代谢综合征与宫颈癌发病率的关系:一项回顾性队列研究。

IF 3.9 Q2 ENDOCRINOLOGY & METABOLISM
Journal of Obesity Pub Date : 2025-09-29 eCollection Date: 2025-01-01 DOI:10.1155/jobe/3691654
Linjun Jiang, Akira Okada, Risa Ishida, Hideo Yasunaga
{"title":"代谢综合征与宫颈癌发病率的关系:一项回顾性队列研究。","authors":"Linjun Jiang, Akira Okada, Risa Ishida, Hideo Yasunaga","doi":"10.1155/jobe/3691654","DOIUrl":null,"url":null,"abstract":"<p><strong>Objective: </strong>To determine whether metabolic syndrome is associated with an elevated risk of cervical cancer.</p><p><strong>Methods: </strong>We retrospectively analyzed data on 1,410,650 women without a history of cancer, using the JMDC Claims Database, a nationwide epidemiological database in Japan, between 2005 and 2022. The look-back period was set at 2 years. Cox regression analyses were conducted to assess cervical cancer risk associated with metabolic syndrome and its components (waist circumference, blood pressure, triglycerides, high-density lipoprotein cholesterol, and fasting plasma glucose). Further, we conducted age-stratified analyses.</p><p><strong>Results: </strong>Metabolic syndrome was diagnosed in 43,029 participants (median age: 53 years), and 1579 cervical cancer cases were recorded over a median follow-up of 942 days. Multivariable Cox regression analyses showed that metabolic syndrome was associated with a higher cervical cancer incidence (hazard ratio [HR], 1.38; 95% confidence interval [CI], 1.04-1.82). Among the metabolic factors, cancer risk was associated with higher plasma glucose (per 10 mg/dL increase) (HR, 1.04; 95% CI, 1.01-1.08) and lower high-density lipoprotein cholesterol levels (per 10 mg/dL decrease) (HR, 1.06; 95% CI, 1.02-1.10), whereas waist circumference, blood pressure, or triglyceride levels showed no significant relationship. Metabolic syndrome was associated with an increased risk of cervical cancer, with a stronger association observed in younger women in age-stratified analyses (<i>p</i> for interaction = 0.004).</p><p><strong>Conclusion: </strong>Metabolic syndrome was associated with an increased risk of cervical cancer, with a stronger association observed among younger women. Elevated plasma glucose and low high-density lipoprotein cholesterol levels were identified as significant contributing factors.</p>","PeriodicalId":16628,"journal":{"name":"Journal of Obesity","volume":"2025 ","pages":"3691654"},"PeriodicalIF":3.9000,"publicationDate":"2025-09-29","publicationTypes":"Journal Article","fieldsOfStudy":null,"isOpenAccess":false,"openAccessPdf":"https://www.ncbi.nlm.nih.gov/pmc/articles/PMC12500346/pdf/","citationCount":"0","resultStr":"{\"title\":\"Association Between Metabolic Syndrome and Incident Cervical Cancer: A Retrospective Cohort Study.\",\"authors\":\"Linjun Jiang, Akira Okada, Risa Ishida, Hideo Yasunaga\",\"doi\":\"10.1155/jobe/3691654\",\"DOIUrl\":null,\"url\":null,\"abstract\":\"<p><strong>Objective: </strong>To determine whether metabolic syndrome is associated with an elevated risk of cervical cancer.</p><p><strong>Methods: </strong>We retrospectively analyzed data on 1,410,650 women without a history of cancer, using the JMDC Claims Database, a nationwide epidemiological database in Japan, between 2005 and 2022. The look-back period was set at 2 years. Cox regression analyses were conducted to assess cervical cancer risk associated with metabolic syndrome and its components (waist circumference, blood pressure, triglycerides, high-density lipoprotein cholesterol, and fasting plasma glucose). Further, we conducted age-stratified analyses.</p><p><strong>Results: </strong>Metabolic syndrome was diagnosed in 43,029 participants (median age: 53 years), and 1579 cervical cancer cases were recorded over a median follow-up of 942 days. Multivariable Cox regression analyses showed that metabolic syndrome was associated with a higher cervical cancer incidence (hazard ratio [HR], 1.38; 95% confidence interval [CI], 1.04-1.82). Among the metabolic factors, cancer risk was associated with higher plasma glucose (per 10 mg/dL increase) (HR, 1.04; 95% CI, 1.01-1.08) and lower high-density lipoprotein cholesterol levels (per 10 mg/dL decrease) (HR, 1.06; 95% CI, 1.02-1.10), whereas waist circumference, blood pressure, or triglyceride levels showed no significant relationship. Metabolic syndrome was associated with an increased risk of cervical cancer, with a stronger association observed in younger women in age-stratified analyses (<i>p</i> for interaction = 0.004).</p><p><strong>Conclusion: </strong>Metabolic syndrome was associated with an increased risk of cervical cancer, with a stronger association observed among younger women. Elevated plasma glucose and low high-density lipoprotein cholesterol levels were identified as significant contributing factors.</p>\",\"PeriodicalId\":16628,\"journal\":{\"name\":\"Journal of Obesity\",\"volume\":\"2025 \",\"pages\":\"3691654\"},\"PeriodicalIF\":3.9000,\"publicationDate\":\"2025-09-29\",\"publicationTypes\":\"Journal Article\",\"fieldsOfStudy\":null,\"isOpenAccess\":false,\"openAccessPdf\":\"https://www.ncbi.nlm.nih.gov/pmc/articles/PMC12500346/pdf/\",\"citationCount\":\"0\",\"resultStr\":null,\"platform\":\"Semanticscholar\",\"paperid\":null,\"PeriodicalName\":\"Journal of Obesity\",\"FirstCategoryId\":\"1085\",\"ListUrlMain\":\"https://doi.org/10.1155/jobe/3691654\",\"RegionNum\":0,\"RegionCategory\":null,\"ArticlePicture\":[],\"TitleCN\":null,\"AbstractTextCN\":null,\"PMCID\":null,\"EPubDate\":\"2025/1/1 0:00:00\",\"PubModel\":\"eCollection\",\"JCR\":\"Q2\",\"JCRName\":\"ENDOCRINOLOGY & METABOLISM\",\"Score\":null,\"Total\":0}","platform":"Semanticscholar","paperid":null,"PeriodicalName":"Journal of Obesity","FirstCategoryId":"1085","ListUrlMain":"https://doi.org/10.1155/jobe/3691654","RegionNum":0,"RegionCategory":null,"ArticlePicture":[],"TitleCN":null,"AbstractTextCN":null,"PMCID":null,"EPubDate":"2025/1/1 0:00:00","PubModel":"eCollection","JCR":"Q2","JCRName":"ENDOCRINOLOGY & METABOLISM","Score":null,"Total":0}
引用次数: 0

