炎症性肠病患者服用美沙拉嗪对依从性的影响。

Q2 Medicine
Inflammatory Intestinal Diseases Pub Date : 2025-07-05 eCollection Date: 2025-01-01 DOI:10.1159/000547076
Julien Kirchgesner, Helen Thorne, Ekaterina Safroneeva, Raphaël Laoun
{"title":"炎症性肠病患者服用美沙拉嗪对依从性的影响。","authors":"Julien Kirchgesner, Helen Thorne, Ekaterina Safroneeva, Raphaël Laoun","doi":"10.1159/000547076","DOIUrl":null,"url":null,"abstract":"<p><strong>Introduction: </strong>There are a limited number of studies that have investigated mesalazine persistence and adherence using administrative/pharmacy claims data that may approximate real-world clinical practice data; therefore, the aim of this study was to compare the adherence to oral mesalazine between different groups of inflammatory bowel disease (IBD) patients in relation to the tablet strength (number of pills per day) dispensed in retail pharmacy.</p><p><strong>Methods: </strong>This was a retrospective cohort study in French patients using the IQVIA Longitudinal Prescription Data, a patient database based on retail pharmacy claims.</p><p><strong>Results: </strong>Of the 21,669 patients with a pharmacy claim for oral mesalazine initiated for IBD between June 2020 and April 2022, after exclusion criteria were applied, 12,122 IBD treatment-naïve patients initiating mesalazine treatment were included. A high-strength (HS) (1,600 mg), medium-strength (MS) (800-1,000 mg), and low-strength (LS) (400-500 mg) mesalazine tablet was dispensed to 1,216, 8,631, and 2,275 patients, respectively. Persistence to medication at 6 months of follow-up was 44.6%, 35.4%, and 25.3% in the HS, MS, and LS group, respectively. After 1 year of follow-up, it was 22.0%, 17.1%, and 11.5% in the HS, MS, and LS groups, respectively. Patient adherence to mesalazine tablets was 41.3% patients in the HS group, 35.5% patients in the MS group, and 28.0% patients in the LS group (<i>p</i> < 0.001).</p><p><strong>Conclusion: </strong>The results showed a consistent higher adherence with the decrease of pill burden. HS tablets were significantly associated with higher persistence and higher adherence to medication compared to the MS and LS tablet group.</p>","PeriodicalId":13605,"journal":{"name":"Inflammatory Intestinal Diseases","volume":"10 1","pages":"214-223"},"PeriodicalIF":0.0000,"publicationDate":"2025-07-05","publicationTypes":"Journal Article","fieldsOfStudy":null,"isOpenAccess":false,"openAccessPdf":"https://www.ncbi.nlm.nih.gov/pmc/articles/PMC12503480/pdf/","citationCount":"0","resultStr":"{\"title\":\"The Impact of Mesalazine Pill Burden on Compliance in Inflammatory Bowel Disease Patients.\",\"authors\":\"Julien Kirchgesner, Helen Thorne, Ekaterina Safroneeva, Raphaël Laoun\",\"doi\":\"10.1159/000547076\",\"DOIUrl\":null,\"url\":null,\"abstract\":\"<p><strong>Introduction: </strong>There are a limited number of studies that have investigated mesalazine persistence and adherence using administrative/pharmacy claims data that may approximate real-world clinical practice data; therefore, the aim of this study was to compare the adherence to oral mesalazine between different groups of inflammatory bowel disease (IBD) patients in relation to the tablet strength (number of pills per day) dispensed in retail pharmacy.</p><p><strong>Methods: </strong>This was a retrospective cohort study in French patients using the IQVIA Longitudinal Prescription Data, a patient database based on retail pharmacy claims.</p><p><strong>Results: </strong>Of the 21,669 patients with a pharmacy claim for oral mesalazine initiated for IBD between June 2020 and April 2022, after exclusion criteria were applied, 12,122 IBD treatment-naïve patients initiating mesalazine treatment were included. A high-strength (HS) (1,600 mg), medium-strength (MS) (800-1,000 mg), and low-strength (LS) (400-500 mg) mesalazine tablet was dispensed to 1,216, 8,631, and 2,275 patients, respectively. Persistence to medication at 6 months of follow-up was 44.6%, 35.4%, and 25.3% in the HS, MS, and LS group, respectively. After 1 year of follow-up, it was 22.0%, 17.1%, and 11.5% in the HS, MS, and LS groups, respectively. Patient adherence to mesalazine tablets was 41.3% patients in the HS group, 35.5% patients in the MS group, and 28.0% patients in the LS group (<i>p</i> < 0.001).</p><p><strong>Conclusion: </strong>The results showed a consistent higher adherence with the decrease of pill burden. HS tablets were significantly associated with higher persistence and higher adherence to medication compared to the MS and LS tablet group.</p>\",\"PeriodicalId\":13605,\"journal\":{\"name\":\"Inflammatory Intestinal Diseases\",\"volume\":\"10 1\",\"pages\":\"214-223\"},\"PeriodicalIF\":0.0000,\"publicationDate\":\"2025-07-05\",\"publicationTypes\":\"Journal Article\",\"fieldsOfStudy\":null,\"isOpenAccess\":false,\"openAccessPdf\":\"https://www.ncbi.nlm.nih.gov/pmc/articles/PMC12503480/pdf/\",\"citationCount\":\"0\",\"resultStr\":null,\"platform\":\"Semanticscholar\",\"paperid\":null,\"PeriodicalName\":\"Inflammatory Intestinal Diseases\",\"FirstCategoryId\":\"1085\",\"ListUrlMain\":\"https://doi.org/10.1159/000547076\",\"RegionNum\":0,\"RegionCategory\":null,\"ArticlePicture\":[],\"TitleCN\":null,\"AbstractTextCN\":null,\"PMCID\":null,\"EPubDate\":\"2025/1/1 0:00:00\",\"PubModel\":\"eCollection\",\"JCR\":\"Q2\",\"JCRName\":\"Medicine\",\"Score\":null,\"Total\":0}","platform":"Semanticscholar","paperid":null,"PeriodicalName":"Inflammatory Intestinal Diseases","FirstCategoryId":"1085","ListUrlMain":"https://doi.org/10.1159/000547076","RegionNum":0,"RegionCategory":null,"ArticlePicture":[],"TitleCN":null,"AbstractTextCN":null,"PMCID":null,"EPubDate":"2025/1/1 0:00:00","PubModel":"eCollection","JCR":"Q2","JCRName":"Medicine","Score":null,"Total":0}
引用次数: 0

