深度学习MRI使扫描时间减半,并在常规神经放射学检查中保持图像质量。

Radiology advances Pub Date : 2025-08-23 eCollection Date: 2025-09-01 DOI:10.1093/radadv/umaf029
Shawn K Lyo, Suyash Mohan, Michael J Hoch, Vivek P Patel, Robert M Kurtz, Alvand Hassankhani
{"title":"深度学习MRI使扫描时间减半,并在常规神经放射学检查中保持图像质量。","authors":"Shawn K Lyo, Suyash Mohan, Michael J Hoch, Vivek P Patel, Robert M Kurtz, Alvand Hassankhani","doi":"10.1093/radadv/umaf029","DOIUrl":null,"url":null,"abstract":"<p><strong>Background: </strong>Magnetic resonance imaging (MRI) is a cornerstone of neuroimaging but is limited by lengthy acquisition times, which can lead to motion artifacts, patient discomfort, and delayed care. Deep learning reconstruction is an emerging technology that can offer image acquisition acceleration while maintaining image quality.</p><p><strong>Purpose: </strong>To compare image quality and acquisition efficiency between deep learning-accelerated vs conventional MRI (C-MRI) across a spectrum of routine neuroradiologic examinations.</p><p><strong>Materials and methods: </strong>In this single-center retrospective study, 26 patients underwent imaging with a commercially available, FDA-cleared deep learning-accelerated MRI reconstruction algorithm (Deep Resolve, Siemens Healthineers), and C-MRI on a Siemens 3 T MAGNETOM Vida scanner between October 24 and November 14, 2023. A total of 113 sequence pairs were acquired across multiple body parts (brain [<i>n</i> = 28], cervical spine [<i>n</i> = 24], thoracic spine [<i>n </i>= 16], lumbar spine [<i>n</i> = 14], internal auditory canals [<i>n</i> = 5], sella [<i>n</i> = 5], neck [<i>n</i> = 5], temporomandibular joints [<i>n</i> = 6], brachial plexus [<i>n</i> = 4], and orbits [<i>n</i> = 6]) and sequences (T2 [<i>n</i> = 38], T1 [<i>n</i> = 30], short tau inversion recovery [<i>n</i> = 21], T1 post-contrast [<i>n</i> = 17], T2 fluid attenuated inversion recovery [<i>n</i> = 5], and proton density [<i>n </i>= 2]) and evaluated by 4 neuroradiologists blinded to the acquisition method for image quality using a 5-point Likert scale. Acquisition parameters were extracted from Digital Imaging and Communications in Medicine (DICOM) metadata and statistically compared. Rater preferences and interrater reliability were assessed using nonparametric tests and intraclass correlation coefficients.</p><p><strong>Results: </strong>Deep learning reduced mean scan time by 51.6% (95% CI: 45.7%-57.7%; from 110.8 seconds to 53.7 seconds; <i>P</i> < .001). Image quality assessments using a Likert scale showed scores slightly above neutral for signal-to-noise ratio (mean 3.51; 95% CI: 3.44-3.58), structural delineation (mean 3.51, 95% CI: 3.44-3.56), and overall image quality (mean 3.56, 95% CI: 3.49-3.63). However, poor interrater reliability (intraclass correlation [ICC] range: 0.06-0.33) showed that the observed differences were not consistent, indicating functional equivalence between conventional and deep learning images.</p><p><strong>Conclusion: </strong>Deep learning MRI enabled substantial scan time reductions while maintaining image quality.</p>","PeriodicalId":519940,"journal":{"name":"Radiology advances","volume":"2 5","pages":"umaf029"},"PeriodicalIF":0.0000,"publicationDate":"2025-08-23","publicationTypes":"Journal Article","fieldsOfStudy":null,"isOpenAccess":false,"openAccessPdf":"https://www.ncbi.nlm.nih.gov/pmc/articles/PMC12483150/pdf/","citationCount":"0","resultStr":"{\"title\":\"Deep learning MRI halves scan time and preserves image quality across routine neuroradiologic examinations.