半导体材料新型无能量耗散光热模型的研究

IF 0.9 4区 工程技术 Q4 MECHANICS
Ibrahim Abbas, Areej Almuneef, Iaa. A. El-Bary, Zuhur Alqahtani
{"title":"半导体材料新型无能量耗散光热模型的研究","authors":"Ibrahim Abbas,&nbsp;Areej Almuneef,&nbsp;Iaa. A. El-Bary,&nbsp;Zuhur Alqahtani","doi":"10.1134/S0025654425600941","DOIUrl":null,"url":null,"abstract":"<p>This study investigates the photothermoelastic analysis of a semiconductor medium under fully coupled of Green–Naghdi’s (GNII) theory without energy dissipation. Closed-form exact solutions are derived for the physical quantities due to an exponentially decaying heat pulse at the surface. The analysis employs Laplace transform with the eigenvalue technique to obtain explicit solutions for all variables. Numerical results are provided to evaluate the proposed methodology in a simplified semiconductor geometry. The findings are discussed in detail, offering insights into the thermoelastic behavior of the medium under thermal excitation.</p>","PeriodicalId":697,"journal":{"name":"Mechanics of Solids","volume":"60 4","pages":"2617 - 2630"},"PeriodicalIF":0.9000,"publicationDate":"2025-08-03","publicationTypes":"Journal Article","fieldsOfStudy":null,"isOpenAccess":false,"openAccessPdf":"","citationCount":"0","resultStr":"{\"title\":\"A Study on a Novel Photothermal without Energy Dissipation Model in Semiconductor Materials\",\"authors\":\"Ibrahim Abbas,&nbsp;Areej Almuneef,&nbsp;Iaa. A. El-Bary,&nbsp;Zuhur Alqahtani\",\"doi\":\"10.1134/S0025654425600941\",\"DOIUrl\":null,\"url\":null,\"abstract\":\"<p>This study investigates the photothermoelastic analysis of a semiconductor medium under fully coupled of Green–Naghdi’s (GNII) theory without energy dissipation. Closed-form exact solutions are derived for the physical quantities due to an exponentially decaying heat pulse at the surface. The analysis employs Laplace transform with the eigenvalue technique to obtain explicit solutions for all variables. Numerical results are provided to evaluate the proposed methodology in a simplified semiconductor geometry. The findings are discussed in detail, offering insights into the thermoelastic behavior of the medium under thermal excitation.</p>\",\"PeriodicalId\":697,\"journal\":{\"name\":\"Mechanics of Solids\",\"volume\":\"60 4\",\"pages\":\"2617 - 2630\"},\"PeriodicalIF\":0.9000,\"publicationDate\":\"2025-08-03\",\"publicationTypes\":\"Journal Article\",\"fieldsOfStudy\":null,\"isOpenAccess\":false,\"openAccessPdf\":\"\",\"citationCount\":\"0\",\"resultStr\":null,\"platform\":\"Semanticscholar\",\"paperid\":null,\"PeriodicalName\":\"Mechanics of Solids\",\"FirstCategoryId\":\"5\",\"ListUrlMain\":\"https://link.springer.com/article/10.1134/S0025654425600941\",\"RegionNum\":4,\"RegionCategory\":\"工程技术\",\"ArticlePicture\":[],\"TitleCN\":null,\"AbstractTextCN\":null,\"PMCID\":null,\"EPubDate\":\"\",\"PubModel\":\"\",\"JCR\":\"Q4\",\"JCRName\":\"MECHANICS\",\"Score\":null,\"Total\":0}","platform":"Semanticscholar","paperid":null,"PeriodicalName":"Mechanics of Solids","FirstCategoryId":"5","ListUrlMain":"https://link.springer.com/article/10.1134/S0025654425600941","RegionNum":4,"RegionCategory":"工程技术","ArticlePicture":[],"TitleCN":null,"AbstractTextCN":null,"PMCID":null,"EPubDate":"","PubModel":"","JCR":"Q4","JCRName":"MECHANICS","Score":null,"Total":0}
引用次数: 0

摘要

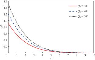
本文研究了完全耦合无能量耗散的格林-纳格迪理论下半导体介质的光热弹性分析。导出了由于热脉冲在表面呈指数衰减而引起的物理量的封闭精确解。分析采用拉普拉斯变换和特征值技术得到所有变量的显式解。在简化的半导体几何结构中,给出了数值结果来评估所提出的方法。研究结果进行了详细的讨论,为热激发下介质的热弹性行为提供了见解。
本文章由计算机程序翻译,如有差异,请以英文原文为准。

A Study on a Novel Photothermal without Energy Dissipation Model in Semiconductor Materials

A Study on a Novel Photothermal without Energy Dissipation Model in Semiconductor Materials

This study investigates the photothermoelastic analysis of a semiconductor medium under fully coupled of Green–Naghdi’s (GNII) theory without energy dissipation. Closed-form exact solutions are derived for the physical quantities due to an exponentially decaying heat pulse at the surface. The analysis employs Laplace transform with the eigenvalue technique to obtain explicit solutions for all variables. Numerical results are provided to evaluate the proposed methodology in a simplified semiconductor geometry. The findings are discussed in detail, offering insights into the thermoelastic behavior of the medium under thermal excitation.

求助全文
通过发布文献求助,成功后即可免费获取论文全文。 去求助
来源期刊
Mechanics of Solids
Mechanics of Solids 医学-力学
CiteScore
1.20
自引率
42.90%
发文量
112
审稿时长
6-12 weeks
期刊介绍: Mechanics of Solids publishes articles in the general areas of dynamics of particles and rigid bodies and the mechanics of deformable solids. The journal has a goal of being a comprehensive record of up-to-the-minute research results. The journal coverage is vibration of discrete and continuous systems; stability and optimization of mechanical systems; automatic control theory; dynamics of multiple body systems; elasticity, viscoelasticity and plasticity; mechanics of composite materials; theory of structures and structural stability; wave propagation and impact of solids; fracture mechanics; micromechanics of solids; mechanics of granular and geological materials; structure-fluid interaction; mechanical behavior of materials; gyroscopes and navigation systems; and nanomechanics. Most of the articles in the journal are theoretical and analytical. They present a blend of basic mechanics theory with analysis of contemporary technological problems.
×
引用
GB/T 7714-2015
复制
MLA
复制
APA
复制
导出至
BibTeX EndNote RefMan NoteFirst NoteExpress
×
提示
您的信息不完整,为了账户安全,请先补充。
现在去补充
×
提示
您因"违规操作"
具体请查看互助需知
我知道了
×
提示
确定
请完成安全验证×
copy
已复制链接
快去分享给好友吧!
我知道了
右上角分享
点击右上角分享
0
联系我们:info@booksci.cn Book学术提供免费学术资源搜索服务,方便国内外学者检索中英文文献。致力于提供最便捷和优质的服务体验。 Copyright © 2023 布克学术 All rights reserved.
京ICP备2023020795号-1
ghs 京公网安备 11010802042870号
Book学术文献互助
Book学术文献互助群
群 号:604180095
Book学术官方微信