upadacitinib在英国真实世界克罗恩病患者队列中的有效性和安全性:一项多中心回顾性队列研究

IF 2.9 Q2 GASTROENTEROLOGY & HEPATOLOGY
Yaa Danso, Chandni Radia, Alex Elford, Jie Han Yeo, Thomas Morris, Chirag Patel, Kimberley Butler, Sonia Kalyanji, Katie Yeung, Chaonan Dong, Karishma Sethi-Arora, Alice Hewitt, Lushen Pillay, Susan Ritchie, Mohammed Allah-Ditta, Lucy Hicks, Phil Harvey, Fiona Rees, Emma Johnston, Ruth Rudling, Charlie Lees, Jennifer Toft, Sara Mccartney, Xinyi Choon, Richard C G Pollok, Dania Al-Zarrad, Melissa Hale, Christopher Andrew Lamb, R Alexander Speight, Jimmy Limdi, Hannah Trodden-Mittnacht, Konstantina Rosiou, Tim Raine, Anjan Dhar, Puneet Chhabra, Nick N Burr, Paul Harrow, Kamal V Patel, Mark Samaan, Polychronis Pavlidis, Alexandra Kent, Klaartje Bel Kok, Christian Selinger
{"title":"upadacitinib在英国真实世界克罗恩病患者队列中的有效性和安全性:一项多中心回顾性队列研究","authors":"Yaa Danso, Chandni Radia, Alex Elford, Jie Han Yeo, Thomas Morris, Chirag Patel, Kimberley Butler, Sonia Kalyanji, Katie Yeung, Chaonan Dong, Karishma Sethi-Arora, Alice Hewitt, Lushen Pillay, Susan Ritchie, Mohammed Allah-Ditta, Lucy Hicks, Phil Harvey, Fiona Rees, Emma Johnston, Ruth Rudling, Charlie Lees, Jennifer Toft, Sara Mccartney, Xinyi Choon, Richard C G Pollok, Dania Al-Zarrad, Melissa Hale, Christopher Andrew Lamb, R Alexander Speight, Jimmy Limdi, Hannah Trodden-Mittnacht, Konstantina Rosiou, Tim Raine, Anjan Dhar, Puneet Chhabra, Nick N Burr, Paul Harrow, Kamal V Patel, Mark Samaan, Polychronis Pavlidis, Alexandra Kent, Klaartje Bel Kok, Christian Selinger","doi":"10.1136/bmjgast-2025-001916","DOIUrl":null,"url":null,"abstract":"<p><strong>Objective: </strong>Upadacitinib is the first Janus kinase inhibitor and oral advanced therapy licensed for Crohn's disease (CD). Following NICE approval in 2023, real-world data on outcomes are limited. The effectiveness and safety of upadacitinib in a cohort of patients with CD was assessed.</p><p><strong>Methods: </strong>A multicentre retrospective cohort analysis across 19 UK hospitals. Adult patients with active CD who started upadacitinib between April 2023 and October 2023 were included. Outcomes were reviewed over 24 weeks. The primary endpoint was clinical remission (Harvey Bradshaw Index (HBI) <4) at 12 and 24 weeks. Biochemical remission (faecal calprotectin <200 μg/g and C-reactive protein ≤5) and endoscopic remission (Simple Endoscopic Score for Crohn's Disease ≤3) were assessed at the same intervals. Adverse events (AEs) were recorded until 24 weeks or drug withdrawal.</p><p><strong>Results: </strong>312 patients were included, with a minimum follow-up of 12 weeks. The cohort had difficult-to-treat disease; 64% failing 3 or more biologics, 51% exhibiting penetrating or stricturing disease and 41% requiring prior resection. 50% (113/227) of patients achieved clinical remission at 12 weeks and 45% (77/172) at 24 weeks. Patients with colonic disease had higher remission rates at 24 weeks compared with other disease locations. At 24 weeks, 51 patients (16%) had discontinued upadacitinib. Treatment persistence was 90.3% at 12 weeks and 84.1% at 24 weeks. 28% had AEs, with 18% experiencing serious AEs and 16.6% requiring hospitalisation.</p><p><strong>Conclusion: </strong>This is a large real-world study reporting outcomes in patients with CD treated with upadacitinib. Our data demonstrated good short-term effectiveness and tolerance in a clinically refractory population.</p>","PeriodicalId":9235,"journal":{"name":"BMJ Open Gastroenterology","volume":"12 1","pages":""},"PeriodicalIF":2.9000,"publicationDate":"2025-10-06","publicationTypes":"Journal Article","fieldsOfStudy":null,"isOpenAccess":false,"openAccessPdf":"https://www.ncbi.nlm.nih.gov/pmc/articles/PMC12506220/pdf/","citationCount":"0","resultStr":"{\"title\":\"Effectiveness and safety of upadacitinib in a real-world cohort of patients with Crohn's disease in the UK: a multicentre retrospective cohort study.