摘要

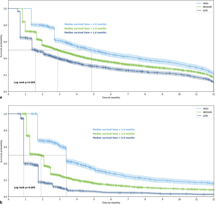
有有限数量的研究调查了美沙拉嗪的持久性和依从性,使用的行政/药房索赔数据可能接近现实世界的临床实践数据;因此,本研究的目的是比较不同组炎症性肠病(IBD)患者对口服美沙拉嗪的依从性与零售药房分配的片剂强度(每天药片数量)的关系。方法:这是一项对法国患者的回顾性队列研究,使用IQVIA纵向处方数据,这是一个基于零售药房索赔的患者数据库。结果:在2020年6月至2022年4月期间,21,669名因IBD开始使用口服美沙拉嗪的患者中,在应用排除标准后,纳入了12,122名开始使用美沙拉嗪治疗的IBD treatment-naïve患者。高强度(HS) (1,600 mg)、中等强度(MS) (800-1,000 mg)和低强度(LS) (400-500 mg)美沙拉嗪片分别分配给1,216名、8,631名和2,275名患者。随访6个月时,HS组、MS组和LS组坚持服药的比例分别为44.6%、35.4%和25.3%。随访1年后,HS组、MS组和LS组分别为22.0%、17.1%和11.5%。HS组患者对美沙拉嗪片的依从性为41.3%,MS组为35.5%,LS组为28.0% (p < 0.001)。结论:依从性随服药负担的降低而提高。与MS和LS片组相比,HS片与更高的持久性和更高的药物依从性显著相关。
本文章由计算机程序翻译,如有差异,请以英文原文为准。

The Impact of Mesalazine Pill Burden on Compliance in Inflammatory Bowel Disease Patients.

The Impact of Mesalazine Pill Burden on Compliance in Inflammatory Bowel Disease Patients.

The Impact of Mesalazine Pill Burden on Compliance in Inflammatory Bowel Disease Patients.

The Impact of Mesalazine Pill Burden on Compliance in Inflammatory Bowel Disease Patients.

Introduction: There are a limited number of studies that have investigated mesalazine persistence and adherence using administrative/pharmacy claims data that may approximate real-world clinical practice data; therefore, the aim of this study was to compare the adherence to oral mesalazine between different groups of inflammatory bowel disease (IBD) patients in relation to the tablet strength (number of pills per day) dispensed in retail pharmacy.

Methods: This was a retrospective cohort study in French patients using the IQVIA Longitudinal Prescription Data, a patient database based on retail pharmacy claims.

Results: Of the 21,669 patients with a pharmacy claim for oral mesalazine initiated for IBD between June 2020 and April 2022, after exclusion criteria were applied, 12,122 IBD treatment-naïve patients initiating mesalazine treatment were included. A high-strength (HS) (1,600 mg), medium-strength (MS) (800-1,000 mg), and low-strength (LS) (400-500 mg) mesalazine tablet was dispensed to 1,216, 8,631, and 2,275 patients, respectively. Persistence to medication at 6 months of follow-up was 44.6%, 35.4%, and 25.3% in the HS, MS, and LS group, respectively. After 1 year of follow-up, it was 22.0%, 17.1%, and 11.5% in the HS, MS, and LS groups, respectively. Patient adherence to mesalazine tablets was 41.3% patients in the HS group, 35.5% patients in the MS group, and 28.0% patients in the LS group (p < 0.001).

Conclusion: The results showed a consistent higher adherence with the decrease of pill burden. HS tablets were significantly associated with higher persistence and higher adherence to medication compared to the MS and LS tablet group.

求助全文
通过发布文献求助,成功后即可免费获取论文全文。 去求助
来源期刊
Inflammatory Intestinal Diseases
Inflammatory Intestinal Diseases Medicine-Gastroenterology
CiteScore
4.50
自引率
0.00%
发文量
6
审稿时长
20 weeks
×
引用
GB/T 7714-2015
复制
MLA
复制
APA
复制
导出至
BibTeX EndNote RefMan NoteFirst NoteExpress
×
提示
您的信息不完整,为了账户安全,请先补充。
现在去补充
×
提示
您因"违规操作"
具体请查看互助需知
我知道了
×
提示
确定
请完成安全验证×
copy
已复制链接
快去分享给好友吧!
我知道了
右上角分享
点击右上角分享
0
联系我们:info@booksci.cn Book学术提供免费学术资源搜索服务,方便国内外学者检索中英文文献。致力于提供最便捷和优质的服务体验。 Copyright © 2023 布克学术 All rights reserved.
京ICP备2023020795号-1
ghs 京公网安备 11010802042870号
Book学术文献互助
Book学术文献互助群
群 号:604180095
Book学术官方微信