\",\"authors\":\"Shawn K Lyo, Suyash Mohan, Michael J Hoch, Vivek P Patel, Robert M Kurtz, Alvand Hassankhani\",\"doi\":\"10.1093/radadv/umaf029\",\"DOIUrl\":null,\"url\":null,\"abstract\":\"<p><strong>Background: </strong>Magnetic resonance imaging (MRI) is a cornerstone of neuroimaging but is limited by lengthy acquisition times, which can lead to motion artifacts, patient discomfort, and delayed care. Deep learning reconstruction is an emerging technology that can offer image acquisition acceleration while maintaining image quality.</p><p><strong>Purpose: </strong>To compare image quality and acquisition efficiency between deep learning-accelerated vs conventional MRI (C-MRI) across a spectrum of routine neuroradiologic examinations.</p><p><strong>Materials and methods: </strong>In this single-center retrospective study, 26 patients underwent imaging with a commercially available, FDA-cleared deep learning-accelerated MRI reconstruction algorithm (Deep Resolve, Siemens Healthineers), and C-MRI on a Siemens 3 T MAGNETOM Vida scanner between October 24 and November 14, 2023. A total of 113 sequence pairs were acquired across multiple body parts (brain [<i>n</i> = 28], cervical spine [<i>n</i> = 24], thoracic spine [<i>n </i>= 16], lumbar spine [<i>n</i> = 14], internal auditory canals [<i>n</i> = 5], sella [<i>n</i> = 5], neck [<i>n</i> = 5], temporomandibular joints [<i>n</i> = 6], brachial plexus [<i>n</i> = 4], and orbits [<i>n</i> = 6]) and sequences (T2 [<i>n</i> = 38], T1 [<i>n</i> = 30], short tau inversion recovery [<i>n</i> = 21], T1 post-contrast [<i>n</i> = 17], T2 fluid attenuated inversion recovery [<i>n</i> = 5], and proton density [<i>n </i>= 2]) and evaluated by 4 neuroradiologists blinded to the acquisition method for image quality using a 5-point Likert scale. Acquisition parameters were extracted from Digital Imaging and Communications in Medicine (DICOM) metadata and statistically compared. Rater preferences and interrater reliability were assessed using nonparametric tests and intraclass correlation coefficients.</p><p><strong>Results: </strong>Deep learning reduced mean scan time by 51.6% (95% CI: 45.7%-57.7%; from 110.8 seconds to 53.7 seconds; <i>P</i> < .001). Image quality assessments using a Likert scale showed scores slightly above neutral for signal-to-noise ratio (mean 3.51; 95% CI: 3.44-3.58), structural delineation (mean 3.51, 95% CI: 3.44-3.56), and overall image quality (mean 3.56, 95% CI: 3.49-3.63). However, poor interrater reliability (intraclass correlation [ICC] range: 0.06-0.33) showed that the observed differences were not consistent, indicating functional equivalence between conventional and deep learning images.</p><p><strong>Conclusion: </strong>Deep learning MRI enabled substantial scan time reductions while maintaining image quality.</p>\",\"PeriodicalId\":519940,\"journal\":{\"name\":\"Radiology advances\",\"volume\":\"2 5\",\"pages\":\"umaf029\"},\"PeriodicalIF\":0.0000,\"publicationDate\":\"2025-08-23\",\"publicationTypes\":\"Journal Article\",\"fieldsOfStudy\":null,\"isOpenAccess\":false,\"openAccessPdf\":\"https://www.ncbi.nlm.nih.gov/pmc/articles/PMC12483150/pdf/\",\"citationCount\":\"0\",\"resultStr\":null,\"platform\":\"Semanticscholar\",\"paperid\":null,\"PeriodicalName\":\"Radiology advances\",\"FirstCategoryId\":\"1085\",\"ListUrlMain\":\"https://doi.org/10.1093/radadv/umaf029\",\"RegionNum\":0,\"RegionCategory\":null,\"ArticlePicture\":[],\"TitleCN\":null,\"AbstractTextCN\":null,\"PMCID\":null,\"EPubDate\":\"2025/9/1 0:00:00\",\"PubModel\":\"eCollection\",\"JCR\":\"\",\"JCRName\":\"\",\"Score\":null,\"Total\":0}","platform":"Semanticscholar","paperid":null,"PeriodicalName":"Radiology advances","FirstCategoryId":"1085","ListUrlMain":"https://doi.org/10.1093/radadv/umaf029","RegionNum":0,"RegionCategory":null,"ArticlePicture":[],"TitleCN":null,"AbstractTextCN":null,"PMCID":null,"EPubDate":"2025/9/1 0:00:00","PubModel":"eCollection","JCR":"","JCRName":"","Score":null,"Total":0}
引用次数: 0