\",\"authors\":\"Yaa Danso, Chandni Radia, Alex Elford, Jie Han Yeo, Thomas Morris, Chirag Patel, Kimberley Butler, Sonia Kalyanji, Katie Yeung, Chaonan Dong, Karishma Sethi-Arora, Alice Hewitt, Lushen Pillay, Susan Ritchie, Mohammed Allah-Ditta, Lucy Hicks, Phil Harvey, Fiona Rees, Emma Johnston, Ruth Rudling, Charlie Lees, Jennifer Toft, Sara Mccartney, Xinyi Choon, Richard C G Pollok, Dania Al-Zarrad, Melissa Hale, Christopher Andrew Lamb, R Alexander Speight, Jimmy Limdi, Hannah Trodden-Mittnacht, Konstantina Rosiou, Tim Raine, Anjan Dhar, Puneet Chhabra, Nick N Burr, Paul Harrow, Kamal V Patel, Mark Samaan, Polychronis Pavlidis, Alexandra Kent, Klaartje Bel Kok, Christian Selinger\",\"doi\":\"10.1136/bmjgast-2025-001916\",\"DOIUrl\":null,\"url\":null,\"abstract\":\"<p><strong>Objective: </strong>Upadacitinib is the first Janus kinase inhibitor and oral advanced therapy licensed for Crohn's disease (CD). Following NICE approval in 2023, real-world data on outcomes are limited. The effectiveness and safety of upadacitinib in a cohort of patients with CD was assessed.</p><p><strong>Methods: </strong>A multicentre retrospective cohort analysis across 19 UK hospitals. Adult patients with active CD who started upadacitinib between April 2023 and October 2023 were included. Outcomes were reviewed over 24 weeks. The primary endpoint was clinical remission (Harvey Bradshaw Index (HBI) <4) at 12 and 24 weeks. Biochemical remission (faecal calprotectin <200 μg/g and C-reactive protein ≤5) and endoscopic remission (Simple Endoscopic Score for Crohn's Disease ≤3) were assessed at the same intervals. Adverse events (AEs) were recorded until 24 weeks or drug withdrawal.</p><p><strong>Results: </strong>312 patients were included, with a minimum follow-up of 12 weeks. The cohort had difficult-to-treat disease; 64% failing 3 or more biologics, 51% exhibiting penetrating or stricturing disease and 41% requiring prior resection. 50% (113/227) of patients achieved clinical remission at 12 weeks and 45% (77/172) at 24 weeks. Patients with colonic disease had higher remission rates at 24 weeks compared with other disease locations. At 24 weeks, 51 patients (16%) had discontinued upadacitinib. Treatment persistence was 90.3% at 12 weeks and 84.1% at 24 weeks. 28% had AEs, with 18% experiencing serious AEs and 16.6% requiring hospitalisation.</p><p><strong>Conclusion: </strong>This is a large real-world study reporting outcomes in patients with CD treated with upadacitinib. Our data demonstrated good short-term effectiveness and tolerance in a clinically refractory population.</p>\",\"PeriodicalId\":9235,\"journal\":{\"name\":\"BMJ Open Gastroenterology\",\"volume\":\"12 1\",\"pages\":\"\"},\"PeriodicalIF\":2.9000,\"publicationDate\":\"2025-10-06\",\"publicationTypes\":\"Journal Article\",\"fieldsOfStudy\":null,\"isOpenAccess\":false,\"openAccessPdf\":\"https://www.ncbi.nlm.nih.gov/pmc/articles/PMC12506220/pdf/\",\"citationCount\":\"0\",\"resultStr\":null,\"platform\":\"Semanticscholar\",\"paperid\":null,\"PeriodicalName\":\"BMJ Open Gastroenterology\",\"FirstCategoryId\":\"1085\",\"ListUrlMain\":\"https://doi.org/10.1136/bmjgast-2025-001916\",\"RegionNum\":0,\"RegionCategory\":null,\"ArticlePicture\":[],\"TitleCN\":null,\"AbstractTextCN\":null,\"PMCID\":null,\"EPubDate\":\"\",\"PubModel\":\"\",\"JCR\":\"Q2\",\"JCRName\":\"GASTROENTEROLOGY & HEPATOLOGY\",\"Score\":null,\"Total\":0}","platform":"Semanticscholar","paperid":null,"PeriodicalName":"BMJ Open Gastroenterology","FirstCategoryId":"1085","ListUrlMain":"https://doi.org/10.1136/bmjgast-2025-001916","RegionNum":0,"RegionCategory":null,"ArticlePicture":[],"TitleCN":null,"AbstractTextCN":null,"PMCID":null,"EPubDate":"","PubModel":"","JCR":"Q2","JCRName":"GASTROENTEROLOGY & HEPATOLOGY","Score":null,"Total":0}
引用次数: 0