摘要

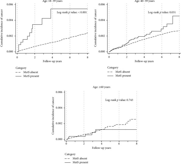
目的:确定代谢综合征是否与宫颈癌风险升高有关。方法:我们使用日本全国流行病学数据库JMDC索赔数据库,回顾性分析了2005年至2022年间1410650名无癌症史的女性的数据。回顾期设定为2年。采用Cox回归分析评估与代谢综合征及其组成部分(腰围、血压、甘油三酯、高密度脂蛋白胆固醇和空腹血糖)相关的宫颈癌风险。此外,我们进行了年龄分层分析。结果:43029名参与者(中位年龄:53岁)被诊断出代谢综合征,在中位随访942天期间记录了1579例宫颈癌病例。多变量Cox回归分析显示,代谢综合征与较高的宫颈癌发病率相关(风险比[HR], 1.38; 95%可信区间[CI], 1.04-1.82)。在代谢因素中,癌症风险与较高的血糖(每增加10毫克/分升)(HR, 1.04; 95% CI, 1.01-1.08)和较低的高密度脂蛋白胆固醇水平(每减少10毫克/分升)(HR, 1.06; 95% CI, 1.02-1.10)相关,而腰围、血压或甘油三酯水平没有显著关系。代谢综合征与宫颈癌风险增加相关,在年龄分层分析中,在年轻女性中观察到更强的相关性(相互作用p = 0.004)。结论:代谢综合征与宫颈癌风险增加有关,在年轻女性中观察到更强的相关性。血糖升高和低高密度脂蛋白胆固醇水平被认为是重要的影响因素。
本文章由计算机程序翻译,如有差异,请以英文原文为准。

Association Between Metabolic Syndrome and Incident Cervical Cancer: A Retrospective Cohort Study.