摘要

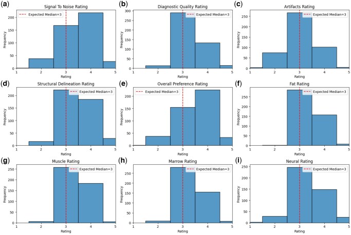
背景:磁共振成像(MRI)是神经成像的基石,但由于采集时间长,可能导致运动伪影,患者不适和延迟护理。深度学习重建是一项新兴技术,可以在保持图像质量的同时提供图像采集加速。目的:比较深度学习加速与常规MRI (C-MRI)在常规神经放射学检查中的图像质量和采集效率。材料和方法:在这项单中心回顾性研究中,26名患者在2023年10月24日至11月14日期间接受了市售的、fda批准的深度学习加速MRI重建算法(deep Resolve, Siemens Healthineers)和西门子3t MAGNETOM Vida扫描仪上的C-MRI成像。总共有113个序列对获得多个身体部位(大脑(n = 28),颈椎(n = 24)胸椎(n = 16)腰椎(n = 14),内部听觉运河(n = 5),鞍(n = 5),颈部(n = 5),下颌关节(n = 6)臂神经丛(n = 4)和轨道(n = 6))和序列(T2 (n = 38) T1 (n = 30),短τ反转恢复(n = 21), T1 post-contrast [n = 17], T2液体衰减反转恢复(n = 5)和质子密度[n = 2]),并由4名对图像质量采集方法不知情的神经放射学家使用5点李克特量表进行评估。从医学数字成像和通信(DICOM)元数据中提取采集参数并进行统计比较。评分者偏好和评分者间信度采用非参数检验和类内相关系数进行评估。结果:深度学习使平均扫描时间缩短51.6% (95% CI: 45.7%-57.7%;从110.8秒减少到53.7秒;P < 0.001)。使用李克特量表进行的图像质量评估显示,信噪比(平均3.51;95% CI: 3.44-3.58)、结构描绘(平均3.51,95% CI: 3.44-3.56)和整体图像质量(平均3.56,95% CI: 3.49-3.63)的得分略高于中性。然而,较差的图像间信度(类内相关[ICC]范围:0.06-0.33)表明所观察到的差异并不一致,这表明传统图像和深度学习图像在功能上是等价的。结论:深度学习MRI能够在保持图像质量的同时大幅减少扫描时间。
本文章由计算机程序翻译,如有差异,请以英文原文为准。

Deep learning MRI halves scan time and preserves image quality across routine neuroradiologic examinations.

Deep learning MRI halves scan time and preserves image quality across routine neuroradiologic examinations.

Deep learning MRI halves scan time and preserves image quality across routine neuroradiologic examinations.

Deep learning MRI halves scan time and preserves image quality across routine neuroradiologic examinations.

Background: Magnetic resonance imaging (MRI) is a cornerstone of neuroimaging but is limited by lengthy acquisition times, which can lead to motion artifacts, patient discomfort, and delayed care. Deep learning reconstruction is an emerging technology that can offer image acquisition acceleration while maintaining image quality.

Purpose: To compare image quality and acquisition efficiency between deep learning-accelerated vs conventional MRI (C-MRI) across a spectrum of routine neuroradiologic examinations.

Materials and methods: In this single-center retrospective study, 26 patients underwent imaging with a commercially available, FDA-cleared deep learning-accelerated MRI reconstruction algorithm (Deep Resolve, Siemens Healthineers), and C-MRI on a Siemens 3 T MAGNETOM Vida scanner between October 24 and November 14, 2023. A total of 113 sequence pairs were acquired across multiple body parts (brain [n = 28], cervical spine [n = 24], thoracic spine [n = 16], lumbar spine [n = 14], internal auditory canals [n = 5], sella [n = 5], neck [n = 5], temporomandibular joints [n = 6], brachial plexus [n = 4], and orbits [n = 6]) and sequences (T2 [n = 38], T1 [n = 30], short tau inversion recovery [n = 21], T1 post-contrast [n = 17], T2 fluid attenuated inversion recovery [n = 5], and proton density [n = 2]) and evaluated by 4 neuroradiologists blinded to the acquisition method for image quality using a 5-point Likert scale. Acquisition parameters were extracted from Digital Imaging and Communications in Medicine (DICOM) metadata and statistically compared. Rater preferences and interrater reliability were assessed using nonparametric tests and intraclass correlation coefficients.

Results: Deep learning reduced mean scan time by 51.6% (95% CI: 45.7%-57.7%; from 110.8 seconds to 53.7 seconds; P < .001). Image quality assessments using a Likert scale showed scores slightly above neutral for signal-to-noise ratio (mean 3.51; 95% CI: 3.44-3.58), structural delineation (mean 3.51, 95% CI: 3.44-3.56), and overall image quality (mean 3.56, 95% CI: 3.49-3.63). However, poor interrater reliability (intraclass correlation [ICC] range: 0.06-0.33) showed that the observed differences were not consistent, indicating functional equivalence between conventional and deep learning images.

Conclusion: Deep learning MRI enabled substantial scan time reductions while maintaining image quality.

求助全文
通过发布文献求助,成功后即可免费获取论文全文。 去求助
来源期刊
自引率
0.00%
发文量
0
×
引用
GB/T 7714-2015
复制
MLA
复制
APA
复制
导出至
BibTeX EndNote RefMan NoteFirst NoteExpress
×
提示
您的信息不完整,为了账户安全,请先补充。
现在去补充
×
提示
您因"违规操作"
具体请查看互助需知
我知道了
×
提示
确定
请完成安全验证×
copy
已复制链接
快去分享给好友吧!
我知道了
右上角分享
点击右上角分享
0
联系我们:info@booksci.cn Book学术提供免费学术资源搜索服务,方便国内外学者检索中英文文献。致力于提供最便捷和优质的服务体验。 Copyright © 2023 布克学术 All rights reserved.
京ICP备2023020795号-1
ghs 京公网安备 11010802042870号
Book学术文献互助
Book学术文献互助群
群 号:604180095
Book学术官方微信