摘要

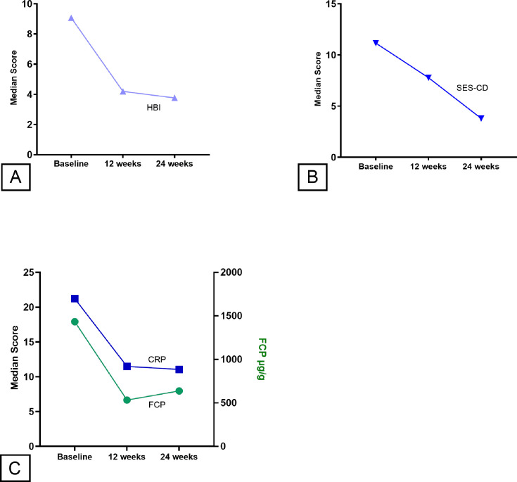
目的:Upadacitinib是首个获批用于克罗恩病(CD)的Janus激酶抑制剂和口服高级疗法。在NICE于2023年获得批准后,实际结果数据有限。评估了upadacitinib在一组CD患者中的有效性和安全性。方法:对英国19家医院进行多中心回顾性队列分析。纳入了在2023年4月至2023年10月期间开始使用upadacitinib的成年活动性CD患者。结果在24周内进行评估。主要终点是临床缓解(哈维布拉德肖指数(Harvey Bradshaw Index, HBI))。结果:312例患者被纳入研究,随访时间至少为12周。该队列患有难治性疾病;64%的患者3种或以上的生物制剂无效,51%的患者表现为穿透性或狭窄性疾病,41%的患者需要事先切除。50%(113/227)的患者在12周达到临床缓解,45%(77/172)的患者在24周达到临床缓解。与其他疾病部位相比,结肠疾病患者在24周时的缓解率更高。在24周时,51名患者(16%)停用了upadacitinib。治疗持续时间为12周时的90.3%和24周时的84.1%。28%发生不良反应,18%发生严重不良反应,16.6%需要住院治疗。结论:这是一项大型现实世界研究,报告了upadacitinib治疗CD患者的结果。我们的数据显示在临床难治性人群中有良好的短期疗效和耐受性。
本文章由计算机程序翻译,如有差异,请以英文原文为准。

Effectiveness and safety of upadacitinib in a real-world cohort of patients with Crohn's disease in the UK: a multicentre retrospective cohort study.