Association Between Metabolic Syndrome and Incident Cervical Cancer: A Retrospective Cohort Study.

Association Between Metabolic Syndrome and Incident Cervical Cancer: A Retrospective Cohort Study.

Association Between Metabolic Syndrome and Incident Cervical Cancer: A Retrospective Cohort Study.

Objective: To determine whether metabolic syndrome is associated with an elevated risk of cervical cancer.

Methods: We retrospectively analyzed data on 1,410,650 women without a history of cancer, using the JMDC Claims Database, a nationwide epidemiological database in Japan, between 2005 and 2022. The look-back period was set at 2 years. Cox regression analyses were conducted to assess cervical cancer risk associated with metabolic syndrome and its components (waist circumference, blood pressure, triglycerides, high-density lipoprotein cholesterol, and fasting plasma glucose). Further, we conducted age-stratified analyses.

Results: Metabolic syndrome was diagnosed in 43,029 participants (median age: 53 years), and 1579 cervical cancer cases were recorded over a median follow-up of 942 days. Multivariable Cox regression analyses showed that metabolic syndrome was associated with a higher cervical cancer incidence (hazard ratio [HR], 1.38; 95% confidence interval [CI], 1.04-1.82). Among the metabolic factors, cancer risk was associated with higher plasma glucose (per 10 mg/dL increase) (HR, 1.04; 95% CI, 1.01-1.08) and lower high-density lipoprotein cholesterol levels (per 10 mg/dL decrease) (HR, 1.06; 95% CI, 1.02-1.10), whereas waist circumference, blood pressure, or triglyceride levels showed no significant relationship. Metabolic syndrome was associated with an increased risk of cervical cancer, with a stronger association observed in younger women in age-stratified analyses (p for interaction = 0.004).

Conclusion: Metabolic syndrome was associated with an increased risk of cervical cancer, with a stronger association observed among younger women. Elevated plasma glucose and low high-density lipoprotein cholesterol levels were identified as significant contributing factors.

求助全文
通过发布文献求助,成功后即可免费获取论文全文。 去求助
来源期刊
Journal of Obesity
Journal of Obesity ENDOCRINOLOGY & METABOLISM-
CiteScore
7.50
自引率
3.00%
发文量
19
审稿时长
21 weeks
期刊介绍: Journal of Obesity is a peer-reviewed, Open Access journal that provides a multidisciplinary forum for basic and clinical research as well as applied studies in the areas of adipocyte biology & physiology, lipid metabolism, metabolic syndrome, diabetes, paediatric obesity, genetics, behavioural epidemiology, nutrition & eating disorders, exercise & human physiology, weight control and health risks associated with obesity.
×
引用
GB/T 7714-2015
复制
MLA
复制
APA
复制
导出至
BibTeX EndNote RefMan NoteFirst NoteExpress
×
提示
您的信息不完整,为了账户安全,请先补充。
现在去补充
×
提示
您因"违规操作"
具体请查看互助需知
我知道了
×
提示
确定
请完成安全验证×
copy
已复制链接
快去分享给好友吧!
我知道了
右上角分享
点击右上角分享
0
联系我们:info@booksci.cn Book学术提供免费学术资源搜索服务,方便国内外学者检索中英文文献。致力于提供最便捷和优质的服务体验。 Copyright © 2023 布克学术 All rights reserved.
京ICP备2023020795号-1
ghs 京公网安备 11010802042870号
Book学术文献互助
Book学术文献互助群
群 号:604180095
Book学术官方微信