在DANSS实验中寻找大额外维度

IF 0.4 4区 物理与天体物理 Q4 PHYSICS, NUCLEAR
P. Gorovtsov, N. Skrobova, DANSS Collaboration
{"title":"在DANSS实验中寻找大额外维度","authors":"P. Gorovtsov,&nbsp;N. Skrobova,&nbsp;DANSS Collaboration","doi":"10.1134/S1063778825600824","DOIUrl":null,"url":null,"abstract":"<p>The DANSS detector is placed under the reactor core of Kalinin NPP (at distances 10.9–12.9 m) and collects up to 5000 antineutrino events daily. One of the main goals of the experiment is to scrutinize the sterile neutrino hypothesis. A large fraction of allowed parameter space was excluded by DANSS: for some values of <span>\\(\\Delta m^{2}\\)</span>, the exclusion goes down to <span>\\(\\sin^{2}(2\\theta)&lt;0.01\\)</span>, which had become the best in the world. In addition, the combination of a favorable detector placement near the reactor and large acquired statistics allows us to investigate other scenarios of electron antineutrino disappearance. This paper reports preliminary results on probing the Large Extra Dimensions (LED) hypothesis in the simplest approach of only one additional dimension. This theory describes particle oscillations to hidden, finite-size dimensions and provides sensitivity to neutrino masses. The report covers MC generation for different LED parameters, the study of the experiment sensitivity for oscillation to LED, and the investigation of exclusion areas in the parameter space in the coordinates of <span>\\(a\\)</span> and <span>\\(m_{0}\\)</span>—the size of a hidden large extra dimension and a mass of the lightest neutrino.</p>","PeriodicalId":728,"journal":{"name":"Physics of Atomic Nuclei","volume":"88 3","pages":"413 - 417"},"PeriodicalIF":0.4000,"publicationDate":"2025-10-09","publicationTypes":"Journal Article","fieldsOfStudy":null,"isOpenAccess":false,"openAccessPdf":"","citationCount":"0","resultStr":"{\"title\":\"Searches for Large Extra Dimensions in the DANSS Experiment\",\"authors\":\"P. Gorovtsov,&nbsp;N. Skrobova,&nbsp;DANSS Collaboration\",\"doi\":\"10.1134/S1063778825600824\",\"DOIUrl\":null,\"url\":null,\"abstract\":\"<p>The DANSS detector is placed under the reactor core of Kalinin NPP (at distances 10.9–12.9 m) and collects up to 5000 antineutrino events daily. One of the main goals of the experiment is to scrutinize the sterile neutrino hypothesis. A large fraction of allowed parameter space was excluded by DANSS: for some values of <span>\\\\(\\\\Delta m^{2}\\\\)</span>, the exclusion goes down to <span>\\\\(\\\\sin^{2}(2\\\\theta)&lt;0.01\\\\)</span>, which had become the best in the world. In addition, the combination of a favorable detector placement near the reactor and large acquired statistics allows us to investigate other scenarios of electron antineutrino disappearance. This paper reports preliminary results on probing the Large Extra Dimensions (LED) hypothesis in the simplest approach of only one additional dimension. This theory describes particle oscillations to hidden, finite-size dimensions and provides sensitivity to neutrino masses. The report covers MC generation for different LED parameters, the study of the experiment sensitivity for oscillation to LED, and the investigation of exclusion areas in the parameter space in the coordinates of <span>\\\\(a\\\\)</span> and <span>\\\\(m_{0}\\\\)</span>—the size of a hidden large extra dimension and a mass of the lightest neutrino.</p>\",\"PeriodicalId\":728,\"journal\":{\"name\":\"Physics of Atomic Nuclei\",\"volume\":\"88 3\",\"pages\":\"413 - 417\"},\"PeriodicalIF\":0.4000,\"publicationDate\":\"2025-10-09\",\"publicationTypes\":\"Journal Article\",\"fieldsOfStudy\":null,\"isOpenAccess\":false,\"openAccessPdf\":\"\",\"citationCount\":\"0\",\"resultStr\":null,\"platform\":\"Semanticscholar\",\"paperid\":null,\"PeriodicalName\":\"Physics of Atomic Nuclei\",\"FirstCategoryId\":\"101\",\"ListUrlMain\":\"https://link.springer.com/article/10.1134/S1063778825600824\",\"RegionNum\":4,\"RegionCategory\":\"物理与天体物理\",\"ArticlePicture\":[],\"TitleCN\":null,\"AbstractTextCN\":null,\"PMCID\":null,\"EPubDate\":\"\",\"PubModel\":\"\",\"JCR\":\"Q4\",\"JCRName\":\"PHYSICS, NUCLEAR\",\"Score\":null,\"Total\":0}","platform":"Semanticscholar","paperid":null,"PeriodicalName":"Physics of Atomic Nuclei","FirstCategoryId":"101","ListUrlMain":"https://link.springer.com/article/10.1134/S1063778825600824","RegionNum":4,"RegionCategory":"物理与天体物理","ArticlePicture":[],"TitleCN":null,"AbstractTextCN":null,"PMCID":null,"EPubDate":"","PubModel":"","JCR":"Q4","JCRName":"PHYSICS, NUCLEAR","Score":null,"Total":0}
引用次数: 0