Effectiveness and safety of upadacitinib in a real-world cohort of patients with Crohn's disease in the UK: a multicentre retrospective cohort study.

Effectiveness and safety of upadacitinib in a real-world cohort of patients with Crohn's disease in the UK: a multicentre retrospective cohort study.

Effectiveness and safety of upadacitinib in a real-world cohort of patients with Crohn's disease in the UK: a multicentre retrospective cohort study.

Objective: Upadacitinib is the first Janus kinase inhibitor and oral advanced therapy licensed for Crohn's disease (CD). Following NICE approval in 2023, real-world data on outcomes are limited. The effectiveness and safety of upadacitinib in a cohort of patients with CD was assessed.

Methods: A multicentre retrospective cohort analysis across 19 UK hospitals. Adult patients with active CD who started upadacitinib between April 2023 and October 2023 were included. Outcomes were reviewed over 24 weeks. The primary endpoint was clinical remission (Harvey Bradshaw Index (HBI) <4) at 12 and 24 weeks. Biochemical remission (faecal calprotectin <200 μg/g and C-reactive protein ≤5) and endoscopic remission (Simple Endoscopic Score for Crohn's Disease ≤3) were assessed at the same intervals. Adverse events (AEs) were recorded until 24 weeks or drug withdrawal.

Results: 312 patients were included, with a minimum follow-up of 12 weeks. The cohort had difficult-to-treat disease; 64% failing 3 or more biologics, 51% exhibiting penetrating or stricturing disease and 41% requiring prior resection. 50% (113/227) of patients achieved clinical remission at 12 weeks and 45% (77/172) at 24 weeks. Patients with colonic disease had higher remission rates at 24 weeks compared with other disease locations. At 24 weeks, 51 patients (16%) had discontinued upadacitinib. Treatment persistence was 90.3% at 12 weeks and 84.1% at 24 weeks. 28% had AEs, with 18% experiencing serious AEs and 16.6% requiring hospitalisation.

Conclusion: This is a large real-world study reporting outcomes in patients with CD treated with upadacitinib. Our data demonstrated good short-term effectiveness and tolerance in a clinically refractory population.

求助全文
通过发布文献求助,成功后即可免费获取论文全文。 去求助
来源期刊
BMJ Open Gastroenterology
BMJ Open Gastroenterology GASTROENTEROLOGY & HEPATOLOGY-
CiteScore
5.90
自引率
3.20%
发文量
68
审稿时长
2 weeks
期刊介绍: BMJ Open Gastroenterology is an online-only, peer-reviewed, open access gastroenterology journal, dedicated to publishing high-quality medical research from all disciplines and therapeutic areas of gastroenterology. It is the open access companion journal of Gut and is co-owned by the British Society of Gastroenterology. The journal publishes all research study types, from study protocols to phase I trials to meta-analyses, including small or specialist studies. Publishing procedures are built around continuous publication, publishing research online as soon as the article is ready.
×
引用
GB/T 7714-2015
复制
MLA
复制
APA
复制
导出至
BibTeX EndNote RefMan NoteFirst NoteExpress
×
提示
您的信息不完整,为了账户安全,请先补充。
现在去补充
×
提示
您因"违规操作"
具体请查看互助需知
我知道了
×
提示
确定
请完成安全验证×
copy
已复制链接
快去分享给好友吧!
我知道了
右上角分享
点击右上角分享
0
联系我们:info@booksci.cn Book学术提供免费学术资源搜索服务,方便国内外学者检索中英文文献。致力于提供最便捷和优质的服务体验。 Copyright © 2023 布克学术 All rights reserved.
京ICP备2023020795号-1
ghs 京公网安备 11010802042870号
Book学术文献互助
Book学术文献互助群
群 号:604180095
Book学术官方微信