultStr":"{\"title\":\"Taabo Multigenerational Birth Cohort in Côte d'Ivoire: Protocol for Establishing a Longitudinal Multigenerational Birth Cohort to Guide Health Policy.\",\"authors\":\"Siaka Koné, Nicole Probst-Hensch, Daouda Dao, Jürg Utzinger, Martial Laubet, Abou Marie-Chantal Tobo, Günther Fink\",\"doi\":\"10.2196/70771\",\"DOIUrl\":null,\"url\":null,\"abstract\":\"<p><strong>Background: </strong>A large number of sociodemographic, economic, environmental, and psychosocial changes have contributed to the epidemiological transition of African countries and fundamentally shifted the primary drivers of health. Cohort studies are essential for understanding and improving population health but remain scarce in sub-Saharan Africa.</p><p><strong>Objective: </strong>The main objective of the Taabo Multigenerational Cohort (MGC) project is to establish a large, regionally representative multigenerational cohort. The cohort will be established within the Taabo Health and Demographic Surveillance System (HDSS) and used for studying the life course and intergenerational dynamics of disease in the south-central part of Côte d'Ivoire.</p><p><strong>Methods: </strong>The Taabo MGC project focuses on children born between January 1, 2024, and December 31, 2025, in the Taabo HDSS, as well as their parents, grandparents, and great-grandparents. Eligible women and their children are enrolled during pregnancy, and women who do not report during pregnancy are enrolled after the birth. After enrollment of pregnant women, biological ancestors of the index child who are still alive and living in the study area are recruited into the cohort. The cohort is expected to enroll at least 3000 pregnant women and their children, as well as the infants' fathers, grandparents, and great-grandparents, with an expected sample size of approximately 15,000 individuals. To ensure the entire local population is covered in this study, we will also include 100 adults without children. The baseline assessments cover data on demographics, household wealth, tobacco and alcohol consumption, diet, physical activity, health history, quality of life, environmental exposures, depression, anxiety, stress, resilience, obstetric history, birth outcomes, cognitive function, and, for older adults, physical performance. We will also collect anthropometric measurements, blood pressure, and hemoglobin levels and check for Plasmodium infection (the causative agent of malaria) among all participants.</p><p><strong>Results: </strong>As of December 2024, the Taabo MGC project has enrolled 3239 women and 6501 family members. The enrollment of pregnant women and their children's biological ancestors will continue until the end of 2025, aiming to reach at least 15,000 adults.</p><p><strong>Conclusions: </strong>The Taabo MGC project is designed to become one of the largest cohort studies in the region. Once established, the Taabo MGC project should become a platform for future observational and interventional studies at the local level and contribute to the much-needed evidence base on lifetime disease risk in this part of Côte d'Ivoire. We hope that our work will stimulate research and guide health policy elsewhere in sub-Saharan Africa.</p>\",\"PeriodicalId\":14755,\"journal\":{\"name\":\"JMIR Research Protocols\",\"volume\":\"14 \",\"pages\":\"e70771\"},\"PeriodicalIF\":1.5000,\"publicationDate\":\"2025-10-07\",\"publicationTypes\":\"Journal Article\",\"fieldsOfStudy\":null,\"isOpenAccess\":false,\"openAccessPdf\":\"https://www.ncbi.nlm.nih.gov/pmc/articles/PMC12505403/pdf/\",\"citationCount\":\"0\",\"resultStr\":null,\"platform\":\"Semanticscholar\",\"paperid\":null,\"PeriodicalName\":\"JMIR Research Protocols\",\"FirstCategoryId\":\"1085\",\"ListUrlMain\":\"https://doi.org/10.2196/70771\",\"RegionNum\":0,\"RegionCategory\":null,\"ArticlePicture\":[],\"TitleCN\":null,\"AbstractTextCN\":null,\"PMCID\":null,\"EPubDate\":\"\",\"PubModel\":\"\",\"JCR\":\"Q3\",\"JCRName\":\"HEALTH CARE SCIENCES & SERVICES\",\"Score\":null,\"Total\":0}","platform":"Semanticscholar","paperid":null,"PeriodicalName":"JMIR Research Protocols","FirstCategoryId":"1085","ListUrlMain":"https://doi.org/10.2196/70771","RegionNum":0,"RegionCategory":null,"ArticlePicture":[],"TitleCN":null,"AbstractTextCN":null,"PMCID":null,"EPubDate":"","PubModel":"","JCR":"Q3","JCRName":"HEALTH CARE SCIENCES & SERVICES","Score":null,"Total":0}
引用次数: 0