摘要

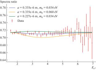
DANSS探测器放置在加里宁核电站反应堆堆芯下(距离10.9-12.9米),每天可收集多达5000个反中微子事件。该实验的主要目标之一是仔细检查惰性中微子假说。DANSS排除了很大一部分允许的参数空间:对于\(\Delta m^{2}\)的一些值,排除率下降到\(\sin^{2}(2\theta)<0.01\),这已经成为世界上最好的。此外,靠近反应堆的有利探测器位置和获得的大量统计数据的结合使我们能够研究电子反中微子消失的其他情况。本文报道了在只有一个额外维度的最简单方法下探索大额外维度(LED)假设的初步结果。该理论将粒子振荡描述为隐藏的有限尺寸维度,并提供了对中微子质量的敏感性。该报告涵盖了不同LED参数下MC的生成,实验对LED振荡的灵敏度研究,以及在\(a\)和\(m_{0}\)坐标下参数空间的排除区域(隐藏的大额外维度的大小和最轻中微子的质量)的研究。
本文章由计算机程序翻译,如有差异,请以英文原文为准。

Searches for Large Extra Dimensions in the DANSS Experiment

Searches for Large Extra Dimensions in the DANSS Experiment

The DANSS detector is placed under the reactor core of Kalinin NPP (at distances 10.9–12.9 m) and collects up to 5000 antineutrino events daily. One of the main goals of the experiment is to scrutinize the sterile neutrino hypothesis. A large fraction of allowed parameter space was excluded by DANSS: for some values of \(\Delta m^{2}\), the exclusion goes down to \(\sin^{2}(2\theta)<0.01\), which had become the best in the world. In addition, the combination of a favorable detector placement near the reactor and large acquired statistics allows us to investigate other scenarios of electron antineutrino disappearance. This paper reports preliminary results on probing the Large Extra Dimensions (LED) hypothesis in the simplest approach of only one additional dimension. This theory describes particle oscillations to hidden, finite-size dimensions and provides sensitivity to neutrino masses. The report covers MC generation for different LED parameters, the study of the experiment sensitivity for oscillation to LED, and the investigation of exclusion areas in the parameter space in the coordinates of \(a\) and \(m_{0}\)—the size of a hidden large extra dimension and a mass of the lightest neutrino.

求助全文
通过发布文献求助,成功后即可免费获取论文全文。 去求助
来源期刊
Physics of Atomic Nuclei
Physics of Atomic Nuclei 物理-物理:核物理
CiteScore
0.60
自引率
25.00%
发文量
56
审稿时长
3-6 weeks
期刊介绍: Physics of Atomic Nuclei is a journal that covers experimental and theoretical studies of nuclear physics: nuclear structure, spectra, and properties; radiation, fission, and nuclear reactions induced by photons, leptons, hadrons, and nuclei; fundamental interactions and symmetries; hadrons (with light, strange, charm, and bottom quarks); particle collisions at high and superhigh energies; gauge and unified quantum field theories, quark models, supersymmetry and supergravity, astrophysics and cosmology.
×
引用
GB/T 7714-2015
复制
MLA
复制
APA
复制
导出至
BibTeX EndNote RefMan NoteFirst NoteExpress
×
提示
您的信息不完整,为了账户安全,请先补充。
现在去补充
×
提示
您因"违规操作"
具体请查看互助需知
我知道了
×
提示
确定
请完成安全验证×
copy
已复制链接
快去分享给好友吧!
我知道了
右上角分享
点击右上角分享
0
联系我们:info@booksci.cn Book学术提供免费学术资源搜索服务,方便国内外学者检索中英文文献。致力于提供最便捷和优质的服务体验。 Copyright © 2023 布克学术 All rights reserved.
京ICP备2023020795号-1
ghs 京公网安备 11010802042870号
Book学术文献互助
Book学术文献互助群
群 号:604180095
Book学术官方微信