摘要

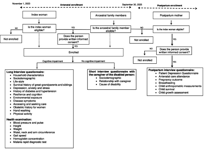
背景:大量的社会人口、经济、环境和心理社会变化促进了非洲国家的流行病学转变,并从根本上改变了健康的主要驱动因素。队列研究对于了解和改善人口健康至关重要,但在撒哈拉以南非洲仍然很少。目的:Taabo多代队列(MGC)项目的主要目标是建立一个大型的,具有区域代表性的多代队列。该队列将在塔博健康和人口监测系统(HDSS)内建立,并用于研究Côte科特迪瓦中南部的生命历程和疾病的代际动态。方法:Taabo MGC项目以Taabo HDSS中2024年1月1日至2025年12月31日出生的儿童及其父母、祖父母、曾祖父母为研究对象。符合条件的妇女及其子女在怀孕期间登记,未在怀孕期间报告的妇女在出生后登记。孕妇入组后,将指标儿在世且生活在研究区内的生物祖先纳入队列。该队列预计将招募至少3000名孕妇和她们的孩子,以及婴儿的父亲、祖父母和曾祖父母,预计样本量约为15,000人。为了确保这项研究涵盖了整个当地人口,我们还将包括100名没有孩子的成年人。基线评估涵盖以下数据:人口统计、家庭财富、烟酒消费、饮食、身体活动、健康史、生活质量、环境暴露、抑郁、焦虑、压力、复原力、产科史、分娩结果、认知功能,以及老年人的身体表现。我们还将收集所有参与者的人体测量、血压和血红蛋白水平,并检查疟原虫感染(疟疾的病原体)。结果:截至2024年12月,Taabo MGC项目共招募了3239名女性和6501名家庭成员。孕妇及其子女的亲生祖先的登记将持续到2025年底,目标是至少达到1.5万名成年人。结论:Taabo MGC项目旨在成为该地区最大的队列研究之一。一旦建立,Taabo MGC项目应成为未来在地方一级进行观察和干预研究的平台,并为Côte科特迪瓦这一地区急需的终身疾病风险证据基础作出贡献。我们希望我们的工作将促进撒哈拉以南非洲其他地区的研究并指导卫生政策。
本文章由计算机程序翻译,如有差异,请以英文原文为准。

Taabo Multigenerational Birth Cohort in Côte d'Ivoire: Protocol for Establishing a Longitudinal Multigenerational Birth Cohort to Guide Health Policy.

Taabo Multigenerational Birth Cohort in Côte d'Ivoire: Protocol for Establishing a Longitudinal Multigenerational Birth Cohort to Guide Health Policy.

Taabo Multigenerational Birth Cohort in Côte d'Ivoire: Protocol for Establishing a Longitudinal Multigenerational Birth Cohort to Guide Health Policy.

Taabo Multigenerational Birth Cohort in Côte d'Ivoire: Protocol for Establishing a Longitudinal Multigenerational Birth Cohort to Guide Health Policy.

Background: A large number of sociodemographic, economic, environmental, and psychosocial changes have contributed to the epidemiological transition of African countries and fundamentally shifted the primary drivers of health. Cohort studies are essential for understanding and improving population health but remain scarce in sub-Saharan Africa.

Objective: The main objective of the Taabo Multigenerational Cohort (MGC) project is to establish a large, regionally representative multigenerational cohort. The cohort will be established within the Taabo Health and Demographic Surveillance System (HDSS) and used for studying the life course and intergenerational dynamics of disease in the south-central part of Côte d'Ivoire.

Methods: The Taabo MGC project focuses on children born between January 1, 2024, and December 31, 2025, in the Taabo HDSS, as well as their parents, grandparents, and great-grandparents. Eligible women and their children are enrolled during pregnancy, and women who do not report during pregnancy are enrolled after the birth. After enrollment of pregnant women, biological ancestors of the index child who are still alive and living in the study area are recruited into the cohort. The cohort is expected to enroll at least 3000 pregnant women and their children, as well as the infants' fathers, grandparents, and great-grandparents, with an expected sample size of approximately 15,000 individuals. To ensure the entire local population is covered in this study, we will also include 100 adults without children. The baseline assessments cover data on demographics, household wealth, tobacco and alcohol consumption, diet, physical activity, health history, quality of life, environmental exposures, depression, anxiety, stress, resilience, obstetric history, birth outcomes, cognitive function, and, for older adults, physical performance. We will also collect anthropometric measurements, blood pressure, and hemoglobin levels and check for Plasmodium infection (the causative agent of malaria) among all participants.

Results: As of December 2024, the Taabo MGC project has enrolled 3239 women and 6501 family members. The enrollment of pregnant women and their children's biological ancestors will continue until the end of 2025, aiming to reach at least 15,000 adults.

Conclusions: The Taabo MGC project is designed to become one of the largest cohort studies in the region. Once established, the Taabo MGC project should become a platform for future observational and interventional studies at the local level and contribute to the much-needed evidence base on lifetime disease risk in this part of Côte d'Ivoire. We hope that our work will stimulate research and guide health policy elsewhere in sub-Saharan Africa.

求助全文
通过发布文献求助,成功后即可免费获取论文全文。 去求助
来源期刊
CiteScore
2.40
自引率
5.90%
发文量
414
审稿时长
12 weeks
×
引用
GB/T 7714-2015
复制
MLA
复制
APA
复制
导出至
BibTeX EndNote RefMan NoteFirst NoteExpress
×
提示
您的信息不完整,为了账户安全,请先补充。
现在去补充
×
提示
您因"违规操作"
具体请查看互助需知
我知道了
×
提示
确定
请完成安全验证×
copy
已复制链接
快去分享给好友吧!
我知道了
右上角分享
点击右上角分享
0
联系我们:info@booksci.cn Book学术提供免费学术资源搜索服务,方便国内外学者检索中英文文献。致力于提供最便捷和优质的服务体验。 Copyright © 2023 布克学术 All rights reserved.
京ICP备2023020795号-1
ghs 京公网安备 11010802042870号
Book学术文献互助
Book学术文献互助群
群 号:604180095
Book学术官方微信